Experimental Study of Perfobond Rib Shear Connector under Lateral Force
Abstract
:1. Introduction
2. Literature Review
3. Test Apparatus and Procedures
3.1. Test Apparatus and Specimen Details
3.2. Test Procedures
4. Results Discussion
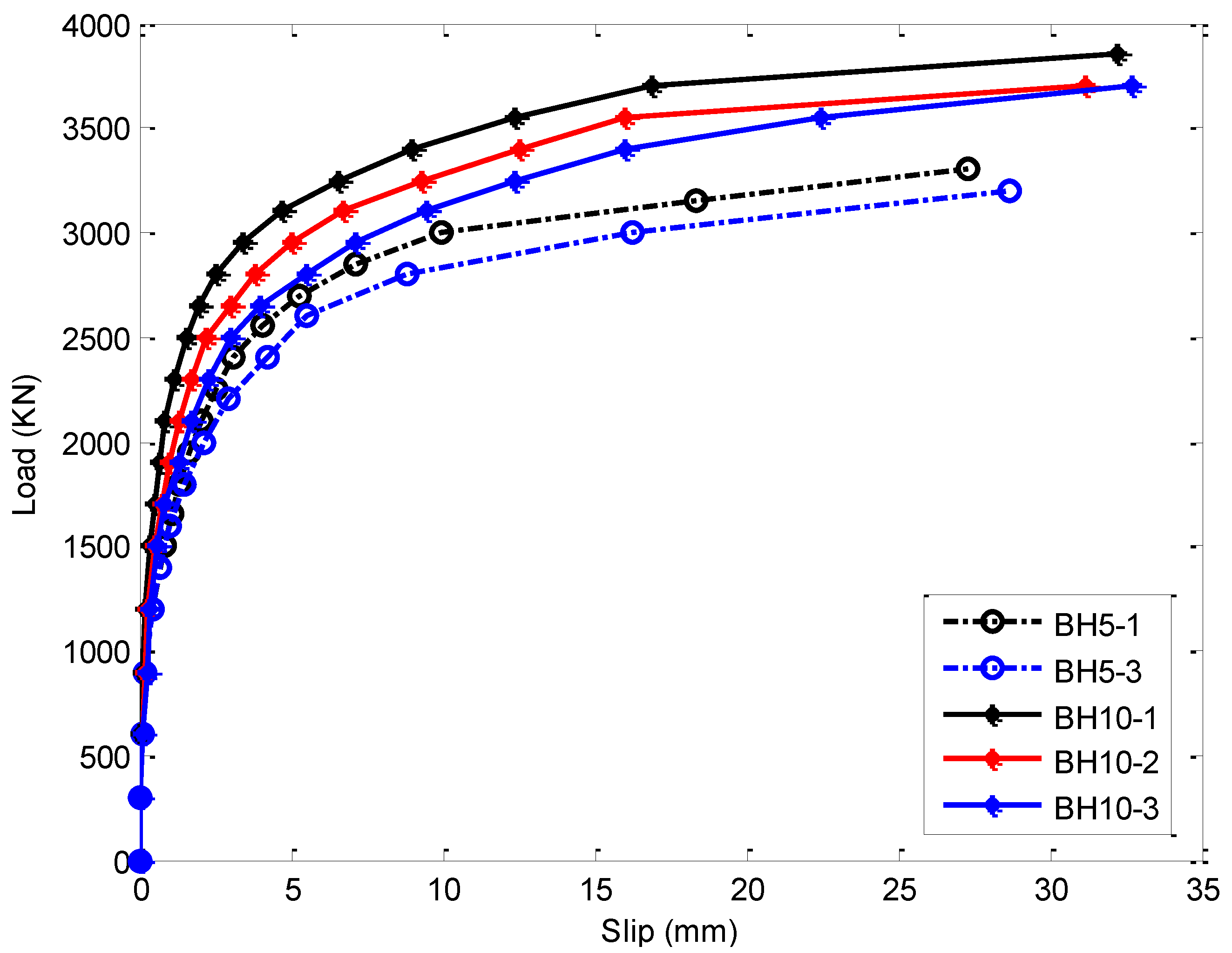
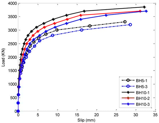
4.1. Rib Hole Diameter
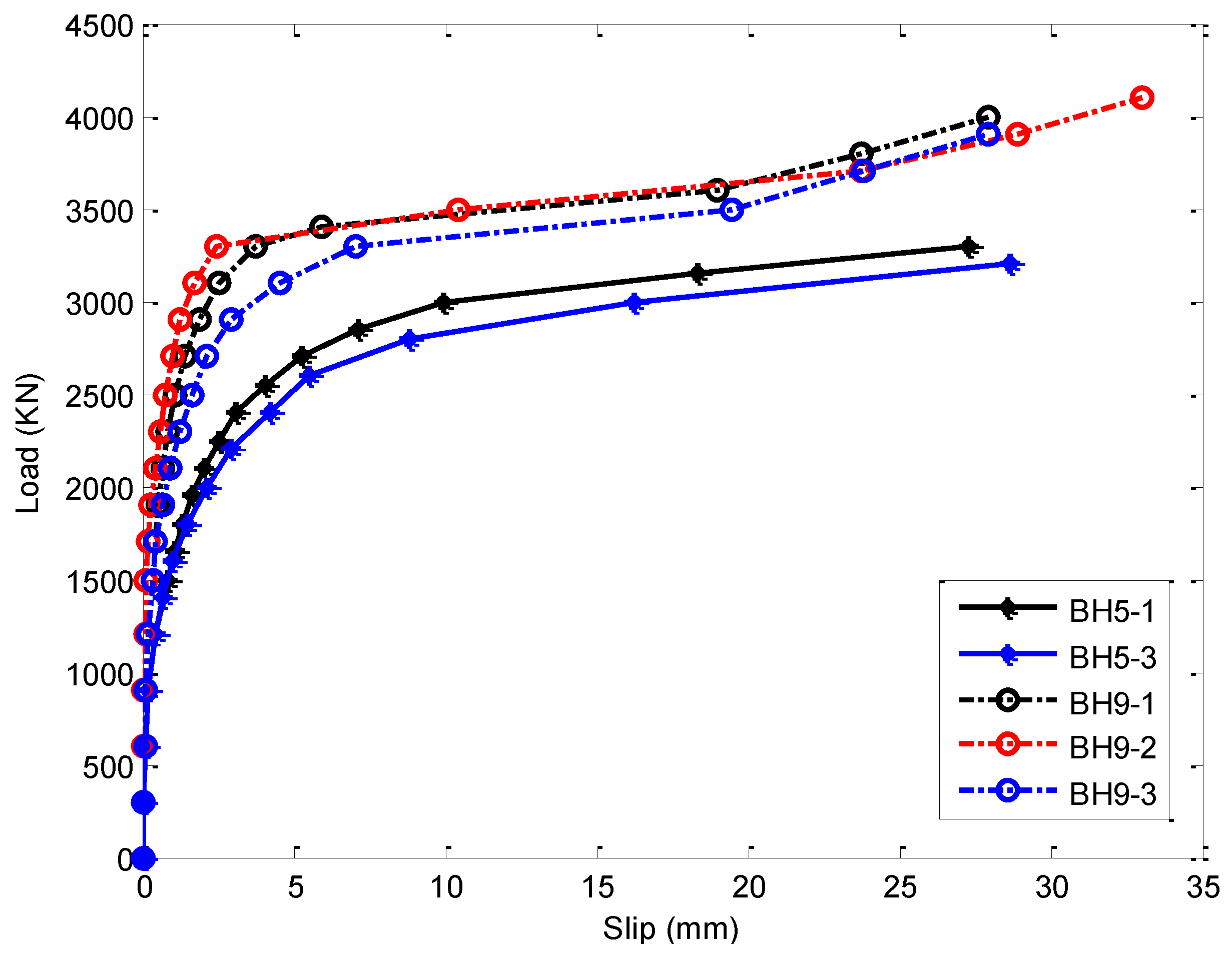
4.2. Lateral Reinforcement Diameter
4.3. Transverse Forces
4.3.1. Transverse Tensile Force
4.3.2. Transverse Compressive Force
5. Failure Modes of Shear Connections
6. Conclusions
- Rib hole diameter has an influence on the overall resistance of the shear connection. However, the influence depends on the diameter of the reinforcement bars. For example, when the rib hole diameter increases from 60 mm to 75 mm, the influence is obvious on the test specimens with 16 mm diameter reinforcement bars. However, the same amount of increase in rib hole diameter results in no obvious change in the bond–slip relationship on the specimens with 20 mm diameter reinforcement bars.
- A larger rib holes diameter, however, can increase the resistance of the shear connection and, on the other hand, also decreases the strength of the rib plate and causes failure of the shear connection, as in BH-10 and BH-11 specimens.
- The reinforcement bar diameter also has an influence on the resistance of the shear connection. However, the influence also depends on the rib holes. If the rib holes are large enough, the concrete dowel failure will dominate and the reinforcement bars would not contribute much to the overall shear resistance.
- A thicker rib thickness would increase the resistance of the shear connection; however, the increase in the resistance is not as efficient as other factors because the main source of shear resistance comes from the concrete and reinforcement dowel.
- The existence of transverse pretension stress accelerated the cracking of concrete, leading to the strength and stiffness of concrete, perforated plate, and reinforcing rebars being unable to exert their effect fully. As a result, the shear capacity of Perfobond shear connectors was reduced by about 10%. In addition, the constraint effect of transverse stress improved the strength and stiffness of concrete and delayed the concrete cracking, bringing the strength and stiffness of concrete, perforated plate, and reinforcing rebars into full play, and resulting in a significant improvement (20%) in the shear capacity of Perfobond shear connectors.
Author Contributions
Funding
Data Availability Statement
Acknowledgments
Conflicts of Interest
References
- Zellner, W. Recent designs of composite bridges and a new type of shear connectors. In Composite Construction in Steel and Concrete; American Society of Civil Engineers: New York, NY, USA, 1987; pp. 240–252. [Google Scholar]
- Zheng, S.; Liu, Y.; Yoda, T.; Lin, W. Parametric study on shear capacity of circular-hole and long-hole perfobond shear connector. J. Constr. Steel Res. 2016, 117, 64–80. [Google Scholar] [CrossRef]
- Kim, S.H.; Choi, K.T.; Park, S.; Park, S.M.; Jung, C.Y. Experimental shear resistance evaluation of Y-type perfobond rib shear connector. J. Constr. Steel Res. 2013, 82, 1–18. [Google Scholar] [CrossRef]
- Su, Q.T.; Wang, W.; Luan, H.-W.; Yang, G.T. Experimental research on bearing mechanism of perfobond rib shear connectors. J. Constr. Steel Res. 2014, 95, 22–31. [Google Scholar] [CrossRef]
- Oguejiofor, E.C.; Hosain, M.U. Numerical analysis of push-out specimens with perfobond rib connectors. Comput. Struct. 1997, 62, 617–624. [Google Scholar] [CrossRef]
- Vianna, J.; Costa-Neves, L.; Vellasco, P.; de Andrade, S. Structural behaviour of T-Perfobond shear connectors in composite girders: An experimental approach. Eng. Struct. 2008, 30, 2381–2391. [Google Scholar] [CrossRef] [Green Version]
- Rodrigues, J.P.C.; Laím, L. Behaviour of Perfobond shear connectors at high temperatures. Eng. Struct. 2011, 33, 2744–2753. [Google Scholar] [CrossRef]
- Valente, I.B.; Cruz, P. Experimental analysis of Perfobond shear connection between steel and lightweight concrete. J. Constr. Steel Res. 2004, 60, 465–479. [Google Scholar] [CrossRef] [Green Version]
- Costa-Neves, L.; Figueiredo, J.; Vellasco, P.; Vianna, J.D.C. Perforated shear connectors on composite girders under monotonic loading: An experimental approach. Eng. Struct. 2013, 56, 721–737. [Google Scholar] [CrossRef]
- Cândido-Martins, J.P.; Costa-Neves, L.F.; Vellasco, P.D.S. Experimental evaluation of the structural response of Perfobond shear connectors. Eng. Struct. 2010, 32, 1976–1985. [Google Scholar] [CrossRef]
- Gattesco, N.; Giuriani, E. Experimental study on stud shear connectors subjected to cyclic loading. J. Constr. Steel Res. 1996, 38, 1–21. [Google Scholar] [CrossRef]
- Ahn, J.-H.; Lee, C.-G.; Won, J.-H.; Kim, S.-H. Shear resistance of the perfobond-rib shear connector depending on concrete strength and rib arrangement. J. Constr. Steel Res. 2010, 66, 1295–1307. [Google Scholar] [CrossRef]
- Oehlers, D.; Foley, L. The fatigue strength of stud shear connections in composite beams. Proc. Inst. Civ. Eng. 1985, 79, 349–364. [Google Scholar] [CrossRef]
- Lee, P.G.; Shim, C.S.; Chang, S.P. Static and fatigue behavior of large stud shear connectors for steel–concrete composite bridges. J. Constr. Steel Res. 2005, 61, 1270–1285. [Google Scholar] [CrossRef]
- Vellasco, P.D.S.; de Andrade, S.A.L.; Ferreira, L.T.S.; de Lima, L.R.O. Semi-rigid composite frames with perfobond and T-rib connectors Part 1: Full scale tests. J. Constr. Steel Res. 2007, 63, 263–279. [Google Scholar] [CrossRef]
- de Andrade, S.A.L.; Vellasco, P.D.S.; Ferreira, L.T.S.; Lima, L. Semi-rigid composite frames with perfobond and T-rib connectors Part 2: Design models assessment. J. Constr. Steel Res. 2007, 63, 280–292. [Google Scholar] [CrossRef]
- Jeong, Y.J.; Kim, H.Y.; Koo, H.B. Longitudinal shear resistance of steel–concrete composite slabs with perfobond shear connectors. J. Constr. Steel Res. 2009, 65, 81–88. [Google Scholar] [CrossRef]
- Vianna, J.; Costa-Neves, L.; Vellasco, P.; de Andrade, S. Experimental assessment of Perfobond and T-Perfobond shear connectors’ structural response. J. Constr. Steel Res. 2009, 65, 408–421. [Google Scholar] [CrossRef]
- Nguyen, H.T.; Kim, S.E. Finite element modeling of push-out tests for large stud shear connectors. J. Constr. Steel Res. 2009, 65, 1909–1920. [Google Scholar] [CrossRef]
- da Cruz Vianna, J.; de Andrade, S.A.L.; Vellasco, P.D.S.; Costa-Neves, L.F. Experimental study of Perfobond shear connectors in composite construction. J. Constr. Steel Res. 2013, 81, 62–75. [Google Scholar] [CrossRef]
- He, S.; Fang, Z.; Mosallam, A. Push-out tests for perfobond strip connectors with UHPC grout in the joints of steel-concrete hybrid bridge girders. Eng. Struct. 2017, 135, 177–190. [Google Scholar] [CrossRef]
- Zhang, Q.; Pei, S.; Cheng, Z.; Bao, S.Y.; Li, Q. Theoretical and Experimental Studies of the Internal Force Transfer Mechanism of Perfobond Rib Shear Connector Group. J. Bridge Eng. 2017, 22, 04016112. [Google Scholar] [CrossRef]
- Wang, X.; Zhu, B.; Cui, S.; Lui, E.M. Experimental Research on PBL Connectors Considering the Effects of Concrete Stress State and Other Connection Parameters. J. Bridge Eng. 2018, 23, 04017125. [Google Scholar] [CrossRef]



























| Specimen Type | Specimens No. | Rib Holes Diameter (mm) | Transverse Rebar Diameter (mm) | Rib Thickness (mm) | Transverse Stress (MPa) | Major Failure Mode |
|---|---|---|---|---|---|---|
| BH-UN | BH-1 (1/2/3) | 60 | 16 | 20 | 0 | Rebar failure |
| BH-UN | BH-2 (1/2/3) | 60 | 20 | 20 | 0 | Rebar failure |
| BH-UN | BH-3 (1/2/3) | 75 | 16 | 20 | 0 | Concrete dowel failure |
| BH-UN | BH-4 (1/2/3) | 75 | 20 | 20 | 0 | Rebar failure |
| BH-UN | BH-5 (1/2/3) | 75 | 25 | 20 | 0 | Rebar failure |
| BH-PT | BH-6A | 75 | 25 | 20 | 3 | Concrete crack failure |
| BH-PT | BH-6 (1/2) | 75 | 25 | 20 | 2 | Concrete crack failure |
| BH-PT | BH-6P | 75 | 25 | 20 | 0 | Rebar failure |
| BH-PT | BH-7 (1/2) | 75 | 25 | 20 | 1 | Rebar failure |
| BH-PP | BH-8 (1/2/3) | 75 | 25 | 20 | −2 * | Rebar failure |
| BH-UN | BH-9 (1/2/3) | 75 | 25 | 24 | 0 | Rebar failure |
| BH-UN | BH-10 (1/2/3) | 90 | 25 | 20 | 0 | Rib failure |
| BH-UN | BH-11 (1/2/3) | 90 | 28 | 20 | 0 | Rib failure |
| Specimen | Rib Holes Diameter (mm) | Transverse Rebar Diameter (mm) | Rib Thickness (mm) | Transverse Stress (MPa) | Pu/kN | δu/mm |
|---|---|---|---|---|---|---|
| BH-1 | 60 | 16 | 20 | 0 | 313.3 | 11.9 |
| BH-2 | 60 | 20 | 20 | 0 | 386.1 | 13.6 |
| BH-3 | 75 | 16 | 20 | 0 | 377.2 | 10.4 |
| BH-4 | 75 | 20 | 20 | 0 | 433.3 | 15.7 |
| BH-5 | 75 | 25 | 20 | 0 | 562.8 | 20.7 |
| BH-6A | 75 | 25 | 20 | 3 | 450.0 | 38.0 |
| BH-6 | 75 | 25 | 20 | 2 | 466.7 | 24.2 |
| BH-6P | 75 | 25 | 20 | 0 | 525.0 | 10.5 |
| BH-7 | 75 | 25 | 20 | 1 | 550.0 | 20.7 |
| BH-8 | 75 | 25 | 20 | −2 * | 672.2 | 35.4 |
| BH-9 | 75 | 25 | 24 | 0 | 688.9 | 29.6 |
| BH-10 | 90 | 25 | 20 | 0 | 625.0 | 32.0 |
| BH-11 | 90 | 28 | 20 | 0 | 669.4 | 33.1 |
Publisher’s Note: MDPI stays neutral with regard to jurisdictional claims in published maps and institutional affiliations. |
© 2021 by the authors. Licensee MDPI, Basel, Switzerland. This article is an open access article distributed under the terms and conditions of the Creative Commons Attribution (CC BY) license (https://creativecommons.org/licenses/by/4.0/).
Share and Cite
Wang, X.; He, Q.; An, Z.; Liu, G.; Wen, X.; Wang, Y.; Zhong, Z. Experimental Study of Perfobond Rib Shear Connector under Lateral Force. Appl. Sci. 2021, 11, 9088. https://doi.org/10.3390/app11199088
Wang X, He Q, An Z, Liu G, Wen X, Wang Y, Zhong Z. Experimental Study of Perfobond Rib Shear Connector under Lateral Force. Applied Sciences. 2021; 11(19):9088. https://doi.org/10.3390/app11199088
Chicago/Turabian StyleWang, Xuewei, Qiuxia He, Zhiwen An, Guojun Liu, Xingke Wen, Yongqiang Wang, and Zhenxiao Zhong. 2021. "Experimental Study of Perfobond Rib Shear Connector under Lateral Force" Applied Sciences 11, no. 19: 9088. https://doi.org/10.3390/app11199088
APA StyleWang, X., He, Q., An, Z., Liu, G., Wen, X., Wang, Y., & Zhong, Z. (2021). Experimental Study of Perfobond Rib Shear Connector under Lateral Force. Applied Sciences, 11(19), 9088. https://doi.org/10.3390/app11199088
