Imaging Attitude Control and Image Motion Compensation Residual Analysis Based on a Three-Axis Inertially Stabilized Platform
Abstract
:Featured Application
Abstract
1. Introduction
2. Imaging System Design
2.1. Platform Mechanism
2.2. Imaging Control Principle
3. Imaging Attitude Control
3.1. Coordinate Frames
3.1.1. World (W) Frame
3.1.2. Navigation (N) Frame
3.1.3. Target (T) Frame
3.1.4. Aircraft Body (AC) Frame
3.1.5. Sensor (S) Frame
3.2. Imaging Attitude Analysis
3.2.1. Gimbal Angle Calculation
3.2.2. Imaging Attitude Analysis
4. Image Motion Modeling and Analysis
4.1. Image Motion Analysis
4.1.1. Image Motion Model
4.1.2. Image Motion Distribution
4.2. Residual of Image Motion Compensation
4.2.1. Residual Model Establishment
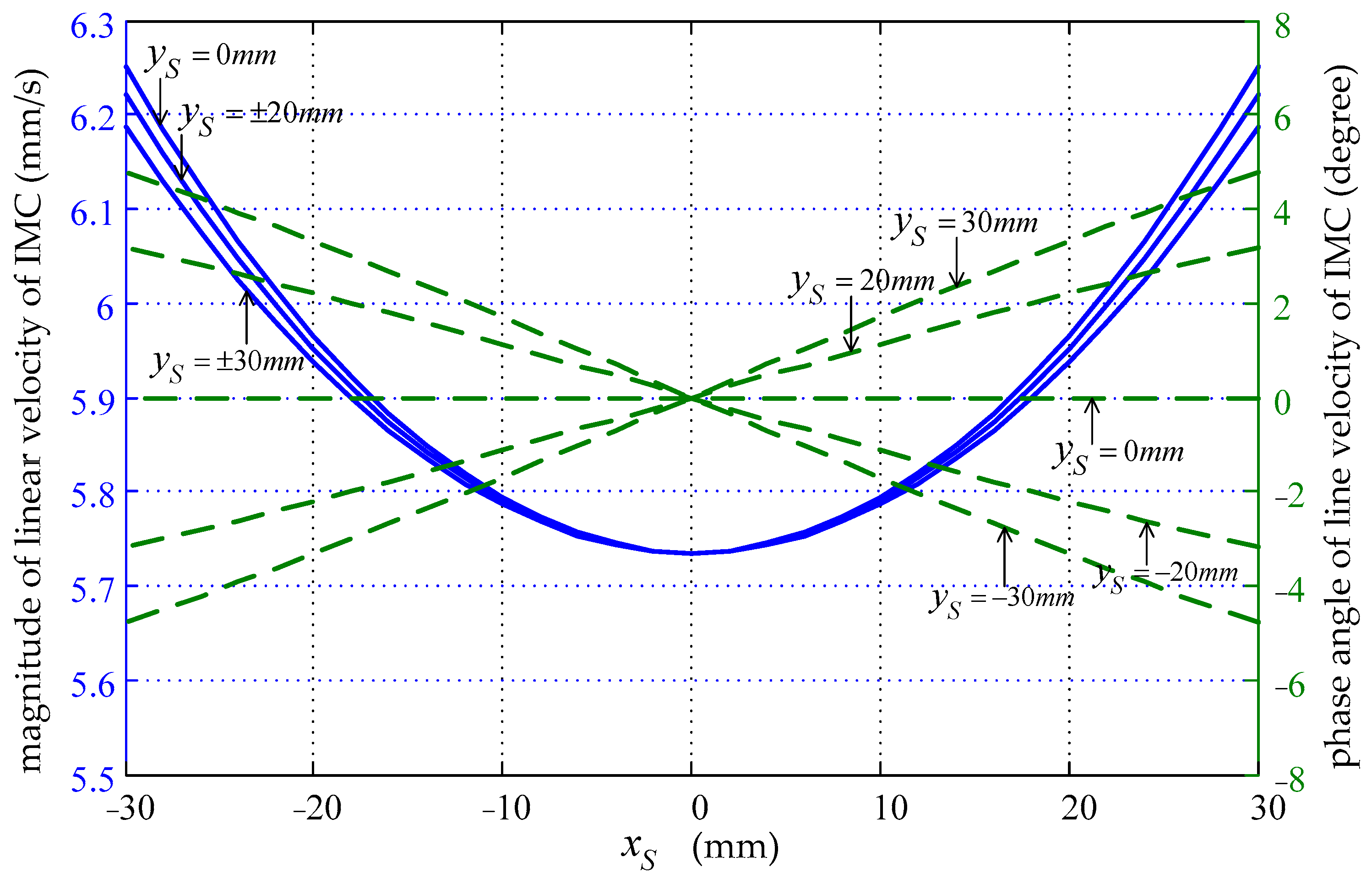
4.2.2. Distribution of the IMC Residual
5. Experiments and Results
5.1. Vertical Imaging Mode
5.2. Sweep Imaging Mode
6. Conclusions
Author Contributions
Funding
Conflicts of Interest
References
- Ben-Ezra, M. A digital gigapixel large-format tile-scan camera. IEEE Comput. Graph. Appl. 2011, 31, 49–61. [Google Scholar] [CrossRef] [PubMed]
- Ultracam Eagle Mark 3 One System for Endless Possibilities; Vexcel Imaging GmbH: Graz, Austria, 2019.
- Phase One Full Frame Aerial Cameras iXM-RS150F/iXM-RS100F; Phase One A/S: Frederiksberg, Denmark, 2018.
- Hilkert, J.M. Inertially stabilized platform technology Concepts and principles. IEEE Control Syst. Mag. 2008, 28, 26–46. [Google Scholar]
- Masten, M.K. Inertially stabilized platforms for optical imaging systems. IEEE Control Syst. Mag. 2008, 28, 47–64. [Google Scholar]
- Li, J.; Zhou, X. Study on Dynamic Modeling and Simulation for an Air-Based Three-Axis ISP System. Pervasive Comput. Signal Process. Appl. 2010, 175–178. [Google Scholar] [CrossRef]
- Hilkert, J.M. Kinematic algorithms for line-of-sight pointing and scanning using INS/GPS position and velocity information. Proc. SPIE 2005, 5810, 11–22. [Google Scholar]
- Miller, R.; Mooty, G.; Hilkert, J.M. Gimbal system configurations and line-of-sight control techniques for small UAV applications. Proc. SPIE 2013, 8713, 871308. [Google Scholar]
- Xiu, J.; Huang, P.; Li, J.; Zhang, H.; Li, Y. Line of sight and image motion compensation for step and stare imaging system. Appl. Sci. 2020, 10, 7119. [Google Scholar] [CrossRef]
- Helble, H.; Cameron, S. OATS: Oxford aerial tracking system. Robot. Auton. Syst. 2007, 55, 661–666. [Google Scholar] [CrossRef]
- Hurak, Z.; Rezac, M. Image-based pointing and tracking for inertially stabilized airborne camera platform. IEEE Trans. Control Syst. Technol. 2012, 20, 1146–1159. [Google Scholar] [CrossRef]
- Zhou, X.; Gong, G.; Li, J.; Zhang, H.; Yu, R. Decoupling control for a three-axis inertially stabilized platform used for aerial remote sensing. Trans. Inst. Meas. Control 2015, 37, 1135–1145. [Google Scholar] [CrossRef]
- Chen, L.; Mu, Q. A novel disturbance estimation and compensation approach applied to three-axis inertially stabilized platform. In Proceedings of the 2nd IEEE Advanced Information Management, Communicates, Electronic and Automation Control Conference (IMCEC), Xi’an, China, 25–27 May 2018; pp. 1420–1428. [Google Scholar] [CrossRef]
- Held, K.J.; Brendan, H.R. Tier II Plus Airborne EO sensor LOS control and image geolocation. IEEE Aerosp. Conf. 1997, 2, 377–405. [Google Scholar]
- Königseder, F.; Kemmetmüller, W.; Kugi, A. Attitude control strategy for a camera stabilization platform. Mechatronics 2017, 46, 60–69. [Google Scholar] [CrossRef]
- Liu, M.; Kuang, H.P.; Wu, H.S.; Liu, G.; Xiu, J.H.; Zhai, L.P. Survey on the image motion compensation technology. Electron. Opt. Control 2004, 11, 46–49. [Google Scholar]
- Olson, G.G. Image motion compensation with frame transfer CCDs. Proc. SPIE 2002, 4567, 153–160. [Google Scholar]
- Lu, P.; Li, Y.; Jin, L.; Li, G.; Wu, Y.; Wang, W. Image motion velocity field model of space camera with large field and analysis on three-axis attitude stability of satellite. Opt. Precis. Eng. 2016, 24, 2173–2182. [Google Scholar]
- Ren, H.; Hu, T.; Song, Y.; Sun, H.; Liu, B.; Gao, M. An improved electronic image motion compensation method of aerial full-frame-type area array CCD camera based on the CCD multiphase structure and hardware implementation. Sensors 2018, 18, 2632. [Google Scholar] [CrossRef] [PubMed] [Green Version]
- Wang, Y.; Yang, Y.; Kuang, H.; Yuan, D.; Yu, C.; Chen, J.; Hua, N.; Hou, H. High Performance Both in Low-Speed Tracking and Large-Angle Swing Scanning Based on Adaptive Nonsingular Fast Terminal Sliding Mode Control for a Three-Axis Universal Inertially Stabilized Platform. Sensors 2020, 20, 5785. [Google Scholar] [CrossRef] [PubMed]
- Wang, Y.; Tian, D.; Dai, M. Composite hierarchical anti-disturbance control with multisensor fusion for compact optoelectronic platforms. Sensors 2018, 18, 3190. [Google Scholar] [CrossRef] [PubMed] [Green Version]
- Che, X.; Tian, D.; Jia, P. Terminal sliding mode control with a novel reaching law and sliding mode disturbance observer for inertial stabilization imaging sensor. Sensors 2020, 20, 3107. [Google Scholar] [CrossRef] [PubMed]
- Noureldin, A.; Karamat, T.B.; Georgy, J. Fundamentals of Inertial Navigation, Satellite-Based Positioning and Their Integration; Springer: Berlin/Heidelberg, Germany, 2013; pp. 21–63. [Google Scholar]
- Phase One IXU/IXU-RS Aerial Camera Series; Phase One A/S: Frederiksberg, Denmark, 2016.

















| Aircraft Attitude (°) | Target Pointing (°) | Three-Axis Platform Gimbal Angles (°) | Two-Axis Platform Gimbal Angles (°) | |
|---|---|---|---|---|
| Image 1 | Φ = 3.0; Θ = 1.5; Ψ = 6.0 | ; | φ = −16.7; ω = −22.8; κ = −11.8 | φ = −21.0; ω = −19.0 |
| Image 2 | Φ = 2.0; Θ = −2.5; Ψ = −5.0 | ; | φ = −31.2; ω = −20.4; κ = −5.3 | φ = −32.8; ω = −17.5 |
| Image 3 | Φ = −2.5; Θ = 5.5; Ψ = 4.0 | ; | φ = −38.8; ω = −33.2; κ = −27.6 | φ = −47.7; ω = −14.0 |
| Image 1 | Image 2 | Image 3 | Image 4 | Image 5 | Image 6 | |
|---|---|---|---|---|---|---|
| Roll (°) | 50.57 | 0.02 | −50.56 | 50.54 | −0.02 | −50.55 |
| Pitch (°) | 0.26 | 0.21 | 0.25 | 0.31 | 0.27 | 0.28 |
| HD (°) | 0.06 | 0.01 | 0.03 | 0.01 | −0.03 | −0.04 |
Publisher’s Note: MDPI stays neutral with regard to jurisdictional claims in published maps and institutional affiliations. |
© 2021 by the authors. Licensee MDPI, Basel, Switzerland. This article is an open access article distributed under the terms and conditions of the Creative Commons Attribution (CC BY) license (https://creativecommons.org/licenses/by/4.0/).
Share and Cite
Yang, Y.; Yu, C.; Wang, Y.; Hua, N.; Kuang, H. Imaging Attitude Control and Image Motion Compensation Residual Analysis Based on a Three-Axis Inertially Stabilized Platform. Appl. Sci. 2021, 11, 5856. https://doi.org/10.3390/app11135856
Yang Y, Yu C, Wang Y, Hua N, Kuang H. Imaging Attitude Control and Image Motion Compensation Residual Analysis Based on a Three-Axis Inertially Stabilized Platform. Applied Sciences. 2021; 11(13):5856. https://doi.org/10.3390/app11135856
Chicago/Turabian StyleYang, Yongming, Chunfeng Yu, Yuanchao Wang, Nan Hua, and Haipeng Kuang. 2021. "Imaging Attitude Control and Image Motion Compensation Residual Analysis Based on a Three-Axis Inertially Stabilized Platform" Applied Sciences 11, no. 13: 5856. https://doi.org/10.3390/app11135856
APA StyleYang, Y., Yu, C., Wang, Y., Hua, N., & Kuang, H. (2021). Imaging Attitude Control and Image Motion Compensation Residual Analysis Based on a Three-Axis Inertially Stabilized Platform. Applied Sciences, 11(13), 5856. https://doi.org/10.3390/app11135856
