Study on Preparation of Superhydrophobic Surface by Selective Laser Melting and Corrosion Resistance
Abstract
1. Introduction
2. Experiments
2.1. Sample Preparation
2.2. Test Method and Procedure
3. Results and Discussion
3.1. Wettability Test Results
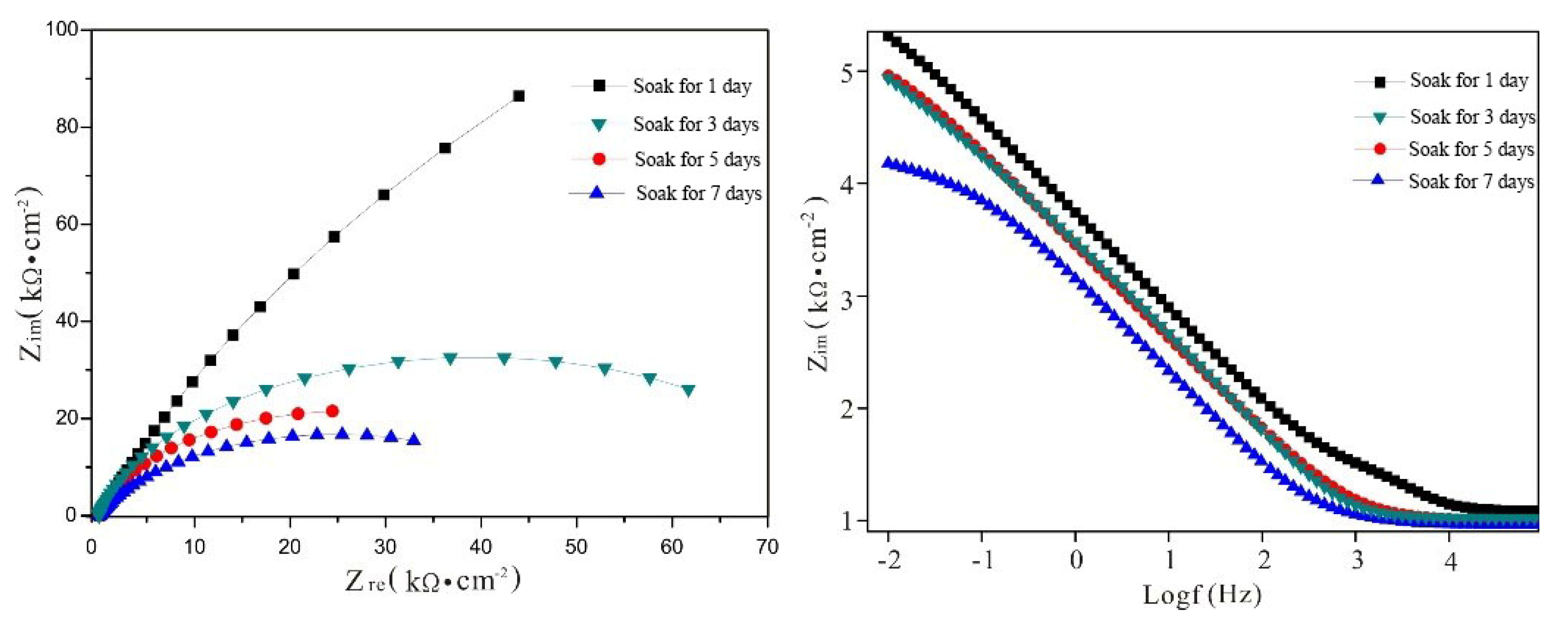
3.2. Comparison of Corrosion Resistance of Different Samples
4. Conclusions
Author Contributions
Funding
Institutional Review Board Statement
Informed Consent Statement
Data Availability Statement
Conflicts of Interest
References
- Naing, T.H.; Rachpech, V.; Janudom, S.; Mahathaninwong, N. Characterization of water-repellent and corrosion-resistant superhydrophobic surfaces on galvanized steel. J. Coat. Technol. Res. 2020, 17, 1537–1548. [Google Scholar] [CrossRef]
- Jadhavar, S.B.; Sutar, R.S.; Latthe, S.S.; Vhatkar, R.S. Preparation of superhydrophobic coating using silica–pmma nanocomposite. Macromol. Symposia 2020, 393, 2000161. [Google Scholar] [CrossRef]
- Ellinas, K.; Dimitrakellis, P.; Sarkiris, P.; Gogolides, E. A review of fabrication methods, properties and applications of superhydrophobic metals. Processes 2021, 9, 666. [Google Scholar] [CrossRef]
- Shaikh, A.R.; Qu, J.; Zhou, M.C.; Mulbah, C.K.Y. Recent progress on the surface finishing of metals and alloys to achieve superhydrophobic surfaces: A critical review. Trans. IMF 2021, 99, 61–72. [Google Scholar] [CrossRef]
- Khan, S.A.; Boltaev, G.S.; Iqbal, M.; Kim, V.; Ganeev, R.A.; Alnaser, A.S. Ultrafast fiber laser-induced fabrication of superhydrophobic and self-cleaning metal surfaces. Appl. Surf. Sci. 2021, 542, 148560. [Google Scholar] [CrossRef]
- Cao, J.; Gao, D.J.; Li, C.; Si, X.Q.; Jia, J.S.; Qi, J.L. Bioinspired metal-intermetallic laminated composites for the fabrication of superhydrophobic surfaces with responsive wettability. ACS Appl. Mater. Interfaces 2021, 13, 5834–5843. [Google Scholar] [CrossRef]
- Extrand, C.W. Remodeling of super-hydrophobic surfaces. Langmuir 2016, 32, 8608–8612. [Google Scholar] [CrossRef] [PubMed][Green Version]
- Liu, C.; Zhan, H.; Yu, J.; Liu, R.; Zhang, Q.; Liu, Y.; Li, X. Design of superhydrophobic pillars with robustness. Surf. Coat. Technol. 2019, 361, 342–348. [Google Scholar] [CrossRef]
- Yong, J.; Chen, F.; Yang, Q.; Fang, Y.; Huo, J.; Hou, X. Femtosecond laser induced hierarchical ZnO superhydrophobic surfaces with switchable wettability. Chem. Commun. 2015, 51, 9813–9816. [Google Scholar] [CrossRef]
- Pan, R.; Cai, M.; Liu, W.; Luo, X.; Chen, C.; Zhang, H.; Zhong, M. Extremely high Cassie–Baxter state stability of superhydrophobic surfaces via precisely tunable dual-scale and triple-scale micro–nano structures. J. Mater. Chem. A 2019, 7, 18050–18062. [Google Scholar] [CrossRef]
- Yamamoto, R.; Kowalski, D.; Zhu, R.; Wada, K.; Sato, Y.; Kitano, S.; Zhu, C.; Aoki, Y.; Habazaki, H. Fabrication of superhydrophobic copper metal nanowire surfaces with high thermal conductivity. Appl. Surf. Sci. 2020, 537, 147854. [Google Scholar] [CrossRef]
- Yang, J.; Wang, R.; Long, F.; Zhang, X.; Liu, J.; Hu, W.; Liu, L. New perspectives on structural parameters and hydrophobic model inspired by a superhydrophobic Cu cone-flower coating. Mater. Des. 2021, 206, 109827. [Google Scholar] [CrossRef]
- Lv, Y.; Liu, M. Corrosion and fouling behaviours of copper-based superhydrophobic coating. Surf. Eng. 2018, 35, 542–549. [Google Scholar] [CrossRef]
- Mishra, G.; Mittal, N.; Sharma, A. Multifunctional Mesoporous Carbon Capsules and their Robust Coatings for Encapsulation of Actives: Antimicrobial and Anti-bioadhesion Functions. ACS Appl. Mater. Interfaces 2016, 9, 19371–19379. [Google Scholar] [CrossRef] [PubMed]
- Jiang, G.; Hu, J.; Chen, L. Preparation of a Flexible Superhydrophobic Surface and Its Wetting Mechanism Based on Fractal Theory. Langmuir 2020, 36, 8435–8443. [Google Scholar] [CrossRef]
- Vasanthakumar, A.; Rajakumar, K.; Dmitry, A.Z.; Kanimozhi, K.; Prabunathan, P.; Alagar, M. Fluorine free TiO2/cyanate ester coated cotton fabric with low surface free energy and rough surface for durable oil–water separation. Cellulose 2021, 28, 4847–4863. [Google Scholar]
- Liang, Y.; Peng, J.; Li, X.; Huang, J.; Qiu, R.; Zhang, Z.; Ren, L. Wettability and Contact Time on a Biomimetic Superhydrophobic surface. Materials 2017, 10, 254. [Google Scholar] [CrossRef] [PubMed]
- Zhao, Y.; Li, M.; Lu, Q.; Shi, Z. Superhydrophobic Polyimide Films with a Hierarchical Topography: Combined Replica Molding and Layer-by-Layer Assembly. Langmuir 2008, 24, 12651–12657. [Google Scholar] [CrossRef] [PubMed]
- Lu, S.X.; Chen, Y.L.; Xu, W.G.; Liu, W. Controlled growth of superhydrophobic films by sol–gel method on aluminum substrate. Appl. Surf. Sci. 2010, 256, 6072–6075. [Google Scholar] [CrossRef]
- Wang, H.; Zhang, Z.; Wang, Z.; Zhao, J.; Liang, Y.; Li, X.; Ren, L. Improved dynamic stability of superomniphobic surfaces and droplet transport on slippery surfaces by dual-scale re-entrant structures. Chem. Eng. J. 2020, 394, 124871. [Google Scholar] [CrossRef]
- Huang, Y.; Sarkar, D.K.; Chen, X.G. Superhydrophobic aluminum alloy surfaces prepared by chemical etching process and their corrosion resistance properties. Appl. Surf. Sci. 2015, 356, 1012–1024. [Google Scholar] [CrossRef]
- Wan, Y.; Chen, M.; Liu, W.; Shen, X.; Min, Y.; Xu, Q. The research on preparation of superhydrophobic surfaces of pure copper by hydrothermal method and its corrosion resistance. Electrochim. Acta 2018, 270, 310–318. [Google Scholar] [CrossRef]
- Esmaeilirad, A.; Rukosuyev, M.V.; Jun, M.; Van Veggel, F.C. A cost-effective method to create physically and thermally stable and storable super-hydrophobic aluminum alloy surfaces. Surf. Coat. Technol. 2016, 285, 227–234. [Google Scholar] [CrossRef]
- Berendjchi, A. Fabrication of superhydrophobic and antibacterial surface on cotton fabric by doped silica-based sols with nanoparticles of copper. Nanoscale. Res. Lett. 2011, 6, 86–94. [Google Scholar]
- Wang, Y.; Zhang, Z.; Xu, J.; Yu, H. One-step method using laser for large-scale preparation of bionic superhydrophobic & drag-reducing fish-scale surface. Surf. Coat. Technol. 2021, 409, 126801. [Google Scholar]
- Jin, Z.; Mei, H.; Pan, L.; Liu, H.; Cheng, L. Superhydrophobic Self-Cleaning Hierarchical Micro-/Nanocomposite Coating with High Corrosion Resistance and Durability. ACS Sustain. Chem. Eng. 2021, 9, 4111–4121. [Google Scholar] [CrossRef]
- Sun, J.; Wang, W.; Liu, Z.; Li, B.; Xing, K.; Yang, Z. Study on Selective Laser Melting 316L Stainless Steel Parts with Superhydrophobic Surface. Appl. Surf. Sci. 2020, 533, 147445. [Google Scholar] [CrossRef]
- Bizi-Bandoki, P.; Valette, S.; Audouard, E.; Benayoun, S. Time dependency of the hydrophilicity and hydrophobicity of metallic alloys subjected to femtosecond laser irradiations. Appl. Surf. Sci. 2013, 273, 399–407. [Google Scholar] [CrossRef]
- Long, J.; Zhong, M.; Fan, P.; Gong, D.; Zhang, H. Wettability conversion of ultrafast laser structured copper surface. J. Laser Appl. 2015, 27, S29107. [Google Scholar] [CrossRef]
- Kietzig, A.-M.; Hatzikiriakos, S.G.; Englezos, P. Patterned Superhydrophobic Metallic Surfaces. Langmuir 2009, 25, 4821–4827. [Google Scholar] [CrossRef] [PubMed]















| Parameters | 3D Printed | Polished | 3D Printed + Corroded | 3D Printed + Modified |
|---|---|---|---|---|
| Icorr (μA·cm−2) | 8.953 | 2.834 | 0.34 | 0.165 |
| Ecorr (V) | −0.453 | −0.383 | −0.239 | −0.235 |
| Samples | Rs (Ω·cm2) | Rf (Ω·cm2) | Cp (μF·cm2) | Rct (Ω·cm2) | CPE-T (μF·cm2) | CPE-P | Ws (Ω·cm2) |
|---|---|---|---|---|---|---|---|
| 3D printed | 8.764 | 68.54 | 53.63 | 29,540 | 89.52 | 0.6 | - |
| polished | 9.364 | - | - | 75,550 | 67.26 | 0.8 | - |
| 3D printed + corroded | 9.43 | 80.22 | 0.98 | 178,902 | 20.76 | 0.6 | 0.0003 |
| 3D printed + modified | 10.51 | 83.03 | 0.22 | 207,600 | 6.64 | 0.7 | 0.0001 |
| Parameters | Soak for 1 Day | Soak for 3 Days | Soak for 5 Days | Soak for 7 Days |
|---|---|---|---|---|
| Icorr (μA·cm−2) | 0.319 | 0.331 | 0.387 | 0.743 |
| Ecorr (V) | −0.342 | −0.367 | −0.368 | −0.369 |
| Parameters | Soak for 1 Day | Soak for 3 Days | Soak for 5 Days | Soak for 7 Days |
|---|---|---|---|---|
| Icorr (μA·cm−2) | 0.386 | 0.785 | 3.254 | 8.95 |
| Ecorr (V) | −0.34 | −0.373 | −0.388 | −0.532 |
Publisher’s Note: MDPI stays neutral with regard to jurisdictional claims in published maps and institutional affiliations. |
© 2021 by the authors. Licensee MDPI, Basel, Switzerland. This article is an open access article distributed under the terms and conditions of the Creative Commons Attribution (CC BY) license (https://creativecommons.org/licenses/by/4.0/).
Share and Cite
Xing, L.; Yu, J.; Ji, Z.; Huang, X.; Dai, C.; Zhang, Q. Study on Preparation of Superhydrophobic Surface by Selective Laser Melting and Corrosion Resistance. Appl. Sci. 2021, 11, 7476. https://doi.org/10.3390/app11167476
Xing L, Yu J, Ji Z, Huang X, Dai C, Zhang Q. Study on Preparation of Superhydrophobic Surface by Selective Laser Melting and Corrosion Resistance. Applied Sciences. 2021; 11(16):7476. https://doi.org/10.3390/app11167476
Chicago/Turabian StyleXing, Lei, Jingui Yu, Zhiyong Ji, Xingjiu Huang, Chaoyuan Dai, and Qiaoxin Zhang. 2021. "Study on Preparation of Superhydrophobic Surface by Selective Laser Melting and Corrosion Resistance" Applied Sciences 11, no. 16: 7476. https://doi.org/10.3390/app11167476
APA StyleXing, L., Yu, J., Ji, Z., Huang, X., Dai, C., & Zhang, Q. (2021). Study on Preparation of Superhydrophobic Surface by Selective Laser Melting and Corrosion Resistance. Applied Sciences, 11(16), 7476. https://doi.org/10.3390/app11167476
