A Compact Sequentially Rotated Circularly Polarized Dielectric Resonator Antenna Array
Abstract
:1. Introduction
2. Resonating Element
2.1. Elliptical Slot
2.2. Rectangular Dielectric Resonator
3. Array Feeding Topology
4. Measurement Results and Discussions
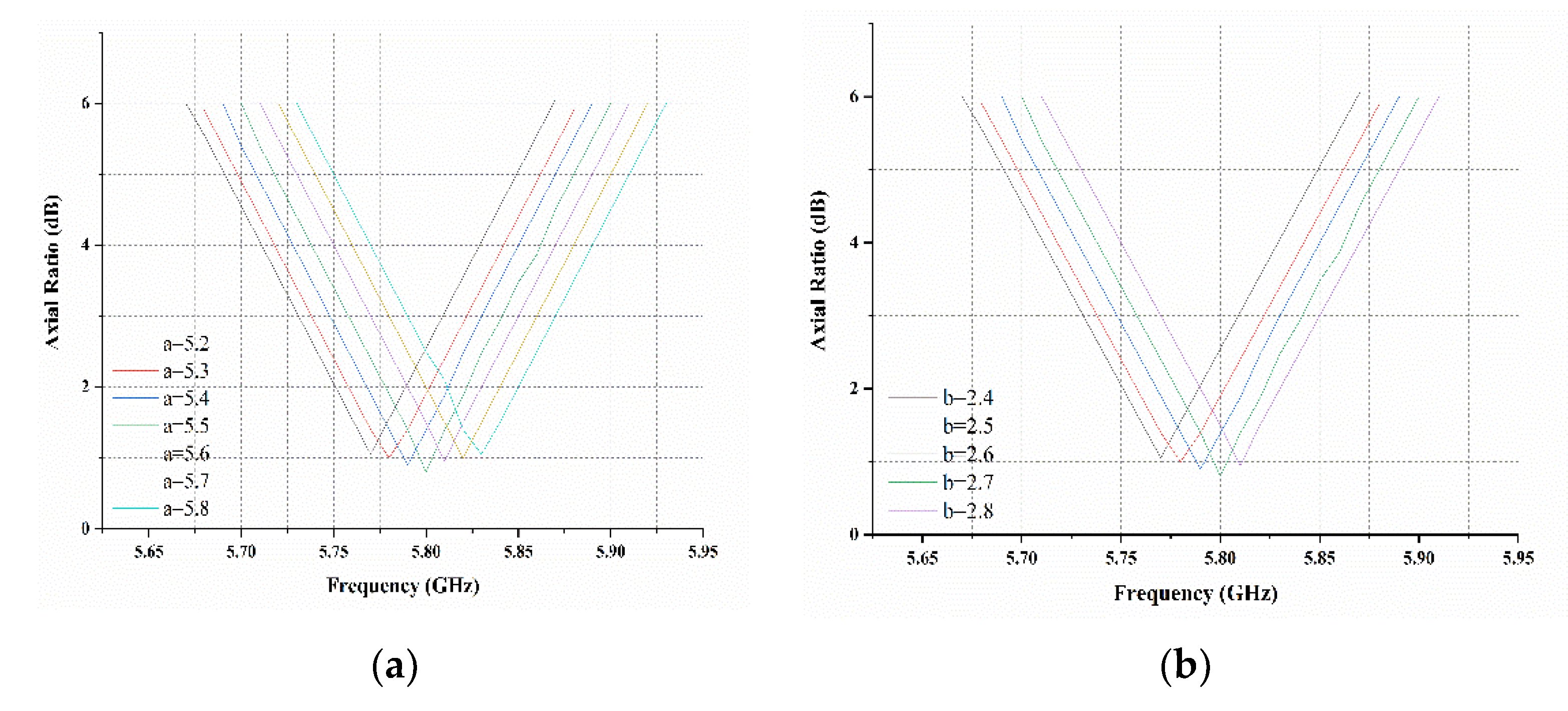
4.1. Single Element Parametric Study
4.2. SR 2 × 2 Array Results
5. Conclusions
Author Contributions
Funding
Institutional Review Board Statement
Informed Consent Statement
Data Availability Statement
Conflicts of Interest
References
- Long, S.A.; McAllister, M.W.; Shen, L.C. The resonant cylindrical dielectric cavity antenna. IEEE Trans. Antennas Propag. 1983, 31, 406–412. [Google Scholar] [CrossRef]
- Junker, G.P.; Kishk, A.A.; Glisson, A.W. Input impedance of dielectric resonator antennas excited by a coaxial probe. IEEE Trans. Antennas Propag. 1994, 42, 960–966. [Google Scholar] [CrossRef]
- Martin, J.T.; Antar, Y.M.; Kishk, A.A.; Ittipiboon, A.; Cuhaci, M. Dielectric resonator antenna using aperture coupling. Electron. Lett. 1990, 26, 2015–2016. [Google Scholar] [CrossRef]
- Simons, R.N.; Lee, R.Q. Effect of parasitic dielectric resonator onCPW/aperture-coupled dielectric resonator antenna. Proc. Inst. Elect. Eng. Microw. Antennas Propag. 1993, 140, 336–338. [Google Scholar] [CrossRef]
- Lam, H.Y.; Leung, K.W. Analysis of U-slot-excited dielectric resonator antennas with a backing cavity. Proc. Inst. IEE Proc. Microw. Antennas Propag. 2006, 153, 480–482. [Google Scholar] [CrossRef]
- Lim, B. Dielectric Resonator Antennas: Theory and Design. Master’s Thesis, Massachusetts Institute of Technology, Cambridge, MA, USA, 1999. [Google Scholar]
- Petosa, A.; Ittipiboon, A.; Cuhaci, M. Array of circular-polarized cross dielectric resonator antennas. Electron. Lett. 1999, 32, 1742–1743. [Google Scholar] [CrossRef]
- Pang, K.K.; Lo, H.Y.; Leung, K.W.; Luk, K.M.; Yung, E.K. Circularly polarized dielectric resonator antenna subarrays. Microw. Opt. Technol. Lett. 2000, 27, 377–379. [Google Scholar] [CrossRef]
- Laisné, A.; Gillard, R.; Piton, G. Circularly polarised dielectric resonator antenna with metallic strip. Electron. Lett. 2002, 38, 106–107. [Google Scholar] [CrossRef]
- Kishk, A.A. Application of rotated sequential feeding for circular polarization bandwidth enhancement of planar arrays with single-fed DRA elements. In Proceedings of the IEEE Antennas and Propagation Society International Symposium, Columbus, OH, USA, 22–27 June 2003; pp. 664–667. [Google Scholar]
- Yang, S.S.; Chair, R.; Kishk, A.A.; Lee, K.F.; Luk, K.M. Study on sequential feeding networks for subarrays of circularly polarized elliptical dielectric resonator antenna. IEEE Trans. Antennas Propag. 2007, 55, 321–333. [Google Scholar] [CrossRef]
- Lin, J.H.; Shen, W.H.; Shi, Z.D. Circularly polarized dielectric resonator antenna arrays with fractal cross-slot-coupled DRA elements. Int. J. Antennas Propag. 2017, 2017, 1–11. [Google Scholar] [CrossRef]
- Raheja, D.K.; Kanaujia, B.K. Design and analysis of elliptical slot loaded microstrip antenna for C-Band communication. In Proceedings of the 3rd International Conference on Computing for Sustainable Global Development (INDIACom), New Delhi, India, 16–18 March 2016. [Google Scholar]
- Liang, S.L. The elliptical microstrip antenna with circular polarization. IEEE Trans. Antennas Propag. 1981, 29, 90–94. [Google Scholar] [CrossRef]
- Bailey, M.; Deshpande, M. Analysis of elliptical and circular microstrip antennas using moment method. IEEE Trans. Antennas Propag. 1985, 33, 954–959. [Google Scholar] [CrossRef]
- Kretzschmar, J.G. Wave propagation in hollow conducting elliptical waveguides. IEEE Trans. Microw. Theor. Tech. 1970, 18, 547–554. [Google Scholar] [CrossRef]
- Mongia, R.K.; Ittipiboon, A. Theoretical and experimental investigations on rectangular dielectric resonator antennas. IEEE Trans. Antennas Propag. 1997, 45, 1348–1356. [Google Scholar] [CrossRef]
- Lukui, J.; Lee, R.; Robertson, I. A dielectric resonator antenna array using dielectric insular image guide. IEEE Trans. Antennas Propag. 2014, 63, 859–862. [Google Scholar]
- Legier, J.F.; Kennis, P.; Toutain, S.; Citerne, J. Resonant frequencies of rectangular electric resonators. IEEE Trans. Microw. Theor. Tech. 1980, 28, 1031–1034. [Google Scholar] [CrossRef]
- Ittibipoon, A.; Mongia, R.K.; Cuhaci, M. Low profiled electric resonator antennas using a very high permittivity material. Electron. Lett. 1994, 30, 1362–1363. [Google Scholar]
- Jacobsen, R.E.; Lavrinenko, A.V.; Arslanagić, S. A Water-Based Huygens Dielectric Resonator Antenna. IEEE Open J. Antennas Propag. 2020, 1, 493–499. [Google Scholar] [CrossRef]















| Transformer Element | Width [mm] | Characteristic Impedance [Ω] |
|---|---|---|
| Z0 | 1.898 | 50 |
| Z1 | 1.77 | 52.21 |
| Z2 | 1.32 | 62.09 |
| Z3 | 0.796 | 80.52 |
| Z4 | 0.539 | 95.75 |
| Z Load | 0.483 | 100 |
Publisher’s Note: MDPI stays neutral with regard to jurisdictional claims in published maps and institutional affiliations. |
© 2021 by the authors. Licensee MDPI, Basel, Switzerland. This article is an open access article distributed under the terms and conditions of the Creative Commons Attribution (CC BY) license (https://creativecommons.org/licenses/by/4.0/).
Share and Cite
Qasaymeh, Y.; Almuhaisen, A.; Alghamdi, A.S. A Compact Sequentially Rotated Circularly Polarized Dielectric Resonator Antenna Array. Appl. Sci. 2021, 11, 8779. https://doi.org/10.3390/app11188779
Qasaymeh Y, Almuhaisen A, Alghamdi AS. A Compact Sequentially Rotated Circularly Polarized Dielectric Resonator Antenna Array. Applied Sciences. 2021; 11(18):8779. https://doi.org/10.3390/app11188779
Chicago/Turabian StyleQasaymeh, Yazeed, Abdullah Almuhaisen, and Ali S. Alghamdi. 2021. "A Compact Sequentially Rotated Circularly Polarized Dielectric Resonator Antenna Array" Applied Sciences 11, no. 18: 8779. https://doi.org/10.3390/app11188779
APA StyleQasaymeh, Y., Almuhaisen, A., & Alghamdi, A. S. (2021). A Compact Sequentially Rotated Circularly Polarized Dielectric Resonator Antenna Array. Applied Sciences, 11(18), 8779. https://doi.org/10.3390/app11188779

