Comparative Pull-Out Performances of Cephalomedullary Nail with Screw and Helical Blade According to Femur Bone Densities
Abstract
1. Introduction
2. Experimental Procedure
3. Pull-Out Performance of Cephalomedullary Nail
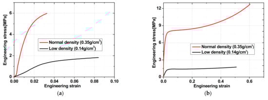
3.1. Experimental Results
3.2. Finite Element Analysis with Damage Model
3.3. Discussion
4. Conclusions
- (1)
- The clamping force of the screw is about 177% higher than the helical blade in the normal foam density (0.35 g/cm3) and 198% in the low foam density (0.14 g/cm3).
- (2)
- Based on the previous experimental data [35], for a 100 kg person with normal bone density, both types of fixation such as screw and helical blade are available considering walking activity, since the pull-out force, Fpull-out, is greater than the projected force, Fproj. However, the helical blade type is evaluated as more favorable, since the screw-type tends to require predrilling for lateral cortex opening, inducing inevitable loss of cancellous bone.
- (3)
- For a 100 kg person with low bone density, the screw type is recommended to guarantee high clamping force against migration or loosening during walking activity.
Author Contributions
Funding
Institutional Review Board Statement
Informed Consent Statement
Data Availability Statement
Conflicts of Interest
References
- Banan, H.; Al-Sabti, A.; Jimulia, T.; Hart, A.J. The treatment of unstable, extracapsular hip fractures with the AO/ASIF proximal femoral nail (PFN)—Our first 60 cases. Injury 2002, 33, 401–405. [Google Scholar] [CrossRef]
- Hu, S.J.; Yu, G.R.; Zhang, S.M. Surgical treatment of basicervical intertrochanteric fractures of the proximal femur with cephalomeduallary hip nails. Orthop. Surg. 2013, 5, 124–129. [Google Scholar] [CrossRef] [PubMed]
- Holt, G.; Smith, R.; Duncan, K.; Hutchison, J.; Gregori, A. Outcome Afer Surgery for the Treatment of Hip Fracture in the Extremely Elderly. J. Bone Jt. Surg. Vol. 2008, 90, 1899–1905. [Google Scholar] [CrossRef] [PubMed]
- Saarenpää, I.; Partanen, J.; Jalovaara, P. Basicervical fracture-A rare type of hip fracture. Arch. Orthop. Trauma Surg. 2002, 122, 69–72. [Google Scholar]
- Ozdemir, H.; Dabak, T.K.; Urgüden, M.; Gür, S. A different treatment modality fortrochanteric fractures of the femur in surgical high-risk patients: A clinical studyof 44 patients with 21-month follow-up. Arch. Orthop Trauma Surg. 2003, 213, 538–543. [Google Scholar] [CrossRef] [PubMed]
- Leibson, C.L.; Tosteson, A.N.; Gabriel, S.E.; Ransom, J.E.; Melton, L.J. Mortality, disability, and nursing home use for persons with and without hip fracture: A population-based study. J. Am. Geriatr. Soc. 2002, 50, 644–1650. [Google Scholar] [CrossRef]
- Schnell, S.; Friedman, S.M.; Mendelson, D.A.; Bingham, K.W.; Kates, S.L. The 1-Year Mortality of Patients Treated in a Hip Fracture Program for Elders. Geriatr. Orthop. Surg. Rehabil. 2010, 1, 6–14. [Google Scholar] [CrossRef]
- Yu, X.; Wang, H.; Duan, X.; Liu, M.; Xiang, Z. Intramedullary versus extramedullary internal fixation for unstable intertrochanteric fracture, a meta-analysis. Acta Orthop. Traumatol. Turc. 2018, 52, 298–307. [Google Scholar] [CrossRef]
- Bhandari, M.; Guyatt, G.H.; Khera, V.; Kulkarni, A.V.; Sprague, S.; Schemitsch, E.H. Operative management of lower extremity fractures in patients with head injuries. Clin. Orthop. 2003, 407, 187–198. [Google Scholar] [CrossRef]
- Nowotarski, P.J.; Turen, C.H.; Brumback, R.J.; Scarboro, J.M. Conversion of external fixation to intramedullary nailing for fractures of the shaft of the femur in multiply injured patients. J. Bone Jt. Surg. Am. 2000, 82, 781–788. [Google Scholar] [CrossRef]
- Kubiak, E.N.; Bong, M.; Park, S.S.; Kummer, F.; Egol, K.; Koval, K.J. Intramedullary fixation of unstable intertrochanteric hip fractures: One or two lag screws. J. Orthop. Trauma 2004, 18, 12–17. [Google Scholar] [CrossRef] [PubMed]
- Rikli, D.; Goldhahn, J.; Käch, K.; Voigt, C.; Platz, A.; Hanson, B. The effect of local bone mineral density on the rate of mechanical failure after surgical treatment of distal radius fractures: A prospective multicentre cohort study including 249 patients. Arch. Orthop. Trauma Surg. 2015, 135, 201–207. [Google Scholar] [CrossRef]
- Boudard, G.; Pomares, G.; Milin, L.; Lemonnier, I.; Coudane, H.; Mainard, D.; Delagoutte, J.P. Locking plate fixation versus antegrade nailing of 3-and 4-part proximal humerus fractures in patients without osteoporosis. Comparative retrospective study of 63 cases. Orthop. Traumatol. Surg. Res. 2014, 100, 917–924. [Google Scholar] [CrossRef] [PubMed]
- Shin, Y.S.; Chae, J.E.; Kang, T.W.; Han, S.B. Prospective randomized study comparing two cephalomedullary nails for elderly intertrochanteric fractures: Zimmer natural nail versus proximal femoral nail antirotation II. Injury 2017, 48, 1550–1557. [Google Scholar] [CrossRef] [PubMed]
- Okano, I.; Sawada, T.; Kushima, N.; Tachibana, T.; Inagaki, K. Treatment with helical blade Cephalomedullary nail for two-part Basicervical proximal femoral fracture in elderly patients: A retrospective observational study. Geriatr. Orthop. Surg. Rehabil. 2017, 8, 244–251. [Google Scholar] [CrossRef]
- Strauss, E.; Frank, J.; Lee, J.; Kummer, F.J.; Tejwani, N. Helical blade versus sliding hip screw for treatment of unstable intertrochanteric hip fractures: A biomechanical evaluation. Injury 2006, 37, 984–989. [Google Scholar] [CrossRef]
- Massoud, E.I.E. Fixation of subtrochanteric fractures: Does a technical optimization of the dynamic hip screw application improve the results? Strateg. Trauma Limb. Reconstr. 2009, 4, 65–71. [Google Scholar] [CrossRef][Green Version]
- Tornetta, P. Subtrochanteric femur fracture. J. Orthop. Trauma 2002, 16, 280–283. [Google Scholar] [CrossRef]
- Blatter, G.; Janssen, M. Treatment of subtrochanteric fractures of the femur: Reduction on the traction table and fixation with dynamic condylar screw. Arch. Orthop. Trauma Surg. 1994, 113, 138–141. [Google Scholar] [CrossRef]
- Yu, W.; Zhang, X.; Zhu, X.; Hu, J.; Liu, Y. A retrospective analysis of the InterTan nail and proximal femoral nail anti-rotation-Asia in the treatment of unstable intertrochanteric femur fractures in the elderly. J. Orthop. Surg. Res. 2016, 11, 1–7. [Google Scholar] [CrossRef]
- Lee, S.Y.; Niikura, T.; Iwakura, T.; Sakai, Y.; Kuroda, R.; Kurosaka, M. Complete traumatic backout of the blade of proximal femoral nail antirotation: A case report. Orthop. Traumatol. Surg. Res. 2014, 100, 41–443. [Google Scholar] [CrossRef] [PubMed][Green Version]
- Karapinar, L.; Kumbaraci, M.; Kaya, A.; Imerci, A.; Incesu, M. Proximal femoral nail anti-rotation (PFNA) to treat peritrochanteric fractures in elderly patients. Eur. J. Orthop. Surg. Traumatol. 2012, 22, 237–243. [Google Scholar] [CrossRef]
- Lasanianos, N.; Mouzopoulos, G.; Georgilas, I. Hip screw lateral migration with no cut-out or non-union implication: A case report. Cases J. 2009, 2, 1–4. [Google Scholar] [CrossRef]
- Zderic, I.; Willhuber, G.C.; Ahrend, M.D.; Gras, F.; Barla, J.; Sancineto, C.; Windolf, M.; Richards, G.; Gueorguiev, B. Biomechanical comparison between standard and inclined screw orientation in dynamic hip screw side-plate fixation: The lift-off phenomenon. J. Orthop. Transl. 2019, 18, 92–99. [Google Scholar] [CrossRef] [PubMed]
- Lee, E.S.; Goh, T.S.; Heo, J.Y.; Kim, Y.J.; Lee, S.E.; Kim, Y.H.; Lee, C.S. Experimental Evaluation of Screw Pullout Force and Adjacent Bone Damage According to Pedicle Screw Design Parameters in Normal and Osteoporotic Bones. Appl. Sci. 2019, 9, 586. [Google Scholar] [CrossRef]
- Wu, Z.; Nassar, S.A.; Yang, X. Pullout performance of self-tapping medical screws. J. Biomech. Eng. 2011, 133, 1–9. [Google Scholar] [CrossRef]
- Helfrick, M.N.; Niezrecki, C.; Avitabile, P.; Schmidt, T. 3D digital image correlation methods for full-field vibration measurement. Mech. Syst. Signal. Process. 2011, 25, 917–927. [Google Scholar] [CrossRef]
- Demin, W.; Fukang, H. Investigation for plastic damage constitutive models of the concrete material. Procedia Eng. 2017, 210, 71–78. [Google Scholar] [CrossRef]
- Xiao, Y.; Chen, Z.; Zhou, J.; Leng, Y.; Xia, R. Concrete plastic-damage factor for finite element analysis: Concept, simulation, and experiment. Adv. Mech. Eng. 2017, 9, 1–10. [Google Scholar] [CrossRef]
- Cosgun, S.I.; Sesli, H.; Husem, M. Finite Element Model of RC Columns Subjected to Projectile Impact with Different Velocities. Int. J. Struct. Civil. Eng. Res. 2018, 7, 8–14. [Google Scholar] [CrossRef]
- Lubliner, J.; Oliver, J.; Oller, S.; Oñate, E. A plastic-damage model for concrete. Int. J. Solids Struct. 1989, 25, 299–326. [Google Scholar] [CrossRef]
- Zappitelli, M.P.; Villa, E.I.; Sáez, J.F.; Rocco, C.G. Cracking development prediction in concrete gravity dams using concrete damaged plasticity model. Mecánica Comput. 2014, 33, 909–921. [Google Scholar]
- Lee, J.; Fenves, G.L. Plastic-damage model for cyclic loading of concrete structures. J. Eng. Mech. 1998, 124, 892–900. [Google Scholar] [CrossRef]
- Birtel, V.; Mark, P. Parameterised finite element modelling of RC beam shear failure. In Proceedings of the 2006 ABAQUS Users’ Conference, Boston, MA, USA, 23–25 May 2006; pp. 95–108. [Google Scholar]
- Bergmann, G.; Bender, A.; Dymke, J.; Duda, G.; Damm, P. Standardized loads acting in hip implants. PLoS ONE 2016, 15, e0155612. [Google Scholar] [CrossRef]
- Schaeffer, E.K.; Mulpuri, K. Anatomy and Physiology of the Pediatric Hip. Pediatric Adolesc. Hip. 2019, 29–51. [Google Scholar] [CrossRef]














Publisher’s Note: MDPI stays neutral with regard to jurisdictional claims in published maps and institutional affiliations. |
© 2021 by the authors. Licensee MDPI, Basel, Switzerland. This article is an open access article distributed under the terms and conditions of the Creative Commons Attribution (CC BY) license (http://creativecommons.org/licenses/by/4.0/).
Share and Cite
Park, Y.-C.; Chae, D.-S.; Kang, K.-Y.; Ding, Y.; Park, S.-J.; Yoon, J. Comparative Pull-Out Performances of Cephalomedullary Nail with Screw and Helical Blade According to Femur Bone Densities. Appl. Sci. 2021, 11, 496. https://doi.org/10.3390/app11020496
Park Y-C, Chae D-S, Kang K-Y, Ding Y, Park S-J, Yoon J. Comparative Pull-Out Performances of Cephalomedullary Nail with Screw and Helical Blade According to Femur Bone Densities. Applied Sciences. 2021; 11(2):496. https://doi.org/10.3390/app11020496
Chicago/Turabian StylePark, Young-Chang, Dong-Sik Chae, Kyung-Yil Kang, Yao Ding, Sung-Jun Park, and Jonghun Yoon. 2021. "Comparative Pull-Out Performances of Cephalomedullary Nail with Screw and Helical Blade According to Femur Bone Densities" Applied Sciences 11, no. 2: 496. https://doi.org/10.3390/app11020496
APA StylePark, Y.-C., Chae, D.-S., Kang, K.-Y., Ding, Y., Park, S.-J., & Yoon, J. (2021). Comparative Pull-Out Performances of Cephalomedullary Nail with Screw and Helical Blade According to Femur Bone Densities. Applied Sciences, 11(2), 496. https://doi.org/10.3390/app11020496

