Wind Characteristics in Mountainous Valleys Obtained through Field Measurement
Abstract
:Featured Application
Abstract
1. Introduction
2. Materials and Methods
3. Results
3.1. Mean Characteristics
3.1.1. Wind Direction for Mean Wind Speed
3.1.2. Wind Profile
3.1.3. Wind Attack Angle at Mean Wind Speed
3.2. Turbulence Characteristics
3.2.1. Turbulence Intensity
3.2.2. Gust Factor
3.2.3. Correlation between Turbulence Intensity and Gust Factor
3.2.4. Wind Power Spectrum
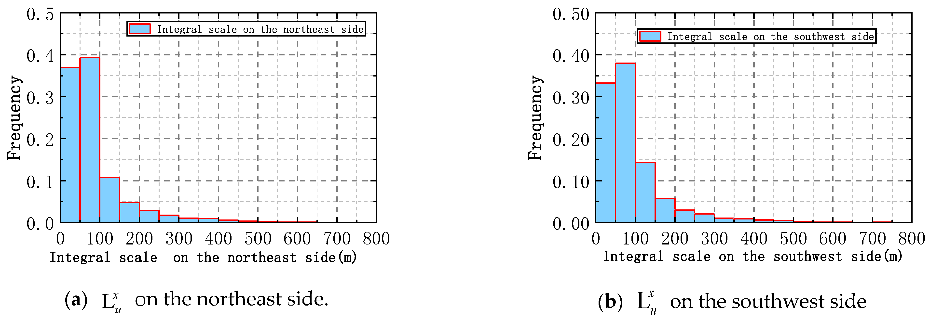
3.2.5. Turbulence Integral Scale
4. Conclusions
- (1).
- The results indicate that the wind profile index α is about 0.21, and the measuring locations are near the gentle hilly terrain. According to the Chinese specifications, the surface roughness coefficient for this terrain is 0.22, which is close to the measured value of 0.21. However, due to the influence of the complex topography of the area, the wind profile index α cannot fully indicate the surface roughness of the area. As shown in Figure 5, the wind profile data were divided into six forms. This does not match the exponential law. The distribution of wind attack angle in the measured low-altitude range is discrete, even reaching 20°, which is much larger than the ±3° recommended by the specifications. The frequency of negative wind attack angle is greater than that of positive wind attack angle. As height increases, the tendency toward negative tapping angles becomes more obvious. There is a strong correlation between the wind speed profile and the wind direction angle in the observed area. The distribution of wind speed with height in the main wind direction (NW) is well in accordance with the exponential law, while the distribution of wind profile data in other directions is disorganized and irregular.
- (2).
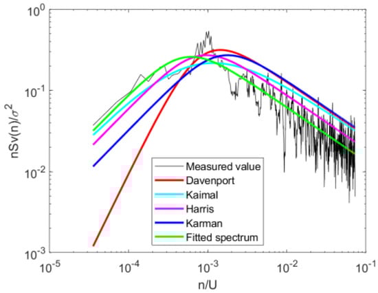
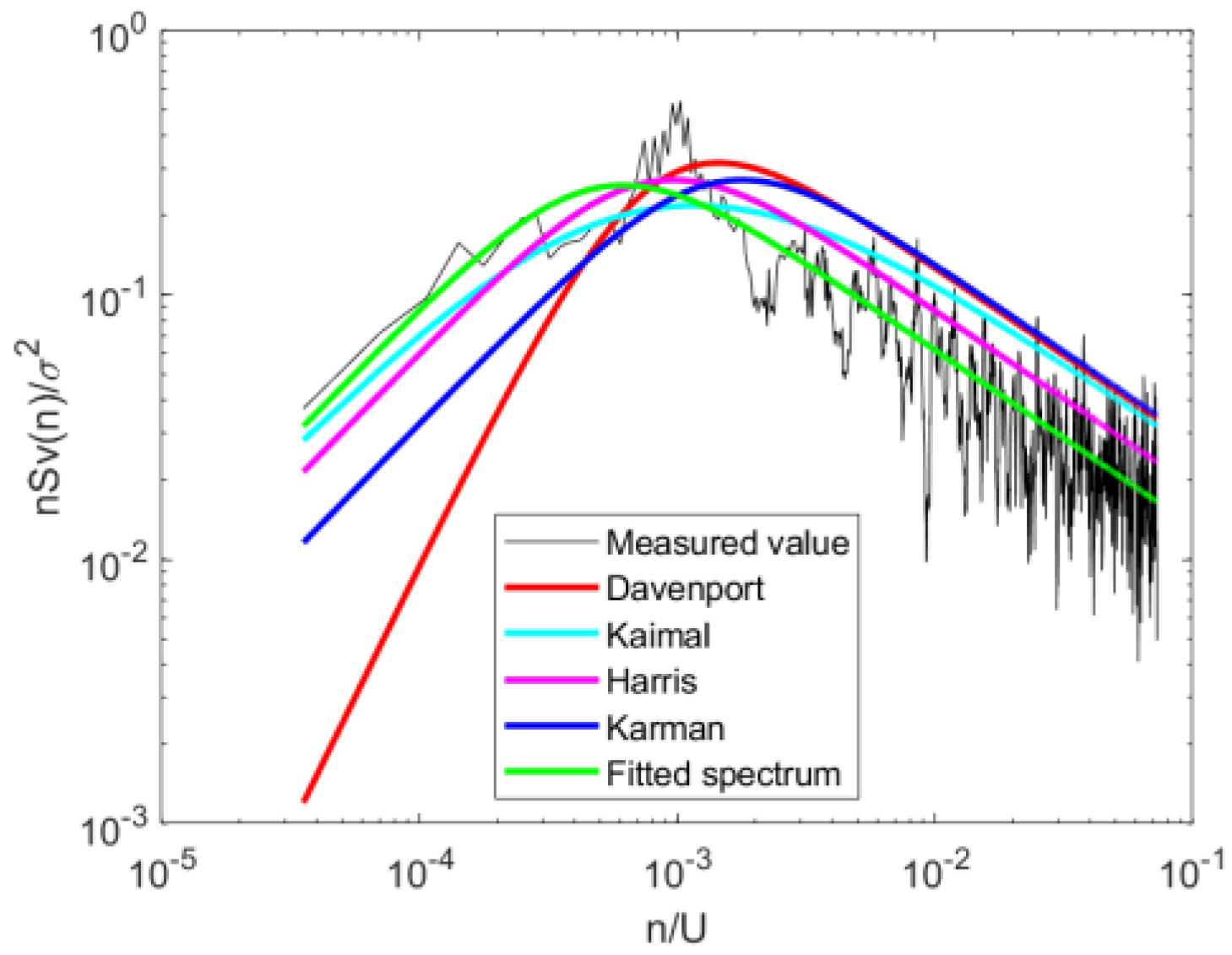
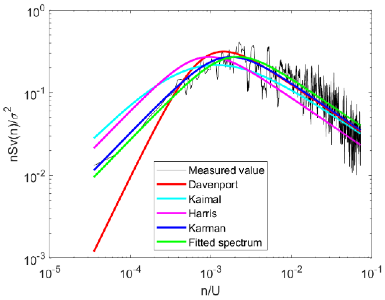
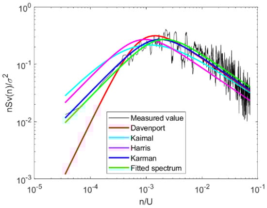
- The downwind turbulence intensity degree Iu on both sides of the river channel is about 13%, slightly greater than the 12% recommended value in the norm. However, the ratio of crosswind and downwind turbulence intensity Iv/Iu is 0.46, only 52% of the recommended value of the specification (0.88). This may be due to the topography resulting in the main wind direction (NW and WNW), accounting for a larger component of the incoming wind direction, which in turn results in a reduced degree of crosswind pulsation. We found a strong linear correlation between the gust factor Gu and the turbulence Iu during the observation period, with Gu increasing with the increase in Iu. There is a high turbulent component in the incoming wind velocity in these areas. The high-frequency energy is relatively large, while the low-frequency energy is relatively small. The existing empirical spectra do not provide an accurate description of the measured spectrum. Therefore, the Von Karman spectrum was used to fit the spectrum expressions with good applicability to the wind characteristics.
- (3).
- The turbulence integral scale on both sides of the river is relatively close, with a statistical mean value of 90 m. Almost half of the sample values had an value between 50 and 100 m.
- (4).
- According to the above analysis results, it can also be seen that the study of the wind characteristics of particular terrain requires special analysis and discussion. The conclusions drawn can then guide the design of the bridges.
Author Contributions
Funding
Institutional Review Board Statement
Informed Consent Statement
Conflicts of Interest
References
- Davenport, A.G. Past, present and future of wind engineering. J. Wind Eng. Ind. Aerodyn. 2002, 90, 1371–1380. [Google Scholar] [CrossRef]
- Jackson, P.S.; Hunt, J.C.R. Turbulent wind flow over a low hill. Q. J. R. Meteorol. Soc. 1975, 101, 929–955. [Google Scholar] [CrossRef]
- Teunissen, H.W. Wind-tunnel and full-scale comparisons of mean wind flow over an isolated low hill. J. Wind Eng. Ind. Aerodyn. 1983, 15, 271–286. [Google Scholar] [CrossRef]
- Bowen, A.J. The prediction of mean wind speed above simple 2D hill shapes. J. Wind Eng. Ind. Aerodyn. 1983, 15, 259–270. [Google Scholar] [CrossRef]
- Carpenter, P.; Locke, N. Investigation of wind speeds over multiple two-dimensional hills. J. Wind Eng. Ind. Aerodyn. 1999, 83, 109–120. [Google Scholar] [CrossRef]
- Kossmann, M.; Vögtlin, R.; Corsmeier, U.; Vogel, B.; Fiedler, F.; Binder, H.-J.; Kalthoff, N.; Beyrich, F. Aspects of the convective boundary layer structure over complex terrain. Atmos. Environ. 1998, 32, 1323–1348. [Google Scholar] [CrossRef]
- Raupach, M.R.; Finnigan, J.J. The influence of topography on meteorogical variables and surface-atmosphere interactions. J. Hydrol. 1997, 190, 182–213. [Google Scholar] [CrossRef]
- Xu, H.; He, Y.; Liao, H.; Ma, C.; Xian, R. Experimental study of a wind field in a long-span bridge site located in mountainous valley terrain. J. Highw. Transp. Res. Dev. (Engl. Ed.) 2013, 7, 44–50. [Google Scholar] [CrossRef]
- Gong, W.; Ibbetson, A. A wind tunnel study of turbulent flow over model hills. Bound.-Layer Meteorol. 1989, 49, 113–148. [Google Scholar] [CrossRef]
- Cao, S.; Tamura, T. Experimental study on roughness effects on turbulent boundary layer flow over a two-dimensional steep hill. J. Wind Eng. Ind. Aerodyn. 2006, 94, 1–19. [Google Scholar] [CrossRef]
- Liu, J.; Hui, Y.; Yang, Q.; Tamura, Y. Flow field investigation for aerodynamic effects of surface mounted ribs on square-sectioned high-rise buildings. J. Wind Eng. Ind. Aerodyn. 2021, 211, 104551. [Google Scholar] [CrossRef]
- Maurizi, A.; Palma, J.; Castro, F.A. Numerical simulation of the atmospheric flow in a mountainous region of the North of Portugal. J. Wind Eng. Ind. Aerodyn. 1998, 74, 219–228. [Google Scholar] [CrossRef]
- Burlando, M.; de Gaetano, P.; Pizzo, M.; Repetto, M.P.; Solari, G.; Tizzi, M. Wind climate analysis in complex terrains. J. Wind Eng. Ind. Aerodyn. 2013, 123, 349–362. [Google Scholar] [CrossRef]
- He, J.; Song, C.C.S. Evaluation of pedestrian winds in urban area by numerical approach. J. Wind Eng. Ind. Aerodyn. 1999, 81, 295–309. [Google Scholar] [CrossRef]
- Ren, H.; Laima, S.; Chen, W.-L.; Zhang, B.; Guo, A.; Li, H. Numerical simulation and prediction of spatial wind field under complex terrain. J. Wind Eng. Ind. Aerodyn. 2018, 180, 49–65. [Google Scholar] [CrossRef]
- Jubayer, C.M.; Hangan, H. A hybrid approach for evaluating wind flow over a complex terrain. J. Wind Eng. Ind. Aerodyn. 2018, 175, 65–76. [Google Scholar] [CrossRef]
- Liu, J.; Hui, Y.; Wang, J.; Yang, Q. LES study of windward-face-mounted-ribs’ effects on flow fields and aerodynamic forces on a square cylinder. Build. Environ. 2021, 200, 107950. [Google Scholar] [CrossRef]
- Davenport, A.G. The spectrum of horizontal gustiness near the ground in high winds. Q. J. R. Meteorol. Soc. 1961, 87, 194–211. [Google Scholar] [CrossRef]
- Davenport, A.G. The relationship of reliability to wind loading. J. Wind Eng. Ind. Aerodyn. 1983, 13, 3–27. [Google Scholar] [CrossRef]
- Thomas, P.; Vogt, S. Variances of the vertical and horizontal wind measured by tower instruments and SODAR. Appl. Phys. B Photophys. Laser Chem. 1993, 57, 19–26. [Google Scholar] [CrossRef]
- Vogt, S.; Thomas, P. SODAR—A useful remote sounder to measure wind and turbulence. J. Wind Eng. Ind. Aerodyn. 1995, 54, 163–172. [Google Scholar] [CrossRef]
- Ito, Y.; Naganuma, T.; Kodama, R.; Hanafusa, T.; Sato, J.; Kobayashi, T.; Takeuchi, K.; Suzuki, T. Wind measurements using a Doppler sodar. Wind Eng. JAWE 1996, 1996, 33–38. [Google Scholar] [CrossRef]
- Hayashida, H.; Fukao, S.; Kobayashi, T.; Nirasawa, H.; Mataki, Y.; Ohtake, K.; Kikuchi, M. Remote sensing of wind velocity by boundary layer radar. Wind Eng. JAWE 1996, 1996, 39–42. [Google Scholar] [CrossRef]
- Powell, M.D.; Black, P.G.; Houston, S.H.; Reinhold, T.A. GPS Sonde Insights on Boundary Layer Structure in Hurricanes. In Proceedings of the 23rd Conference on Hurricanes and Tropical Meteorology, Dallas, TX, USA, 10–15 January 1999. [Google Scholar]
- Tamura, Y.; Iwatani, Y.; Hibi, K.; Suda, K.; Nakamura, O.; Maruyama, T.; Ishibashi, R. Profiles of mean wind speeds and vertical turbulence intensities measured at seashore and two inland sites using Doppler sodars. J. Wind Eng. Ind. Aerodyn. 2007, 95, 411–427. [Google Scholar] [CrossRef]
- Toriumi, R.; Katsuchi, H.; Furuya, N. A study on spatial correlation of natural wind. J. Wind Eng. Ind. Aerodyn. 2000, 87, 203–216. [Google Scholar] [CrossRef]
- Masters, F.J.; Tieleman, H.W.; Balderrama, J.A. Surface wind measurements in three Gulf Coast hurricanes of 2005. J. Wind Eng. Ind. Aerodyn. 2010, 98, 533–547. [Google Scholar] [CrossRef]
- Fenerci, A.; Øiseth, O.; Rønnquist, A. Long-term monitoring of wind field characteristics and dynamic response of a long-span suspension bridge in complex terrain. Eng. Struct. 2017, 147, 269–284. [Google Scholar] [CrossRef]
- Chaurasiya, P.K.; Ahmed, S.; Warudkar, V. Wind characteristics observation using Doppler-SODAR for wind energy applications. Resour.-Effic. Technol. 2017, 3, 495–505. [Google Scholar] [CrossRef]
- Baidar, S.; Bonin, T.; Choukulkar, A.; Brewer, A.; Hardesty, M. (Eds.) Observation of the Urban Wind Island Effect; EDP Sciences: Les Ulis, France, 2020. [Google Scholar]
- Jing, H.; Liao, H.; Ma, C.; Tao, Q.; Jiang, J. Field measurement study of wind characteristics at different measuring positions in a mountainous valley. Exp. Therm. Fluid Sci. 2020, 112, 109991. [Google Scholar] [CrossRef]
- Wang, H.; Guo, T.; Tao, T.-Y.; Li, A.-Q. Study on wind characteristics of runyang suspension bridge based on long-term monitored data. Int. J. Struct. Stab. Dyn. 2016, 16, 1640019. [Google Scholar] [CrossRef]
- Zhou, Y.; Sun, L.; Xie, M. Wind characteristics at a long-span sea-crossing bridge site based on monitoring data. J. Low Freq. Noise Vib. Act. Control 2020, 39, 453–469. [Google Scholar] [CrossRef]
- Zhang, S.; Yang, Q.; Solari, G.; Li, B.; Huang, G. Characteristics of thunderstorm outflows in Beijing urban area. J. Wind Eng. Ind. Aerodyn. 2019, 195, 104011. [Google Scholar] [CrossRef]
- Yu, C.; Li, Y.; Zhang, M.; Zhang, Y.; Zhai, G. Wind characteristics along a bridge catwalk in a deep-cutting gorge from field measurements. J. Wind Eng. Ind. Aerodyn. 2019, 186, 94–104. [Google Scholar] [CrossRef]
- Wind-Resistant Design Specification for Highway Bridges; JTG/T 3360-01-2018; Ministry of Communications of the People’s Republic of China: Beijing, China, 2018.


































| Observation Place | Measuring Point Location | Height of Measuring Point or Measuring Range | Instrument Model | Sampling Frequency or Transmitting Frequency |
|---|---|---|---|---|
| Bridge site | Measuring point 1 | 33 m | 2D ultrasonic anemometer | 4 Hz |
| Measuring point 2 | 33 m | 2D ultrasonic anemometer | 4 Hz | |
| Measuring point 3 | 30~200 m | 3D Doppler radar | 4504 Hz |
| Wind Speed Range (m/s) | [4,6] | [6,8] | [8,10] | [10,12] | [12,14] | [14,16] | [16,18] | [18,20] |
|---|---|---|---|---|---|---|---|---|
| Iv/Iu interval on the northeast side | 0.22~0.60 | 0.22~0.86 | 0.25~1.09 | 0.30~0.92 | 0.31~0.85 | 0.38~0.86 | 0.40~0.82 | 0.78~0.78 |
| Mean value of Iv/Iu on the northeast side | 0.36 | 0.48 | 0.5 | 0.52 | 0.53 | 0.55 | 0.61 | 0.78 |
| Iv/Iu interval on the southwest side | --- | 0.27~0.91 | 0.29~1.00 | 0.25~0.79 | 0.30~0.67 | 0.29~0.50 | 0.3~0.48 | 0.29~0.42 |
| Mean value of Iv/Iu on the southwest side | --- | 0.48 | 0.46 | 0.44 | 0.42 | 0.41 | 0.37 | 0.36 |
| Integral Scale (m) | Northeast Side Frequency | Southwest Side Frequency | Integral Scale (m) | Northeast Side Frequency | Southwest Side Frequency |
|---|---|---|---|---|---|
| [0–50] | 36.99 | 33.26 | [400–450] | 0.56 | 0.65 |
| [50–100] | 39.29 | 37.95 | [450–500] | 0.39 | 0.48 |
| [100–150] | 10.78 | 14.33 | [500–550] | 0.17 | 0.22 |
| [150–200] | 4.78 | 5.78 | [550–600] | 0.11 | 0.09 |
| [200–250] | 2.96 | 3.00 | [600–650] | 0.11 | 0.13 |
| [250–300] | 1.75 | 2.04 | [650–700] | 0.07 | 0.00 |
| [300–350] | 1.03 | 1.04 | [700–750] | 0.05 | 0.09 |
| [350–400] | 0.92 | 0.87 | [750–800] | 0.03 | 0.04 |
Publisher’s Note: MDPI stays neutral with regard to jurisdictional claims in published maps and institutional affiliations. |
© 2021 by the authors. Licensee MDPI, Basel, Switzerland. This article is an open access article distributed under the terms and conditions of the Creative Commons Attribution (CC BY) license (https://creativecommons.org/licenses/by/4.0/).
Share and Cite
Wang, F.; Chen, X.; He, R.; Liu, Y.; Hao, J.; Li, J. Wind Characteristics in Mountainous Valleys Obtained through Field Measurement. Appl. Sci. 2021, 11, 7717. https://doi.org/10.3390/app11167717
Wang F, Chen X, He R, Liu Y, Hao J, Li J. Wind Characteristics in Mountainous Valleys Obtained through Field Measurement. Applied Sciences. 2021; 11(16):7717. https://doi.org/10.3390/app11167717
Chicago/Turabian StyleWang, Feng, Xinming Chen, Rui He, Yan Liu, Jianming Hao, and Jiawu Li. 2021. "Wind Characteristics in Mountainous Valleys Obtained through Field Measurement" Applied Sciences 11, no. 16: 7717. https://doi.org/10.3390/app11167717
APA StyleWang, F., Chen, X., He, R., Liu, Y., Hao, J., & Li, J. (2021). Wind Characteristics in Mountainous Valleys Obtained through Field Measurement. Applied Sciences, 11(16), 7717. https://doi.org/10.3390/app11167717

