Numerical Study on Tip Vortex Cavitation Inception on a Foil
Abstract
:1. Introduction
2. Numerical Approaches
2.1. Governing Equations of Flows
2.2. Schnerr–Sauer Cavitation Model
2.3. Numerical Solution Methods
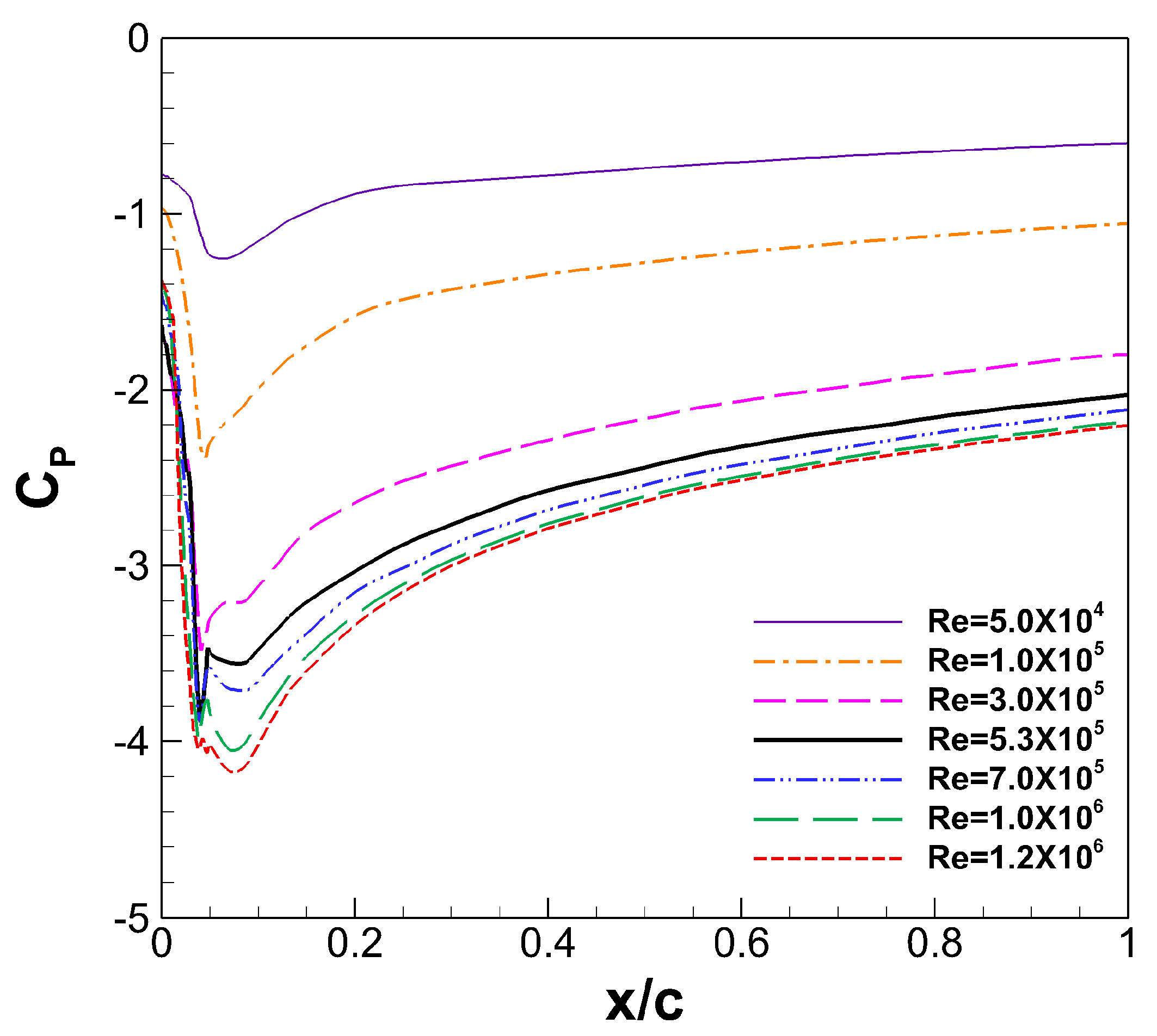
3. Numerical Results and Discussion
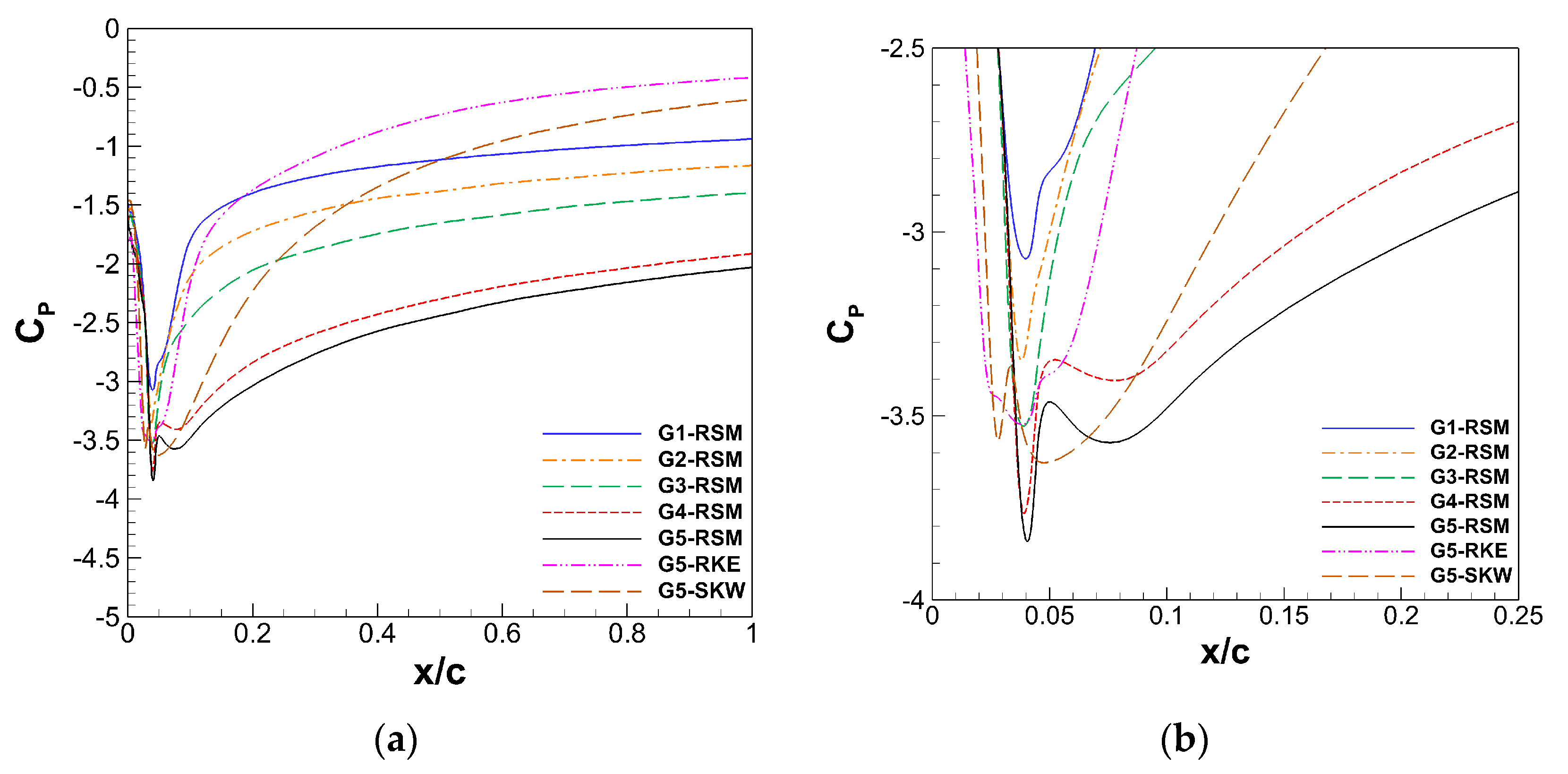
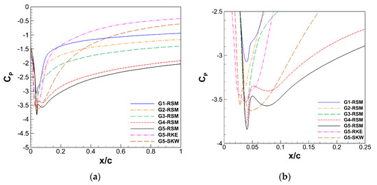
3.1. Flow Condition and Grid Resolution
3.2. Validation of Non-Cavitating Flows
3.3. Validation of Cavitating Flows
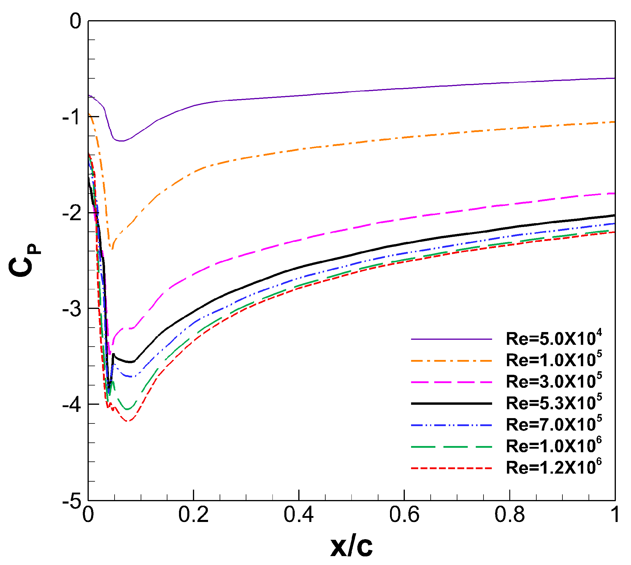
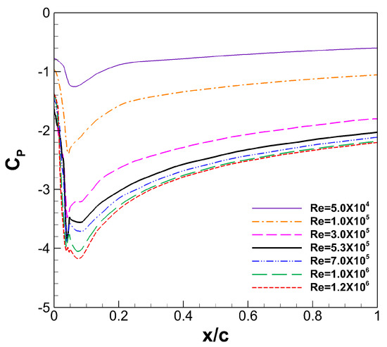
3.4. Scaling of Tip Vortex Cavitation Inception
4. Conclusions
Author Contributions
Funding
Acknowledgments
Conflicts of Interest
References
- Plesset, M.S.; Prosperetti, A. Bubble dynamics and cavitation. Annu. Rev. Fluid Mech. 1977, 9, 145–185. [Google Scholar] [CrossRef]
- Arndt, R.E.A. Cavitation in fluid machinery and hydraulic structures. Annu. Rev. Fluid Mech. 1981, 13, 273–328. [Google Scholar] [CrossRef]
- Arndt, R.E.A. Recent advances in cavitation research. Adv. Hydrosci. 1981, 12, 1–78. [Google Scholar]
- Rood, E.P. Review: Mechanisms of cavitation inception. J. Fluids Eng. 1991, 113, 163–175. [Google Scholar] [CrossRef]
- Arndt, R.E.A. Cavitation in vortical flows. Annu. Rev. Fluid Mech. 2002, 34, 143–175. [Google Scholar] [CrossRef]
- Souders, W.G.; Platzer, G.P. Tip Vortex Cavitation Characteristics and Delay of Inception on a Three-Dimensional Hydrofoil; David, W., Ed.; Taylor Naval Ship Research and Development Center: Bethesda, MD, USA, 1981. [Google Scholar]
- Arndt, R.E.A.; Arakeri, V.H.; Higuchi, H. Some observation of tip vortex cavitation. J. Fluid Mech. 1991, 229, 269–289. [Google Scholar] [CrossRef]
- Arndt, R.E.A.; Keller, A.P. Water quality effects on cavitation inception in a trailing vortex. J. Fluids Eng. 1992, 114, 430–438. [Google Scholar] [CrossRef]
- Maines, B.H.; Arndt, R.E.A. Tip vortex formation and cavitation. J. Fluids Eng. 1997, 119, 413–419. [Google Scholar] [CrossRef]
- Arndt, R.E.A.; Maines, B.H. Vortex cavitation: A progress report. FED 190. In Cavitation and Gas-Liquid Flow in Fluid Machinery and Devices; ASME: Little Falls, NJ, USA, 1994; pp. 99–117. [Google Scholar]
- Boulon, O.; Franc, J.P.; Michel, J.M. Tip vortex cavitation on an oscillating hydrofoil. J. Fluids Eng. 1997, 119, 752–758. [Google Scholar] [CrossRef]
- Pennings, P.C.; Westerweel, J.; van Terwisga, T.J.C. Flow field measurement around vortex cavitation. Exp. Fluid. 2015, 56, 206. [Google Scholar] [CrossRef] [Green Version]
- Lee, J.H.; Han, J.M.; Park, H.G.; Seo, J.S. Application of signal processing techniques to the detection of tip vortex cavitation noise in marine propeller. J. Hydrodyn. 2013, 25, 440–449. [Google Scholar] [CrossRef]
- Kim, D.; Seong, W.; Choo, Y.; Lee, J. Localization of incipient tip vortex cavitation using ray based matched field inversion method. J. Sound Vib. 2015, 354, 34–46. [Google Scholar] [CrossRef]
- Song, M.; Xu, L.; Peng, X.; Tang, D. An acoustic approach to determine tip vortex cavitation inception for an elliptical hydrofoil considering nuclei-seeding. Int. J. Multiph. Flow. 2017, 90, 79–87. [Google Scholar] [CrossRef]
- Asnaghi, A.; Svennberg, U.; Bensow, R.E. Analysis of tip vortex inception prediction methods. Ocean Eng. 2018, 167, 187–203. [Google Scholar] [CrossRef]
- Schot, J.J.A.; Pennings, P.C.; Pourquie, M.J.B.M.; van Terwisga, T.J.C. Modelling of tip vortex cavitation for engineering applications in OPENFORM. In Proceedings of the 11th World Congress on Computational Mechanics, Barcelona, Spain, 20–25 July 2014. [Google Scholar]
- Asnaghi, A.; Bensow, R.E.; Svennberg, U. Implicit large eddy simulation of tip vortex on an elliptical foil. In Proceedings of the Fifth International Symposium on Marine Propulsion-smp’17, Espoo, Finland, 12–15 June 2017. [Google Scholar]
- Asnaghi, A.; Bensow, R.E.; Svennberg, U. Comparative analysis of tip vortex flow using RANS and LES. In Proceedings of the VII International Conference on Computational Methods in Marine Engineering, Nantes, French, 15–17 June 2017. [Google Scholar]
- Hsiao, C.T.; Chahine, G.L. Scaling of tip vortex cavitation inception noise with a bubble dynamics model accounting for nuclei size distribution. J. Fluids Eng. 2005, 127, 55–65. [Google Scholar] [CrossRef]
- Park, K.; Seol, H.; Choi, W.; Lee, S. Numerical prediction of tip vortex cavitation behavior and noise considering nuclei size and distribution. Appl. Acoust. 2009, 70, 674–680. [Google Scholar] [CrossRef]
- McCormick, B.W. On cavitation produced by a vortex trailing from a lifting surface. J. Basic Eng. 1962, 84, 369–378. [Google Scholar] [CrossRef]
- Frank, T.; Lifante, C.; Jebauer, S.; Kuntz, M.; Rieck, K. CFD Simulation of Cloud and tip vortex Cavitation on hydrofoil. In Proceedings of the 6th International Conference on Multiphase Flow, Leipzing, Germany, 9–13 July 2007. [Google Scholar]
- Hsiao, C.T.; Chahine, G.L. Scaling of tip vortex cavitation inception for a marine open propeller. In Proceedings of the 27th symposium on Naval Hydrodynamics, Seoul, Korea, 5–10 October 2008. [Google Scholar]
- Yakubov, S.; Cankurt, B.; Abdel-Maksoud, M.; Rung, T. Hybrid MPI/OpenMP parallelization of an Euler-Lagrange approach to cavitation modelling. Comput. Fluids 2013, 80, 365–371. [Google Scholar] [CrossRef]
- Kim, K.H.; Chahine, G.; Franc, J.P.; Karimi, A. Advanced Experimental and Numerical Techniques for Cavitation Erosion Prediction; Springer: Dordrecht, The Netherlands, 2014. [Google Scholar]
- Ma, J.; Hsiao, C.T.; Chahine, G.L. A physics based multiscale modeling of cavitating flows. Comput. Fluids 2017, 145, 68–84. [Google Scholar] [CrossRef] [Green Version]
- Dacles-Mriani, J.; Zilliac, G.G.; Chow, J.S.; Bradshaw, P. Numerical/experimental study of a wingtip vortex in the near field. AIAA J. 1995, 33, 1561–1568. [Google Scholar] [CrossRef]
- Hsiao, C.T.; Pauley, L.L. Numerical study of the steady-state tip vortex flow over a finite span hydrofoil. J. Fluids Eng. 1998, 120, 345–353. [Google Scholar] [CrossRef]
- Hsiao, C.T.; Pauley, L.L. Numerical calculation of tip vortex flow generated by a marine propeller. J. Fluids Eng. 1999, 121, 638–645. [Google Scholar] [CrossRef]
- Hsiao, C.T.; Pauley, L.L. Study of tip vortex cavitation inception using Navier-Stokes computation and bubble dynamics model. J. Fluids Eng. 1999, 121, 198–204. [Google Scholar] [CrossRef] [Green Version]
- Jessup, S.D.; Remmers, K.D.; Berberich, W.G. Comparative Cavitation Performance Evaluation of a Naval Surface Ship Propeller; ASME Symposium on Cavitation Inception: New Orleans, LA, USA, 1993. [Google Scholar]
- Amromin, E. Two-range scaling for tip vortex cavitation inception. Ocean Eng. 2006, 33, 530–534. [Google Scholar] [CrossRef]
- Hundemer, J.; Abdel-Maksoud, M. Prediction of tip vortex cavitation inception on marine propellers at an early design stage. In Proceedings of the 7th International symposium on cavitation CAV2009-143, Ann Arbor, MI, USA, 16–20 August 2009. [Google Scholar]
- Shen, Y.T.; Jessup, S.; Gowing, S. Tip vortex cavitation inception scaling for high Reynolds number application. In Proceedings of the ASME-JSME 4th Joint Fluids Engineering Conference, Honolulu, HI, USA, 6–10 July 2003. [Google Scholar]
- Launder, B.E.; Reece, G.J.; Rodi, W. Progress in the Development of a Reynolds-Stress Turbulence Closure. J. Fluid Mech. 1975, 68, 537–566. [Google Scholar] [CrossRef] [Green Version]
- Shih, T.H.; Liou, W.W.; Shabbir, A.; Yang, Z.; Zhu, J. A new k − ϵ eddy viscosity model for high Reynolds number turbulent flows-Model development and validation. Comput. Fluids 1995, 24, 227–238. [Google Scholar] [CrossRef]
- Menter, F.R.; Kuntz, M.; Langtry, R. Ten years of industrial experience with the SST turbulence model. Turbul. Heat Mass Transfer. 2003, 4, 625–632. [Google Scholar]
- Manceau, R.; Hanjalic, K. Elliptic blending model: A new near-wall Reynolds-stress turbulence closure. Phys. Fluids 2002, 14, 744. [Google Scholar] [CrossRef]
- Schnerr, G.; Sauer, J. Physical and numerical modeling of unsteady cavitation dynamics. In Proceedings of the 4th International Conference on Multiphase Flow, New Orleans, LA, USA, 27 May–1 June 2001. [Google Scholar]
- Simens. STAR-CCM+ User Guide, Version 11.06; Simens: Munich, Germany, 2016. [Google Scholar]
- Keller, A.P. A vortex-nozzle cavitation susceptibility meter in routine application in cavitation inception measurements. In Proceedings of the Euromech, Colloquium 222—Unsteady Cavitation and its Effects, Wageningen, The Netherlands, 1–3 June 1987. [Google Scholar]






















| Grid Name | Total No. of Grids (M) | No. of Grids in Vortex Core | Grid Size (mm) Streamwise Direction | Grid Size (mm) Transverse Direction |
|---|---|---|---|---|
| G1 | 2.5 | 8 | 0.560 | 0.280 |
| G2 | 5.1 | 11 | 0.400 | 0.200 |
| G3 | 10.4 | 16 | 0.280 | 0.140 |
| G4 | 15.7 | 25 | 0.174 | 0.087 |
| G5 | 30.6 | 28 | 0.156 | 0.078 |
| Re | CL (wet. Simulation) | σi (cav. Simulation) | σi (Cp,min) | σi (McCormick’ Eq.) | σi (Arndt’s Eq.) | Exponent m | Exponent n |
|---|---|---|---|---|---|---|---|
| 5.0 × 104 | 0.369 | 1.23 | 1.26 | 2.33 | 0.70 | 0.291 | 0.452 |
| 1.0 × 105 | 0.484 | 2.21 | 2.38 | 2.96 | 1.59 | 0.325 | 0.429 |
| 3.0 × 105 | 0.566 | 3.27 | 3.47 | 4.35 | 3.38 | 0.327 | 0.398 |
| 5.3 × 105 | 0.568 | 3.63 | 3.76 | 5.31 | 4.28 | 0.321 | 0.388 |
| 7.0 × 105 | 0.571 | 3.79 | 3.87 | 5.86 | 4.82 | 0.318 | 0.382 |
| 1.0 × 106 | 0.573 | 4.01 | 4.06 | 6.63 | 5.61 | 0.314 | 0.376 |
| 1.2 × 106 | 0.575 | 4.12 | 4.16 | 7.07 | 6.07 | 0.312 | 0.373 |
| Re | 5.0 × 105 | 1.0 × 106 | 1.0 × 107 | 1.0 × 108 | 1.0 × 109 |
|---|---|---|---|---|---|
| m | 0.32 | 0.31 | 0.29 | 0.26 | 0.23 |
| n | 0.39 | 0.38 | 0.34 | 0.30 | 0.26 |
Publisher’s Note: MDPI stays neutral with regard to jurisdictional claims in published maps and institutional affiliations. |
© 2021 by the authors. Licensee MDPI, Basel, Switzerland. This article is an open access article distributed under the terms and conditions of the Creative Commons Attribution (CC BY) license (https://creativecommons.org/licenses/by/4.0/).
Share and Cite
Park, I.; Kim, J.; Paik, B.; Seol, H. Numerical Study on Tip Vortex Cavitation Inception on a Foil. Appl. Sci. 2021, 11, 7332. https://doi.org/10.3390/app11167332
Park I, Kim J, Paik B, Seol H. Numerical Study on Tip Vortex Cavitation Inception on a Foil. Applied Sciences. 2021; 11(16):7332. https://doi.org/10.3390/app11167332
Chicago/Turabian StylePark, Ilryong, Jein Kim, Bugeun Paik, and Hanshin Seol. 2021. "Numerical Study on Tip Vortex Cavitation Inception on a Foil" Applied Sciences 11, no. 16: 7332. https://doi.org/10.3390/app11167332
APA StylePark, I., Kim, J., Paik, B., & Seol, H. (2021). Numerical Study on Tip Vortex Cavitation Inception on a Foil. Applied Sciences, 11(16), 7332. https://doi.org/10.3390/app11167332

