Impact of Chitosan-Genipin Films on Volatile Profile of Wine along Storage
Abstract
:Featured Application
Abstract
1. Introduction
2. Materials and Methods
2.1. Chemical Reagents and Standards
2.2. Wine Model Solutions
2.3. Wine Samples
2.4. Analysis of Volatile Compounds
2.4.1. Extraction of Volatile Compounds
2.4.2. Determination of Volatile Compounds in Wine Model Solutions
2.4.3. Determination of Volatile Compounds in Wines
2.5. Data Analysis
3. Results and Discussion
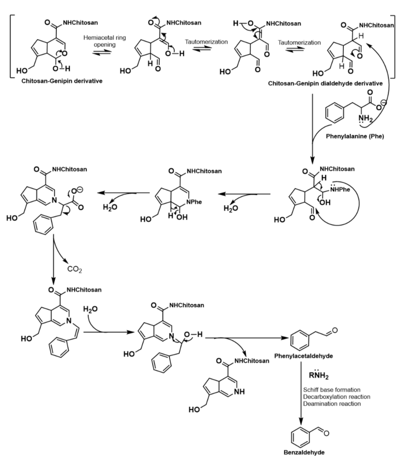
3.1. Promotion of Maillard Reactions by Chitosan-Genipin Films in Wine Model Solutions
3.2. Volatile Compounds Retention Capacity of Chitosan-Genipin Films in Wine Model Solutions
3.3. Impact of Chitosan-Genipin Films on Wine Volatile Composition
4. Conclusions
Supplementary Materials
Author Contributions
Funding
Institutional Review Board Statement
Informed Consent Statement
Data Availability Statement
Conflicts of Interest
References
- Colangelo, D.; Torchio, F.; De Faveri, D.M.; Lambri, M. The use of chitosan as alternative to bentonite for wine fining: Effects on heat-stability, proteins, organic acids, colour, and volatile compounds in an aromatic white wine. Food Chem. 2018, 264, 301–309. [Google Scholar] [CrossRef] [PubMed]
- Marín, A.C.; Colangelo, D.; Lambri, M.; Riponi, C.; Chinnici, F. Relevance and perspectives of the use of chitosan in winemaking: A review. Crit. Rev. Food Sci. Nutr. 2020. [Google Scholar] [CrossRef]
- Arenas, I.; Ribeiro, M.; Filipe-Ribeiro, L.; Vilamarim, R.; Costa, E.; Siopa, J.; Cosme, F.; Nunes, F.M. Effect of pre-fermentative maceration and fining agents on protein stability, macromolecular, and phenolic composition of Albariño white wines: Comparative efficiency of chitosan, k-carrageenan and bentonite as heat stabilisers. Foods 2021, 10, 608. [Google Scholar] [CrossRef]
- Vendramin, V.; Spinato, G.; Vincenzi, S. Shellfish chitosan potential in wine clarification. Appl. Sci. 2021, 11, 4417. [Google Scholar] [CrossRef]
- Marín, A.C.; Riponi, C.; Chinnici, F. Chitosan in sparkling wines produced by the traditional method: Influence of its presence during the secondary fermentation. Foods 2020, 9, 1174. [Google Scholar] [CrossRef]
- Bornet, A.; Teissedre, P.L. Chitosan, chitin-glucan and chitin effects on minerals (iron, lead, cadmium) and organic (ochratoxin A) contaminants in wines. Eur. Food Res. Technol. 2008, 226, 681–689. [Google Scholar] [CrossRef]
- Quintela, S.; Villarán, M.C.; López De Armentia, I.; Elejalde, E. Ochratoxin A removal from red wine by several oenological fining agents: Bentonite, egg albumin, allergen-free adsorbents, chitin and chitosan. Food Addit. Contam. Part A. Chem. Anal. Control. Expo. Risk Assess. 2012, 29, 1168–1174. [Google Scholar] [CrossRef]
- Marín, A.C.; Buglia, A.G.; Riponi, C.; Chinnici, F. Volatile and fixed composition of sulphite-free white wines obtained after fermentation in the presence of chitosan. LWT Food Sci. Technol. 2018, 93, 174–180. [Google Scholar] [CrossRef]
- Marín, A.C.; Culcasi, M.; Cassien, M.; Stocker, P.; Thétiot-Laurent, S.; Robillard, B.; Chinnici, F.; Pietri, S. Chitosan as an antioxidant alternative to sulphites in oenology: EPR investigation of inhibitory mechanisms. Food Chem. 2019, 285, 67–76. [Google Scholar] [CrossRef] [PubMed]
- Choque, E.; Durrieu, V.; Alric, I.; Raynal, J.; Mathieu, F. Impact of spray-drying on biological properties of chitosan matrices supplemented with antioxidant fungal extracts for wine applications. Curr. Microbiol. 2020, 77, 210–219. [Google Scholar] [CrossRef] [PubMed]
- Tavernini, L.; Ottone, C.; Illanes, A.; Wilson, L. Entrapment of enzyme aggregates in chitosan beads for aroma release in white wines. Int. J. Biol. Macromol. 2020, 154, 1082–1090. [Google Scholar] [CrossRef]
- Rocha, M.A.M.; Coimbra, M.A.; Nunes, C. Applications of chitosan and their derivatives in beverages: A critical review. Curr. Opin. Food Sci. 2017, 15, 61–69. [Google Scholar] [CrossRef]
- OIV Resolution 336A-2009. In Codex Oenologique International; Organisation Internationale de la Vigne et du Vin: Paris, France, 2009.
- Elmaci, S.B.; Gülgör, G.; Tokatli, M.; Erten, H.; İşci, A.; Özçelik, F. Effectiveness of chitosan against wine-related microorganisms. Antonie Van Leeuwenhoek 2015, 107, 675–686. [Google Scholar] [CrossRef] [PubMed]
- Petrova, B.; Cartwright, Z.M.; Edwards, C.G. Effectiveness of chitosan preparations against Brettanomyces bruxellensis grown in culture media and red wines. J. Int. des Sci. Vigne Vin 2016, 50, 49–56. [Google Scholar] [CrossRef]
- European Union. Commission regulation (EU) 53/2011 of 21 January 2011. Off. J. Eur. Union 2011, 28, L19/1–L19/6. [Google Scholar]
- Picariello, L.; Rinaldi, A.; Blaiotta, G.; Moio, L.; Pirozzi, P.; Gambuti, A. Effectiveness of chitosan as an alternative to sulfites in red wine production. Eur. Food Res. Technol. 2020, 246, 1795–1804. [Google Scholar] [CrossRef]
- Scansani, S.; Rauhut, D.; Brezina, S.; Semmler, H.; Benito, S. The impact of chitosan on the chemical composition of wines fermented with schizosaccharomyces pombe and saccharomyces cerevisiae. Foods 2020, 9, 1423. [Google Scholar] [CrossRef]
- Nunes, C.; Maricato, É.; Cunha, Â.; Nunes, A.; da Silva, J.A.L.; Coimbra, M.A. Chitosan-caffeic acid-genipin films presenting enhanced antioxidant activity and stability in acidic media. Carbohydr. Polym. 2013, 91, 236–243. [Google Scholar] [CrossRef] [PubMed]
- Rocha, M.A.M.; Ferreira, P.; Coimbra, M.A.; Nunes, C. Mechanism of iron ions sorption by chitosan-genipin films in acidic media. Carbohydr. Polym. 2020, 236. [Google Scholar] [CrossRef]
- Nunes, C.; Maricato, É.; Cunha, Â.; Rocha, M.A.M.; Santos, S.; Ferreira, P.; Martins, M.A.; Rodrigues, A.; Amado, O.; Coimbra, M.A.; et al. Chitosan-genipin film, a sustainable methodology for wine preservation. Green Chem. 2016, 18, 5331–5341. [Google Scholar] [CrossRef]
- Muzzarelli, R.A.A. Chitins and chitosans as immunoadjuvants and non-allergenic drug carriers. Mar. Drugs 2010, 8, 292–312. [Google Scholar] [CrossRef] [PubMed] [Green Version]
- Amaral, L.; Silva, D.; Couto, M.; Nunes, C.; Rocha, S.M.; Coimbra, M.A.; Coimbra, A.; Moreira, A. Safety of chitosan processed wine in shrimp allergic patients. Ann. Allergy Asthma Immunol. 2016, 116, 462–463. [Google Scholar] [CrossRef] [PubMed]
- Balaguer, M.P.; Gavara, R.; Hernández-Muñoz, P. Food aroma mass transport properties in renewable hydrophilic polymers. Food Chem. 2012, 130, 814–820. [Google Scholar] [CrossRef]
- Filipe-Ribeiro, L.; Cosme, F.; Nunes, F.M. Reducing the negative sensory impact of volatile phenols in red wine with different chitosans: Effect of structure on efficiency. Food Chem. 2018, 242, 591–600. [Google Scholar] [CrossRef] [PubMed]
- Marin, A.C.; Chinnici, F. Physico-chemical features of sangiovese wine as affected by a post-fermentative treatment with chitosan. Appl. Sci. 2020, 10, 6877. [Google Scholar] [CrossRef]
- Santos, M.C.; Nunes, C.; Rocha, M.A.M.; Rodrigues, A.; Rocha, S.M.; Saraiva, J.A.; Coimbra, M.A. High pressure treatments accelerate changes in volatile composition of sulphur dioxide-free wine during bottle storage. Food Chem. 2015, 188, 406–414. [Google Scholar] [CrossRef]
- van Den Dool, H.; Dec Kratz, P. A generalization of the retention index system including linear temperature programmed gas—liquid partition chromatography. J. Chromatogr. A 1963, 11, 463–471. [Google Scholar] [CrossRef]
- Martins, C.; Salvador, Â.C.; Rocha, S.M. The role of gas chromatography-based methodologies for the understanding of food aromas. In Food Aroma Evolution; CRC Press: Boca Raton, FL, USA, 2019; pp. 141–157. [Google Scholar]
- Chong, J.; Wishart, D.S.; Xia, J. Using MetaboAnalyst 4.0 for comprehensive and integrative metabolomics data analysis. Curr. Protoc. Bioinform. 2019, 68, 128. [Google Scholar] [CrossRef] [PubMed]
- Mahae, N.; Chalat, C.; Muhamud, P. Antioxidant and antimicrobial properties of chitosan-sugar complex. Int. Food Res. J. 2011, 18, 1543–1551. [Google Scholar]
- Gullón, B.; Montenegro, M.I.; Ruiz-Matute, A.I.; Cardelle-Cobas, A.; Corzo, N.; Pintado, M.E. Synthesis, optimization and structural characterization of a chitosan–glucose derivative obtained by the Maillard reaction. Carbohydr. Polym. 2016, 137, 382–389. [Google Scholar] [CrossRef]
- García-Bermejo, A.B.; Cardelle-Cobas, A.; Ruiz-Matute, A.I.; Montanés, F.; Olano, A.; Corzo, N. Effect of drying methods on the reactivity of chitosan towards Maillard reaction. Food Hydrocoll. 2012, 29, 27–34. [Google Scholar] [CrossRef]
- Sansano, M.; Castelló, M.L.; Heredia, A.; Andrés, A. Protective effect of chitosan on acrylamide formation in model and batter systems. Food Hydrocoll. 2016, 60, 1–6. [Google Scholar] [CrossRef]
- Pripis-Nicolau, L.; de Revel, G.; Bertrand, A.; Maujean, A. Formation of flavor components by the reaction of amino acid and carbonyl compounds in mild conditions. J. Agric. Food Chem. 2000, 48, 3761–3766. [Google Scholar] [CrossRef]
- Fujikawa, S.; Fukui, Y.; Koga, K.; Iwashita, T.; Komura, H.; Nomoto, K. Structure of genipocyanin G1, a spontaneous reaction product between genipin and glycine. Tetrahedron Lett. 1987, 28, 4699–4700. [Google Scholar] [CrossRef]
- Lee, S.-W.; Lim, J.-M.; Bhoo, S.-H.; Paik, Y.-S.; Hahn, T.-R. Colorimetric determination of amino acids using genipin from Gardenia jasminoides. Anal. Chim. Acta 2003, 480, 267–274. [Google Scholar] [CrossRef]
- Takeshita, S.; Konishi, A.; Takebayashi, Y.; Yoda, S.; Otake, K. Aldehyde approach to hydrophobic modification of chitosan aerogels. Biomacromolecules 2017, 18, 2172–2178. [Google Scholar] [CrossRef]
- Petriccione, M.; Mastrobuoni, F.; Pasquariello, M.; Zampella, L.; Nobis, E.; Capriolo, G.; Scortichini, M. Effect of chitosan coating on the postharvest quality and antioxidant enzyme system response of strawberry fruit during cold storage. Foods 2015, 4, 501–523. [Google Scholar] [CrossRef] [PubMed] [Green Version]
- Kalua, C.M.; Boss, P.K. Evolution of volatile compounds during the development of Cabernet Sauvignon grapes (Vitis vinifera L.). J. Agric. Food Chem. 2009, 57, 3818–3830. [Google Scholar] [CrossRef] [PubMed]
- Muñoz-González, C.; Moreno-Arribas, M.V.; Martín-Álvarez, P.J.; Bartra-Sebastian, E.; Puig-Pujol, A.; García-Cazorla, J.; Pozo-Bayon, M.Á. Volatile and sensory characterization of Xarel.lo white wines. Flavour Fragr. J. 2011, 26, 153–161. [Google Scholar] [CrossRef] [Green Version]
- Herrero, P.; Sáenz-Navajas, M.P.; Avizcuri, J.M.; Culleré, L.; Balda, P.; Antón, E.C.; Ferreira, V.; Escudero, A. Study of Chardonnay and Sauvignon blanc wines from D.O.Ca Rioja (Spain) aged in different French oak wood barrels: Chemical and aroma quality aspects. Food Res. Int. 2016, 89, 227–236. [Google Scholar] [CrossRef] [PubMed]
- Nunes, P.; Muxagata, S.; Correia, A.C.; Nunes, F.M.; Cosme, F.; Jordão, A.M. Effect of oak wood barrel capacity and utilization time on phenolic and sensorial profile evolution of an Encruzado white wine. J. Sci. Food Agric. 2017, 97, 4847–4856. [Google Scholar] [CrossRef]
- San-Juan, F.; Ferreira, V.; Cacho, J.; Escudero, A. Quality and aromatic sensory descriptors (mainly fresh and dry fruit character) of spanish red wines can be predicted from their aroma-active chemical composition. J. Agric. Food Chem. 2011, 59, 7916–7924. [Google Scholar] [CrossRef]
- Peinado, R.A.; Moreno, J.; Bueno, J.E.; Moreno, J.A.; Mauricio, J.C. Comparative study of aromatic compounds in two young white wines subjected to pre-fermentative cryomaceration. Food Chem. 2004, 84, 585–590. [Google Scholar] [CrossRef]
- Chen, S.; Wang, C.; Qian, M.; Li, Z.; Xu, Y. Characterization of the key aroma compounds in aged chinese rice wine by comparative aroma extract dilution analysis, quantitative measurements, aroma recombination, and omission studies. J. Agric. Food Chem. 2019, 67, 4876–4884. [Google Scholar] [CrossRef]
- Petronilho, S.; Lopez, R.; Ferreira, V.; Coimbra, M.A.; Rocha, S.M. Revealing the usefulness of aroma networks to explain wine Aroma properties: A case study of Portuguese wines. Molecules 2020, 25, 272. [Google Scholar] [CrossRef] [PubMed] [Green Version]
- de Pinho, P.G.; Falqué, E.; Castro, M.; Silva, H.O.E.; Machado, B.; Ferreira, A.C.S. Further insights into the floral character of Touriga Nacional wines. J. Food Sci. 2007, 72, S396–S401. [Google Scholar] [CrossRef] [PubMed]
- Santos, M.C.; Nunes, C.; Rocha, M.A.M.; Rodrigues, A.; Rocha, S.M.; Saraiva, J.A.; Coimbra, M.A. Impact of high pressure treatments on the physicochemical properties of a sulphur dioxide-free white wine during bottle storage: Evidence for Maillard reaction acceleration. Innov. Food Sci. Emerg. Technol. 2013, 20, 51–58. [Google Scholar] [CrossRef]
) and presence of chitosan-genipin films (
,
) at room temperature in the dark during 120 days.
) and presence of chitosan-genipin films (
,
) at room temperature in the dark during 120 days.

) and with chitosan-genipin films (2 cm2
, 1 cm2
, and 0.5 cm2
) at room temperature in dark during 260 min for (A) ethyl hexanoate, (B) hexanoic acid, (C) octan-3-one, (D) ethyl acetate, (E) hexanol, (F) hexanal, and (G) benzaldehyde.
) and with chitosan-genipin films (2 cm2
, 1 cm2
, and 0.5 cm2
) at room temperature in dark during 260 min for (A) ethyl hexanoate, (B) hexanoic acid, (C) octan-3-one, (D) ethyl acetate, (E) hexanol, (F) hexanal, and (G) benzaldehyde.



log P < 2.3,
2.3 ≤ log P ≤ 4, and
log P > 4) of the white (
and
) and red wines (
and
) in contact with chitosan-genipin films after 2 (
and
) and 8 months (
and
) of storage, related to 139 volatile compounds (indicated in Table S1).
log P < 2.3,
2.3 ≤ log P ≤ 4, and
log P > 4) of the white (
and
) and red wines (
and
) in contact with chitosan-genipin films after 2 (
and
) and 8 months (
and
) of storage, related to 139 volatile compounds (indicated in Table S1).
| Standard | Cvial (mg/L) | Sampling Time | MW | Log P | BP (°C) |
|---|---|---|---|---|---|
| Hexanol | 2.4 | 20, 80, 140, 260 min | 102.17 | 2.03 | 158 |
| Octan-3-one | 0.058 | 20, 80, 140, 260 min | 128.21 | 2.30 | 168 |
| Hexanal | 17.8 | 20, 80, 140, 260 min | 100.16 | 1.78 | 130 |
| Benzaldehyde | 1.0 | 20, 80, 140, 260 min | 106.12 | 1.48 | 179 |
| Ethyl acetate | 9.6 | 20, 80, 140, 260 min | 88.11 | 0.73 | 77 |
| Ethyl hexanoate | 0.11 | 20, 50, 80, 140, 200, 260 min | 144.21 | 2.83 | 167 |
| Hexanoic acid | 10.9 | 20, 50, 80, 140, 200, 260 min | 116.16 | 1.92 | 205 |
| Arabinose | 1.5 | 0, 34, 41, 49, 106, 120 days | 150.13 | ||
| Leucine | 1.31 | 0, 30, 60, 74, 91, 120 days | 131.17 | ||
| Phenylalanine | 1.65 | 0, 34, 41, 49, 106, 120 days | 165.16 |
| Wine Model Solution | Time (Days) | [Maillard Volatile Compounds] (mg/L) | ||
|---|---|---|---|---|
| Furfural a | Phenylacetaldehyde b | Benzaldehyde c | ||
| Ara + Gro | 36 | * | * | * |
| 120 | * | * | * | |
| Ara + Ge | 36 | * | * | * |
| 120 | * | * | * | |
| Phe + Gro | 36 | * | * | * |
| 120 | * | * | * | |
| Phe + Ge | 36 | * | 7.5 × 1.0 | 0.02 × 0.01 |
| 120 | * | 62.6 × 6.0 | 0.18 × 0.01 | |
Publisher’s Note: MDPI stays neutral with regard to jurisdictional claims in published maps and institutional affiliations. |
© 2021 by the authors. Licensee MDPI, Basel, Switzerland. This article is an open access article distributed under the terms and conditions of the Creative Commons Attribution (CC BY) license (https://creativecommons.org/licenses/by/4.0/).
Share and Cite
Rocha, M.A.M.; Coimbra, M.A.; Rocha, S.M.; Nunes, C. Impact of Chitosan-Genipin Films on Volatile Profile of Wine along Storage. Appl. Sci. 2021, 11, 6294. https://doi.org/10.3390/app11146294
Rocha MAM, Coimbra MA, Rocha SM, Nunes C. Impact of Chitosan-Genipin Films on Volatile Profile of Wine along Storage. Applied Sciences. 2021; 11(14):6294. https://doi.org/10.3390/app11146294
Chicago/Turabian StyleRocha, M. Angélica M., Manuel A. Coimbra, Sílvia M. Rocha, and Cláudia Nunes. 2021. "Impact of Chitosan-Genipin Films on Volatile Profile of Wine along Storage" Applied Sciences 11, no. 14: 6294. https://doi.org/10.3390/app11146294
APA StyleRocha, M. A. M., Coimbra, M. A., Rocha, S. M., & Nunes, C. (2021). Impact of Chitosan-Genipin Films on Volatile Profile of Wine along Storage. Applied Sciences, 11(14), 6294. https://doi.org/10.3390/app11146294

