Coincidence Detection of EELS and EDX Spectral Events in the Electron Microscope
Abstract
:1. Introduction
2. Methods
3. Theoretical Description
4. Results and Discussion
4.1. Collection Efficiency EELS and EDX
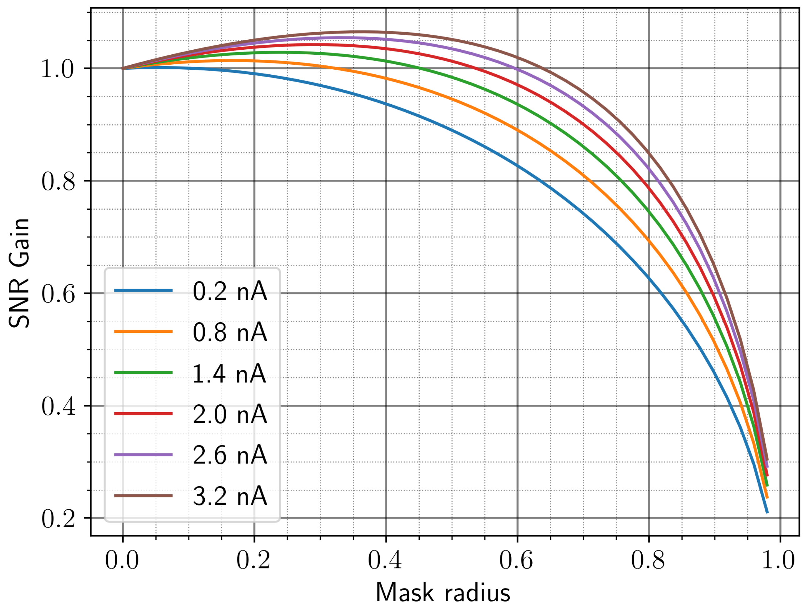
4.2. Influence of Beam Current
4.3. EELS Background Subtraction
4.4. EDX Background Subtraction
4.5. Low Concentration Detection
4.6. Limit on the Time Resolution
5. Conclusions and Outlook
Author Contributions
Funding
Data Availability Statement
Acknowledgments
Conflicts of Interest
Appendix A. Signal-to-Noise for EELS and EDX
Appendix B. Parameters Low Concentration Detection
| C | C | [ns] | ||||
|---|---|---|---|---|---|---|
| 3.75 × 10 | 3C | 0.2 | 0.05 | 400 | 0.042 | 0.05 C |
Appendix C. Parameters Masking Detector Area
| C | C | [ns] | [ns] | |||||
|---|---|---|---|---|---|---|---|---|
| 3.75 × 10 | 3C | 0.2 | 0.05 | 400 | 30 | 0.042 | C | 0.05 C |
References
- Bolić, M.; Drndarević, V. Digital gamma-ray spectroscopy based on FPGA technology. Nucl. Instrum. Methods Phys. Res. Sect. A 2002, 482, 761–766. [Google Scholar] [CrossRef]
- Arnold, L.; Baumann, R.; Chambit, E.; Filliger, M.; Fuchs, C.; Kieber, C.; Klein, D.; Medina, P.; Parisel, C.; Richer, M.; et al. TNT digital pulse processor. IEEE Trans. Nucl. Sci. 2006, 53, 723–728. [Google Scholar] [CrossRef]
- Papp, T.; Maxwell, J. A robust digital signal processor: Determining the true input rate. Nucl. Instrum. Methods Phys. Res. Sect. A 2010, 619, 89–93. [Google Scholar] [CrossRef]
- Akiba, K.; Artuso, M.; Badman, R.; Borgia, A.; Bates, R.; Bayer, F.; van Beuzekom, M.; Buytaert, J.; Cabruja, E.; Campbell, M.; et al. Charged particle tracking with the Timepix ASIC. Nucl. Instrum. Methods Phys. Res. Sect. A 2012, 661, 31–49. [Google Scholar] [CrossRef] [Green Version]
- Ballabriga, R.; Campbell, M.; Llopart, X. Asic developments for radiation imaging applications: The medipix and timepix family. Nucl. Instrum. Methods Phys. Res. Sect. A 2018, 878, 10–23. [Google Scholar] [CrossRef] [Green Version]
- Drescher, M.; Hentschel, M.; Kienberger, R.; Uiberacker, M.; Yakovlev, V.; Scrinzi, A.; Westerwalbesloh, T.; Kleineberg, U.; Heinzmann, U.; Krausz, F. Time-resolved atomic inner-shell spectroscopy. Nature 2002, 419, 803–807. [Google Scholar] [CrossRef]
- Nicolas, C.; Miron, C. Lifetime broadening of core-excited and -ionized states. J. Electron Spectrosc. Related Phenom. 2012, 185, 267–272. [Google Scholar] [CrossRef]
- Kruit, P.; Shuman, H.; Somlyo, A. Detection of X-rays and electron energy loss events in time coincidence. Ultramicroscopy 1984, 13, 205–213. [Google Scholar] [CrossRef]
- Oelsner, A.; Schmidt, O.; Schicketanz, M.; Klais, M.; Schönhense, G.; Mergel, V.; Jagutzki, O.; Schmidt-Böcking, H. Microspectroscopy and imaging using a delay line detector in time-of-flight photoemission microscopy. Rev. Sci. Instrum. 2001, 72, 3968–3974. [Google Scholar] [CrossRef]
- Müller-Caspary, K.; Oelsner, A.; Potapov, P. Two-dimensional strain mapping in semiconductors by nano-beam electron diffraction employing a delay-line detector. Appl. Phys. Lett. 2015, 107, 072110. [Google Scholar] [CrossRef]
- Jannis, D.; Müller-Caspary, K.; Béché, A.; Oelsner, A.; Verbeeck, J. Spectroscopic coincidence experiments in transmission electron microscopy. Appl. Phys. Lett. 2019, 114, 143101. [Google Scholar] [CrossRef] [Green Version]
- Gromov, V. Development and applications of the Timepix3 chip. In Proceedings of the 20th Anniversary International Workshop on Vertex Detectors—PoS(Vertex 2011), Lake Neusiedl, Austria, 19–24 June 2011; p. 46. [Google Scholar] [CrossRef]
- Zobelli, A.; Woo, S.Y.; Tararan, A.; Tizei, L.H.; Brun, N.; Li, X.; Stéphan, O.; Kociak, M.; Tencé, M. Spatial and Spectral Dynamics in STEM Hyperspectral Imaging Using Random Scan Patterns. Ultramicroscopy 2019, 212, 112912. [Google Scholar] [CrossRef] [Green Version]
- Harrach, H.S.v.; Dona, P.; Freitag, B.; Soltau, H.; Niculae, A.; Rohde, M. An integrated multiple silicon drift detector system for transmission electron microscopes. J. Phys. Conf. Ser. 2010, 241, 012015. [Google Scholar] [CrossRef]
- Bombelli, L.; Manotti, M.; Altissimo, M.; Kourousias, G.; Alberti, R.; Gianoncelli, A. Towards on-the-fly X-ray fluorescence mapping in the soft X-ray regime. X-ray Spectrom. 2019, 48, 325–329. [Google Scholar] [CrossRef]
- Jannis, D.; Hofer, C.; Gao, C.; Xie, X.; Béché, A.; Pennycook, T.J.; Verbeeck, J. Event Driven 4D STEM Acquisition with a Timepix3 Detector: Microsecond Dwell Time and Faster Scans for High Precision and Low Dose Applications. arXiv 2021, arXiv:2107.02864. [Google Scholar]
- Savitzky, B.H.; El Baggari, I.; Clement, C.B.; Waite, E.; Goodge, B.H.; Baek, D.J.; Sheckelton, J.P.; Pasco, C.; Nair, H.; Schreiber, N.J.; et al. Image registration of low signal-to-noise cryo-STEM data. Ultramicroscopy 2018, 191, 56–65. [Google Scholar] [CrossRef] [Green Version]
- Jannis, D.; Müller-Caspary, K.; Béché, A.; Verbeeck, J. Coincidence Detection of EELS and EDX Spectral Events in the Electron Microscope. Zenodo 2021. [Google Scholar] [CrossRef]
- Egerton, R.F. Electron Energy-Loss Spectroscopy in the Electron Microscope, 3rd ed.; Springer: Berlin, Germany, 2011. [Google Scholar]
- Zemyan, S.M.; Williams, D.B. Standard performance criteria for analytical electron microscopy. J. Microsc. 1994, 174, 1–14. [Google Scholar] [CrossRef]
- Williams, D.B.; Carter, C.B. Transmission Electron Microscopy: A Textbook for Materials Science, 2nd ed.; Springer: Berlin, Germany, 2009. [Google Scholar]
- Ding, L.; Jia, Z.; Nie, J.F.; Weng, Y.; Cao, L.; Chen, H.; Wu, X.; Liu, Q. The structural and compositional evolution of precipitates in Al-Mg-Si-Cu alloy. Acta Mater. 2018, 145, 437–450. [Google Scholar] [CrossRef]
- Brown, R.H.; Twiss, R. LXXIV. A new type of interferometer for use in radio astronomy. Lond. Edinb. Dublin Philos. Mag. J. Sci. 1954, 45, 663–682. [Google Scholar] [CrossRef]
- Chandra, N.; Prakash, H. Anticorrelation in Two-Photon Attenuated Laser Beam. Phys. Rev. A 1970, 1, 1696–1698. [Google Scholar] [CrossRef]
- Paul, H. Photon antibunching. Rev. Mod. Phys. 1982, 54, 1061–1102. [Google Scholar] [CrossRef]
- Kraxner, J.; Schäfer, M.; Röschel, O.; Kothleitner, G.; Haberfehlner, G.; Paller, M.; Grogger, W. Quantitative EDXS: Influence of geometry on a four detector system. Ultramicroscopy 2017, 172, 30–39. [Google Scholar] [CrossRef]
- de la Pena, F.; Prestat, E.; Fauske, V.T.; Burdet, P.; Jokubauskas, P.; Nord, M.; Ostasevicius, T.; MacArthur, K.E.; Sarahan, M.; Johnstone, D.N.; et al. Hyperspy/Hyperspy: HyperSpy v1.5.2. Zenodo 2019. [Google Scholar] [CrossRef]
- Campbell, J.L.; Cauchon, G.; Lakatos, T.; Lépy, M.C.; McDonald, L.; Papp, T.; Plagnard, J.; Stemmler, P.; Teesdale, W.J. Experimental K-shell fluorescence yield of silicon. J. Phys. B At. Mol. Opt. Phys. 1998, 31, 4765–4779. [Google Scholar] [CrossRef]
- Tenailleau, H.; Martin, J.M. A new background subtraction for low-energy EELS core edges. J. Microsc. 1992, 166, 297–306. [Google Scholar] [CrossRef]
- Graham, R.J.; Spence, J.; Alexander, H. Infrared Cathodoluminescence Studies from Dislocations in Silicon in tem, a Fourier Transform Spectrometer for Cl in Tem and Els/cl Coincidence Measurements of Lifetimes in Semiconductors. MRS Proc. 1986, 82, 235. [Google Scholar] [CrossRef]
- Ingamells, C.O.; Fox, J.J. Deconvolution of energy-dispersive X-ray peaks using the poisson probability function. X-ray Spectrom. 1979, 8, 79–84. [Google Scholar] [CrossRef]
- Brodusch, N.; Zaghib, K.; Gauvin, R. Improvement of the energy resolution of energy dispersive spectrometers (EDS) using Richardson–Lucy deconvolution. Ultramicroscopy 2020, 209, 112886. [Google Scholar] [CrossRef]
- Shuman, H.; Somlyo, A. Electron energy loss analysis of near-trace-element concentrations of calcium. Ultramicroscopy 1987, 21, 23–32. [Google Scholar] [CrossRef]
- Egerton, R. A revised expression for signal/noise ratio in EELS. Ultramicroscopy 1982, 9, 387–390. [Google Scholar] [CrossRef]
- Hofer, F.; Grogger, W.; Kothleitner, G.; Warbichler, P. Quantitative analysis of EFTEM elemental distribution images. Ultramicroscopy 1997, 67, 83–103. [Google Scholar] [CrossRef]
- Egerton, R.; Malac, M. Improved background-fitting algorithms for ionization edges in electron energy-loss spectra. Ultramicroscopy 2002, 92, 47–56. [Google Scholar] [CrossRef]
- Fung, K.L.; Fay, M.W.; Collins, S.M.; Kepaptsoglou, D.M.; Skowron, S.T.; Ramasse, Q.M.; Khlobystov, A.N. Accurate EELS background subtraction—An adaptable method in MATLAB. Ultramicroscopy 2020, 217, 113052. [Google Scholar] [CrossRef]
- Gatti, E.; Rehak, P. Semiconductor drift chamber—An application of a novel charge transport scheme. Nucl. Instrum. Methods Phys. Res. 1984, 225, 608–614. [Google Scholar] [CrossRef] [Green Version]
- Knoll, G.F. Radiation Detection and Measurement, 4th ed.; John Wiley: Hoboken, NJ, USA, 2010. [Google Scholar]
- Ottaviani, G.; Reggiani, L.; Canali, C.; Nava, F.; Alberigi-Quaranta, A. Hole drift velocity in silicon. Phys. Rev. B 1975, 12, 3318–3329. [Google Scholar] [CrossRef]
- Gao, T.; Via, C.D.; Bergmann, B.; Burian, P.; Pospisil, S. Characterisation of Timepix3 with 3D sensor. J. Inst. 2018, 13, C12021. [Google Scholar] [CrossRef] [Green Version]
- van Schayck, J.P.; van Genderen, E.; Maddox, E.; Roussel, L.; Boulanger, H.; Fröjdh, E.; Abrahams, J.P.; Peters, P.J.; Ravelli, R.B. Sub-pixel electron detection using a convolutional neural network. Ultramicroscopy 2020, 218, 113091. [Google Scholar] [CrossRef]
- Förster, A.; Brandstetter, S.; Schulze-Briese, C. Transforming X-ray detection with hybrid photon counting detectors. Phil. Trans. R. Soc. A. 2021, 377, 20180241. [Google Scholar] [CrossRef]










Publisher’s Note: MDPI stays neutral with regard to jurisdictional claims in published maps and institutional affiliations. |
© 2021 by the authors. Licensee MDPI, Basel, Switzerland. This article is an open access article distributed under the terms and conditions of the Creative Commons Attribution (CC BY) license (https://creativecommons.org/licenses/by/4.0/).
Share and Cite
Jannis, D.; Müller-Caspary, K.; Béché, A.; Verbeeck, J. Coincidence Detection of EELS and EDX Spectral Events in the Electron Microscope. Appl. Sci. 2021, 11, 9058. https://doi.org/10.3390/app11199058
Jannis D, Müller-Caspary K, Béché A, Verbeeck J. Coincidence Detection of EELS and EDX Spectral Events in the Electron Microscope. Applied Sciences. 2021; 11(19):9058. https://doi.org/10.3390/app11199058
Chicago/Turabian StyleJannis, Daen, Knut Müller-Caspary, Armand Béché, and Jo Verbeeck. 2021. "Coincidence Detection of EELS and EDX Spectral Events in the Electron Microscope" Applied Sciences 11, no. 19: 9058. https://doi.org/10.3390/app11199058
APA StyleJannis, D., Müller-Caspary, K., Béché, A., & Verbeeck, J. (2021). Coincidence Detection of EELS and EDX Spectral Events in the Electron Microscope. Applied Sciences, 11(19), 9058. https://doi.org/10.3390/app11199058

