Mechanical and Thermo-Physical Performances of Gypsum-Based PCM Composite Materials Reinforced with Carbon Fiber
Abstract
Featured Application
Abstract
1. Introduction
2. Materials and Methods
2.1. Materials
2.2. Preparation of the DP Composite
2.3. Characterization of the DP Composite
2.4. The Preparation of the DP/Gypsum Composites
2.5. The Characterization of the DP/Gypsum Composites
2.5.1. The Testing of Mechanical Strengths
2.5.2. The Testing of Thermal Conductivity
2.5.3. The Testing of Thermo-Regulated Performance
3. Results and Discussion
3.1. Characterization of the DP Composite
3.1.1. Microstructure of the Diatomite and DP Composite
3.1.2. Thermo-Physical Properties of the DP Composite
3.1.3. Chemical Structure of the DP Composite
3.1.4. Thermal Cycle Test
3.2. Mechanical Properties of the DP/Gypsum Composite
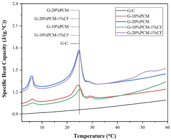
3.3. Thermal Conductivity, Density and Specific Heat Capacity of the DP/Gypsum Composites
3.4. Thermo-Regulated Performance of the DP/Gypsum Composite
3.5. Feasibility Analysis
3.5.1. Economic Feasibility
3.5.2. Practical Feasibility
3.5.3. Environmental Feasibility
4. Conclusions
- (1)
- From the SEM and N2 adsorption, it can be seen that diatomite with a porous structure could provide enough space for storing paraffin. The impregnation ratio of paraffin in the diatomite was approximately 15 wt. %;
- (2)
- Based on the thermo-physical characteristics, thermal stability, chemical structure and thermal reliability of diatomite/paraffin, it can be concluded that the diatomite/paraffin composite is suitable for practical application;
- (3)
- The compressive strength of gypsum decreased slightly with the increase in diatomite/paraffin content. However, adding 1% CF could increase the compressive and flexural strengths of G-10% and DP-1% CF by 29.8% and 176.0%, respectively, when compared to the control. These improvements are due to the pull-out effect of carbon fiber restraining the cracks’ development;
- (4)
- When 1 wt. % CF was added into the composite, the thermal conductivity of G-20% DP increased to 0.71 W/(m·K) from 0.59 W/(m·K), with an increase of 20.3%;
- (5)
- The indoor temperature of the room model with a G-20% DP-1% CF composite panel was 3.1 °C lower than that of the control. In general, the composite showed an excellent thermo-regulated performance;
- (6)
- The payback period of applying CF-reinforced diatomite/paraffin/gypsum in residential buildings was only 23.31 years, which is much less than the average life span of building (60 years).
Author Contributions
Funding
Data Availability Statement
Acknowledgments
Conflicts of Interest
Abbreviations
| PCM | Phase change material |
| SSPCM | Shape-stabilized phase change material |
| CF | Carbon fibers |
| DP | Diatomite/paraffin |
| FESEM | Field emission scanning electron microscope |
| BET | Brunauer Emmett Teller |
| DSC | Differential scanning calorimetry |
| TGA | Thermogravimetric analysis |
| FT-IR | Fourier transform infrared spectrometer |
References
- Choi, S.H.; Park, J.; Ko, H.S.; Karng, S.W. Heat penetration reduction through PCM walls via bubble injections in buildings. Energy Convers. Manag. 2020, 221, 113187. [Google Scholar] [CrossRef]
- Mizan, M.H.; Ueda, T.; Matsumoto, K. Enhancement of the concrete-PCM interfacial bonding strength using silica fume. Constr. Build. Mater. 2020, 259, 119774. [Google Scholar] [CrossRef]
- Fateh, A.; Borelli, D.; Weinläder, H.; Devia, F. Cardinal orientation and melting temperature effects for PCM-enhanced light-walls in different climates. Sustain. Cities Soc. 2019, 51, 101766. [Google Scholar] [CrossRef]
- Marin, P.; Saffari, M.; de Gracia, A.; Zhu, X.; Farid, M.M.; Cabeza, L.F.; Ushak, S. Energy savings due to the use of PCM for relocatable lightweight buildings passive heating and cooling in different weather conditions. Energy Build. 2016, 129, 274–283. [Google Scholar] [CrossRef]
- Cunha, S.; Lima, M.; Aguiar, J.B. Influence of adding phase change materials on the physical and mechanical properties of cement mortars. Constr. Build. Mater. 2016, 127, 1–10. [Google Scholar] [CrossRef]
- Memon, S.A.; Lo, T.Y.; Cui, H.; Barbhuiya, S. Preparation, characterization and thermal properties of dodecanol/cement as novel form-stable composite phase change material. Energy Build. 2013, 66, 697–705. [Google Scholar] [CrossRef]
- Powała, K.; Heim, D. Paraffin Permeability of Synthetic Gypsum Binders Modified by Individual Polymers. Latv. J. Phys. Tech. Sci. 2019, 56, 47–56. [Google Scholar] [CrossRef]
- Qian, Z.; Shen, H.; Fang, X.; Fan, L.; Zhao, N.; Xu, J. Phase change materials of paraffin in h-BN porous scaffolds with enhanced thermal conductivity and form stability. Energy Build. 2018, 158, 1184–1188. [Google Scholar] [CrossRef]
- Ramakrishnan, S.; Wang, X.; Sanjayan, J.; Wilson, J. Thermal performance assessment of phase change material integrated cementitious composites in buildings: Experimental and numerical approach. Appl. Energy 2017, 207, 654–664. [Google Scholar] [CrossRef]
- Cellat, K.; Tezcan, F.; Beyhan, B.; Kardaş, G.; Paksoy, H. A comparative study on corrosion behavior of rebar in concrete with fatty acid additive as phase change material. Constr. Build. Mater. 2017, 143, 490–500. [Google Scholar] [CrossRef]
- Novais, R.M.; Ascensão, G.; Seabra, M.P.; Labrincha, J.A. Lightweight dense/porous PCM-ceramic tiles for indoor temperature control. Energy Build. 2015, 108, 205–214. [Google Scholar] [CrossRef]
- Hajjar, A.; Mehryan, S.A.M.; Ghalambaz, M. Time periodic natural convection heat transfer in a nano-encapsulated phase-change suspension. Int. J. Mech. Sci. 2020, 166, 105243. [Google Scholar] [CrossRef]
- Ramakrishnan, S.; Wang, X.; Sanjayan, J.; Wilson, J. Assessing the feasibility of integrating form-stable phase change material composites with cementitious composites and prevention of PCM leakage. Mater. Lett. 2017, 192, 88–91. [Google Scholar] [CrossRef]
- Abden, M.J.; Tao, Z.; Pan, Z.; George, L.; Wuhrer, R. Inclusion of methyl stearate/diatomite composite in gypsum board ceiling for building energy conservation. Appl. Energy 2020, 259, 114113. [Google Scholar] [CrossRef]
- Yang, H.; Memon, S.; Bao, X.; Cui, H.; Li, D. Design and Preparation of Carbon Based Composite Phase Change Material for Energy Piles. Materials 2017, 10, 391. [Google Scholar] [CrossRef] [PubMed]
- Mohseni, E.; Tang, W.; Wang, S. Development of thermal energy storage lightweight structural cementitious composites by means of macro-encapsulated PCM. Constr. Build. Mater. 2019, 225, 182–195. [Google Scholar] [CrossRef]
- Sukontasukkul, P.; Uthaichotirat, P.; Sangpet, T.; Sisomphon, K.; Newlands, M.; Siripanichgorn, A.; Chindaprasirt, P. Thermal properties of lightweight concrete incorporating high contents of phase change materials. Constr. Build. Mater. 2019, 207, 431–439. [Google Scholar] [CrossRef]
- Ryms, M.; Klugmann-Radziemska, E. Possibilities and benefits of a new method of modifying conventional building materials with phase-change materials (PCMs). Constr. Build. Mater. 2019, 211, 1013–1024. [Google Scholar] [CrossRef]
- Ali Memon, S.; Yiu Lo, T.; Shi, X.; Barbhuiya, S.; Cui, H. Preparation, characterization and thermal properties of Lauryl alcohol/Kaolin as novel form-stable composite phase change material for thermal energy storage in buildings. Appl. Therm. Eng. 2013, 59, 336–347. [Google Scholar] [CrossRef]
- Marske, F.; Silva, J.M.D.S.E.; Wehrspohn, R.B.; Hahn, T.; Enke, D. Synthesis of monolithic shape-stabilized phase change materials with high mechanical stability via a porogen-assisted in situ sol–gel process. Rsc Adv. 2020, 10, 3072–3083. [Google Scholar] [CrossRef]
- Zhang, X.; Kim, Y.; Kim, D.; Liu, M.; Erramuspe, I.B.V.; Kaya, G.B.; Wang, X.; Kim, T.; Via, B.K.; Cho, H. Shape-Stabilized Phase Change Material by a Synthetic/Natural Hybrid Composite Foam with Cell-Wall Pores. Acs Appl. Energy Mater. 2020. [Google Scholar] [CrossRef]
- Li, A.; Dong, C.; Dong, W.; Atinafu, D.G.; Gao, H.; Chen, X.; Wang, G. Hierarchical 3D Reduced Graphene Porous-Carbon-Based PCMs for Superior Thermal Energy Storage Performance. ACS Appl. Mater. Interfaces 2018, 10, 32093–32101. [Google Scholar] [CrossRef] [PubMed]
- Wen, R.; Zhang, X.; Huang, Z.; Fang, M.; Liu, Y.; Wu, X.; Min, X.; Gao, W.; Huang, S. Preparation and thermal properties of fatty acid/diatomite form-stable composite phase change material for thermal energy storage. Sol. Energy Mater. Sol. Cells 2018, 178, 273–279. [Google Scholar] [CrossRef]
- Guo, X.; Huang, Y.; Cao, J. Performance of a thermal energy storage composite by incorporating diatomite stabilized paraffin as phase change material. Energy Build. 2018, 158, 1257–1265. [Google Scholar] [CrossRef]
- Rao, Z.; Zhang, G.; Xu, T.; Hong, K. Experimental study on a novel form-stable phase change materials based on diatomite for solar energy storage. Sol. Energy Mater. Sol. Cells 2018, 182, 52–60. [Google Scholar] [CrossRef]
- Konuklu, Y.; Ersoy, O.; Gokce, O. Easy and industrially applicable impregnation process for preparation of diatomite-based phase change material nanocomposites for thermal energy storage. Appl. Therm. Eng. 2015, 91, 759–766. [Google Scholar] [CrossRef]
- Kastis, D.; Kakali, G.; Tsivilis, S.; Stamatakis, M.G. Properties and hydration of blended cements with calcareous diatomite. Cem. Concr. Res. 2006, 36, 1821–1826. [Google Scholar] [CrossRef]
- Jeong, S.-G.; Jeon, J.; Lee, J.-H.; Kim, S. Optimal preparation of PCM/diatomite composites for enhancing thermal properties. Int. J. Heat Mass Transf. 2013, 62, 711–717. [Google Scholar] [CrossRef]
- Qian, T.; Li, J. Octadecane/C-decorated diatomite composite phase change material with enhanced thermal conductivity as aggregate for developing structural–functional integrated cement for thermal energy storage. Energy 2018, 142, 234–249. [Google Scholar] [CrossRef]
- Xu, B.; Li, Z. Paraffin/diatomite/multi-wall carbon nanotubes composite phase change material tailor-made for thermal energy storage cement-based composites. Energy 2014, 72, 371–380. [Google Scholar] [CrossRef]
- Kuttah, D.; Sato, K. Review on the effect of gypsum content on soil behavior. Transp. Geotech. 2015, 4, 28–37. [Google Scholar] [CrossRef]
- Oliver, A. Thermal characterization of gypsum boards with PCM included: Thermal energy storage in buildings through latent heat. Energy Build. 2012, 48, 1–7. [Google Scholar] [CrossRef]
- Tang, F.; Su, D.; Tang, Y.; Fang, G. Synthesis and thermal properties of fatty acid eutectics and diatomite composites as shape-stabilized phase change materials with enhanced thermal conductivity. Sol. Energy Mater. Sol. Cells 2015, 141, 218–224. [Google Scholar] [CrossRef]
- Sarı, A.; Bicer, A.; Al-Sulaiman, F.A.; Karaipekli, A.; Tyagi, V.V. Diatomite/CNTs/PEG composite PCMs with shape-stabilized and improved thermal conductivity: Preparation and thermal energy storage properties. Energy Build. 2018, 164, 166–175. [Google Scholar] [CrossRef]
- Xu, G.; Leng, G.; Yang, C.; Qin, Y.; Wu, Y.; Chen, H.; Cong, L.; Ding, Y. Sodium nitrate – Diatomite composite materials for thermal energy storage. Sol. Energy 2017, 146, 494–502. [Google Scholar] [CrossRef]
- Cui, H.; Feng, T.; Yang, H.; Bao, X.; Tang, W.; Fu, J. Experimental study of carbon fiber reinforced alkali-activated slag composites with micro-encapsulated PCM for energy storage. Constr. Build. Mater. 2018, 161, 442–451. [Google Scholar] [CrossRef]
- Li, C.; Yu, H.; Song, Y.; Wang, M.; Liu, Z. A n-octadecane/hierarchically porous TiO2 form-stable PCM for thermal energy storage. Renew. Energy 2020, 145, 1465–1473. [Google Scholar] [CrossRef]
- Zou, D.; Ma, X.; Liu, X.; Zheng, P.; Hu, Y. Thermal performance enhancement of composite phase change materials (PCM) using graphene and carbon nanotubes as additives for the potential application in lithium-ion power battery. Int. J. Heat Mass Transf. 2018, 120, 33–41. [Google Scholar] [CrossRef]
- Xu, T.; Li, Y.; Chen, J.; Wu, H.; Zhou, X.; Zhang, Z. Improving thermal management of electronic apparatus with paraffin (PA)/expanded graphite (EG)/graphene (GN) composite material. Appl. Therm. Eng. 2018, 140, 13–22. [Google Scholar] [CrossRef]
- Kauffman, K.L.; Culp, J.T.; Goodman, A.; Matranga, C. FT-IR Study of CO2 Adsorption in a Dynamic Copper(II) Benzoate−Pyrazine Host with CO2−CO2 Interactions in the Adsorbed State. J. Phys. Chem. C 2011, 115, 1857–1866. [Google Scholar] [CrossRef]
- Yusan, S.; Korzhynbayeva, K.; Aytas, S.; Tazhibayeva, S.; Musabekov, K. Preparation and investigation of structural properties of magnetic diatomite nanocomposites formed with different iron content. J. Alloy. Compd. 2014, 608, 8–13. [Google Scholar] [CrossRef]
- Zhao, D. Adsorption of thorium(IV) on MX-80 bentonite: Effect of pH, ionic strength and temperature. Appl. Clay Sci. 2008, 41, 17–23. [Google Scholar] [CrossRef]
- Qian, T.; Li, J.; Min, X.; Guan, W.; Deng, Y.; Ning, L. Enhanced thermal conductivity of PEG/diatomite shape-stabilized phase change materials with Ag nanoparticles for thermal energy storage. J. Mater. Chem. A 2015, 3, 8526–8536. [Google Scholar] [CrossRef]
- Yu, H.; Li, C.; Zhang, K.; Tang, Y.; Song, Y.; Wang, M. Preparation and thermophysical performance of diatomite-based composite PCM wallboard for thermal energy storage in buildings. J. Build. Eng. 2020, 32, 101753. [Google Scholar] [CrossRef]
- Zhang, P.; Cui, Y.; Zhang, K.; Wu, S.; Chen, D.; Gao, Y. Enhanced thermal storage capacity of paraffin/diatomite composite using oleophobic modification. J. Clean. Prod. 2021, 279, 123211. [Google Scholar] [CrossRef]
- Wang, T.; Wang, S.; Geng, L.; Fang, Y. Enhancement on thermal properties of paraffin/calcium carbonate phase change microcapsules with carbon network. Appl. Energy 2016, 179, 601–608. [Google Scholar] [CrossRef]
- Cheng, F.; Wen, R.; Zhang, X.; Huang, Z.; Huang, Y.; Fang, M.; Liu, Y.g.; Wu, X.; Min, X. Synthesis and characterization of beeswax-tetradecanol-carbon fiber/expanded perlite form-stable composite phase change material for solar energy storage. Compos. Part A Appl. Sci. Manuf. 2018, 107, 180–188. [Google Scholar] [CrossRef]
- Huang, X.; Alva, G.; Liu, L.; Fang, G. Microstructure and thermal properties of cetyl alcohol/high density polyethylene composite phase change materials with carbon fiber as shape-stabilized thermal storage materials. Appl. Energy 2017, 200, 19–27. [Google Scholar] [CrossRef]
- Bao, X.; Tian, Y.; Yuan, L.; Cui, H.; Tang, W.; Fung, W.H.; Qi, H. Development of high performance PCM cement composites for passive solar buildings. Energy Build. 2019, 194, 33–45. [Google Scholar] [CrossRef]
- Available online: https://www.prweb.com/releases/gypsum-board-industry/report-2014-2016/prweb12155688.htm (accessed on 3 January 2021).
- Mittal, M.L.; Sharma, C.; Singh, R. Decadal emission estimates of carbon dioxide, sulfur dioxide, and nitric oxide emissions from coal burning in electric power generation plants in India. Environ. Monit. Assess. 2014, 186, 6857. [Google Scholar] [CrossRef]
















| Materials Name | Product No. | Physical Properties |
|---|---|---|
| Paraffin | 25# | Melting temperature: ~22 °C Latent heat: ~120 J/g |
| Gypsum | SZ-GY2000 | Setting time: 8–10 min Expansion: less 0.08% |
| Diatomite | SD 3001# | Bulk density: 0.34–0.65 g/cm3 Specific surface area: 40–65 m2/g Pore volume: 0.45–0.98 m³/g Density: 0.47 g/cm³ |
| CF | 700 SC-12K | Tensile strength: ~4.9 GPa Tensile modulus: ~230 GPa Density: 1.8 g/cm3 |
| CMC | C804619 | Viscosity: 400–800 mPa.s |
| No. | Gypsum (g) | Water (g) | DP (g) | CF (g) | CMC (g) |
|---|---|---|---|---|---|
| G-C | 3600 | 1300 | -- | -- | 3.6 |
| G-1% CF | 3600 | 1300 | -- | 36 | 3.6 |
| G-10% DP | 3600 | 1300 | 360 | -- | 3.6 |
| G-20% DP | 3600 | 1300 | 720 | -- | 3.6 |
| G-10% DP-1% CF | 3600 | 1300 | 360 | 36 | 3.6 |
| G-20% DP-1% CF | 3600 | 1300 | 720 | 36 | 3.6 |
| Thermal Cycle Times | TM | ΔHM | TF | ΔHF | Average Enthalpy ((ΔHM + ΔHF)/2) |
|---|---|---|---|---|---|
| 0 | 22.94 °C | 13.75 J/g | 21.75 °C | 18.75 J/g | 16.25 J/g |
| 300 times | 22.77 °C | 15.05 J/g | 21.45 °C | 17.36 J/g | 16.21 J/g(−0.04 J/g) |
| 600 times | 22.79 °C | 14.02 J/g | 21.37 °C | 16.89 J/g | 15.46 J/g(−0.79 J/g) |
| The Cost of Using Structural–Functional Integrated Energy Storage Gypsum Board (RMB) | The Use Efficiency of DP Panel (%) | Electricity Consumption per Year (RMB) | Static Payback Period (Year) | ||||
|---|---|---|---|---|---|---|---|
| Total cost of paraffin | Total cost of diatomite | Total cost of gypsum | Fabrication cost | Total cost | 0.5 | 3810.24 | 23.31 |
| 354 × 8.5 | 2006 × 2.2 | 20,060 × 0.5 | 33 × 300 | 34,503.2 | |||
Publisher’s Note: MDPI stays neutral with regard to jurisdictional claims in published maps and institutional affiliations. |
© 2021 by the authors. Licensee MDPI, Basel, Switzerland. This article is an open access article distributed under the terms and conditions of the Creative Commons Attribution (CC BY) license (http://creativecommons.org/licenses/by/4.0/).
Share and Cite
Zhang, B.; Yang, H.; Xu, T.; Tang, W.; Cui, H. Mechanical and Thermo-Physical Performances of Gypsum-Based PCM Composite Materials Reinforced with Carbon Fiber. Appl. Sci. 2021, 11, 468. https://doi.org/10.3390/app11020468
Zhang B, Yang H, Xu T, Tang W, Cui H. Mechanical and Thermo-Physical Performances of Gypsum-Based PCM Composite Materials Reinforced with Carbon Fiber. Applied Sciences. 2021; 11(2):468. https://doi.org/10.3390/app11020468
Chicago/Turabian StyleZhang, Bo, Haibin Yang, Tao Xu, Waiching Tang, and Hongzhi Cui. 2021. "Mechanical and Thermo-Physical Performances of Gypsum-Based PCM Composite Materials Reinforced with Carbon Fiber" Applied Sciences 11, no. 2: 468. https://doi.org/10.3390/app11020468
APA StyleZhang, B., Yang, H., Xu, T., Tang, W., & Cui, H. (2021). Mechanical and Thermo-Physical Performances of Gypsum-Based PCM Composite Materials Reinforced with Carbon Fiber. Applied Sciences, 11(2), 468. https://doi.org/10.3390/app11020468

