Power Stability Analysis and Evaluation Criteria of Dual-Infeed HVDC with LCC-HVDC and VSC-HVDC
Abstract
:1. Introduction
- The concept of the maximum power curve for analyzing the power stability of the single-infeed LCC-HVDC system is extended to the hybrid dual-infeed HVDC situation. The calculation method of the power stability margin of the hybrid dual-infeed HVDC system is proposed.
- Based on the power stability index, the influence of VSC-HVDC on the power stability of the hybrid dual-infeed HVDC system is investigated. Furthermore, it is verified that there is a relatively clear quantitative relationship between the power stability and the ESCR in the hybrid dual-infeed HVDC system. This provides a theoretical basis for using the ESCR index to guide the planning and operation of the hybrid dual-infeed HVDC system.
- The influence of system parameters on the CESCR is discussed, and the value range of CESCR is determined. Then, the evaluation criteria of power stability applicable to the two VSC-HVDC control modes are, respectively, proposed. The effectiveness of the calculation results is verified based on the electromechanical transient simulation software.
2. Mathematical Model of Hybrid Dual-Infeed HVDC Systems
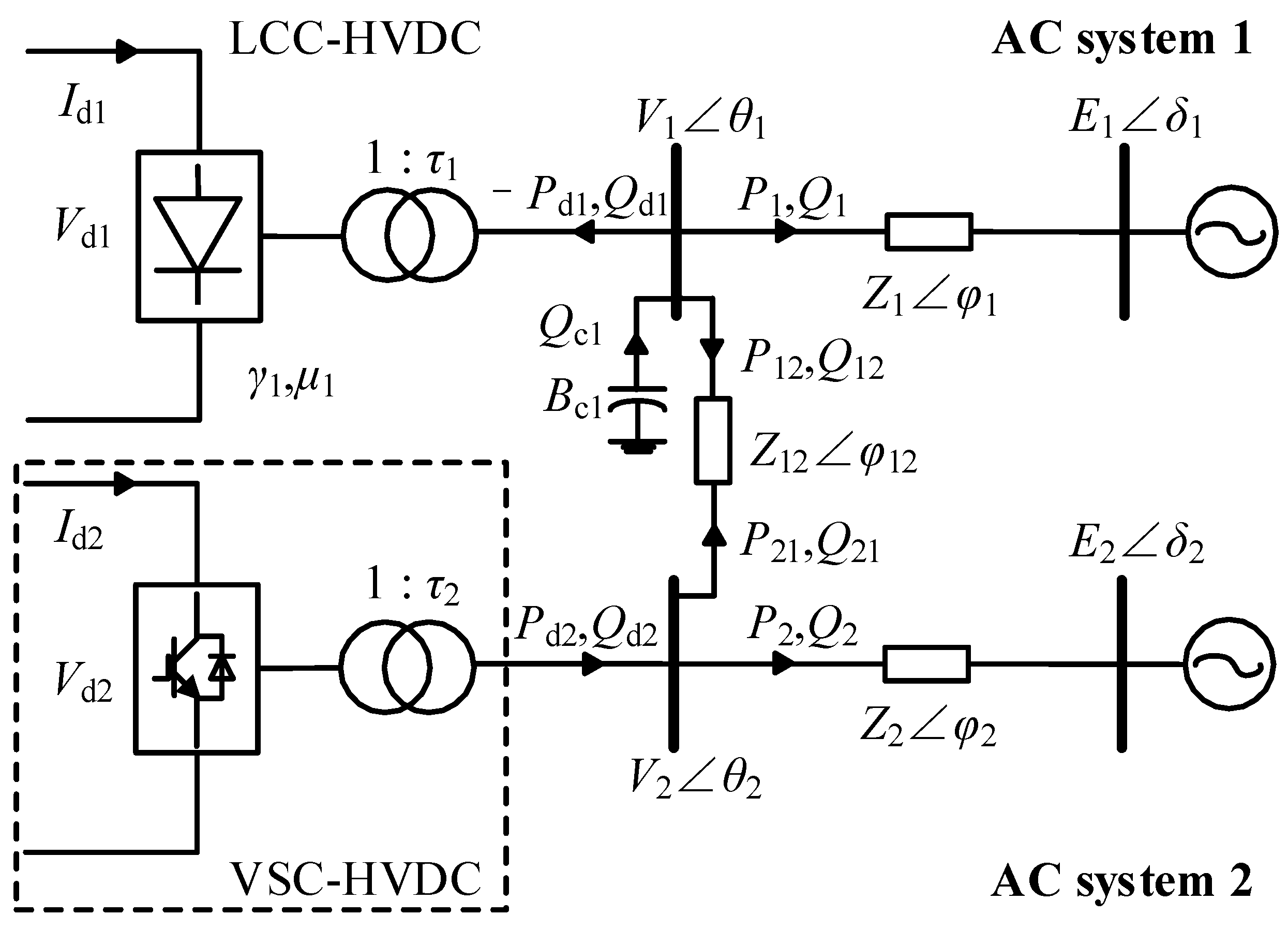
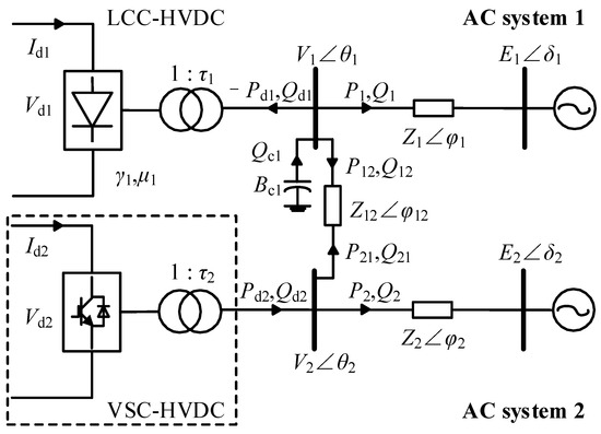
2.1. Description of the Mathematical Model
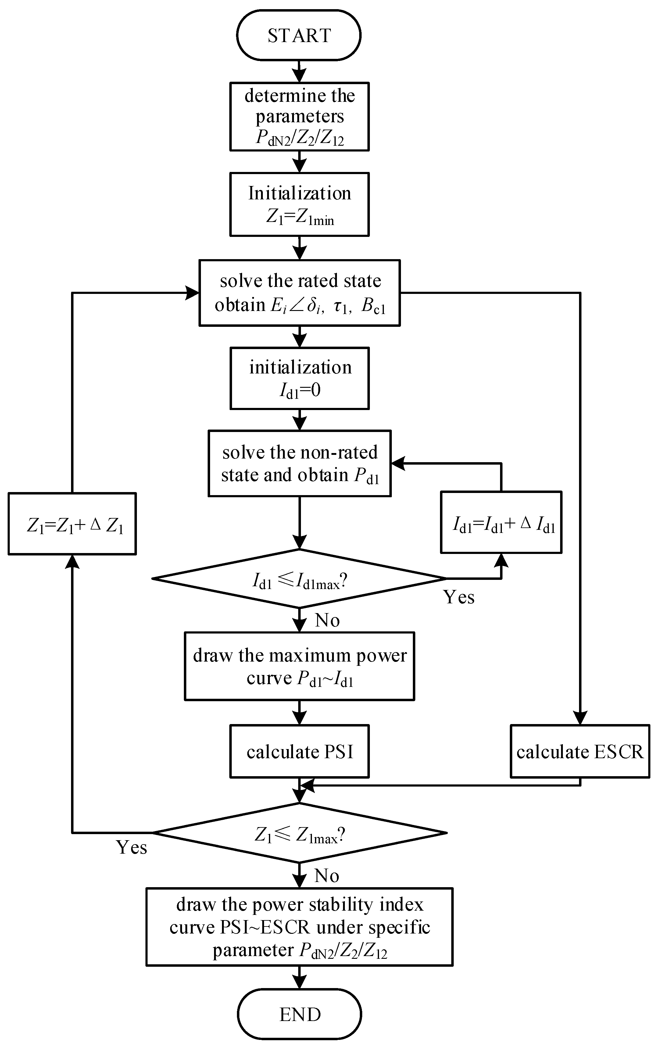
2.2. Model Solution
3. Power Stability Analysis of Hybrid Dual-Infeed HVDC Systems
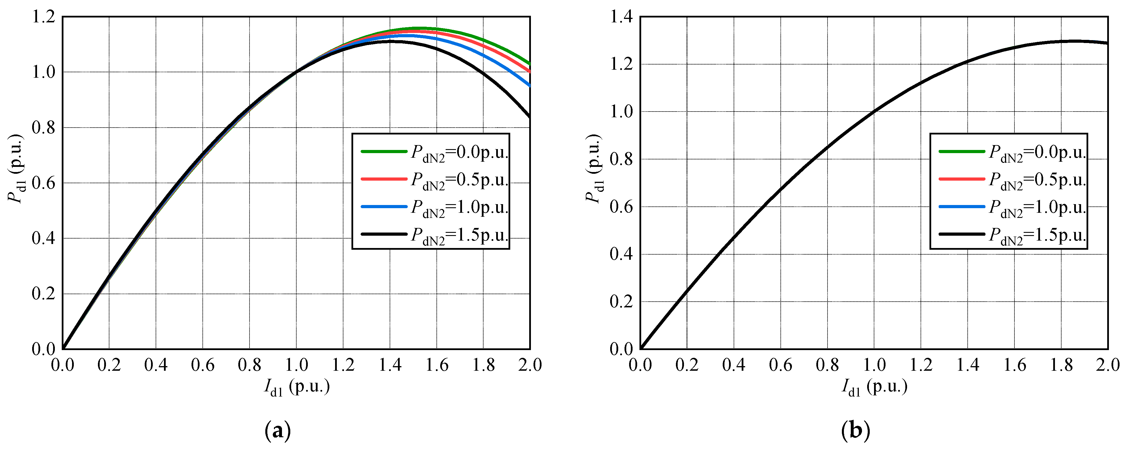
3.1. Concept of Maximum Power Curve
3.2. Power Stability Margin
3.3. The Influence of VSC-HVDC Control Mode on the Power Stability of the System
3.4. The Influence of VSC-HVDC Transmission Power on the Power Stability of the System
4. Evaluation Criteria for the Power Stability of Hybrid Dual-Infeed HVDC Systems
4.1. Effective Short Circuit Ratio (ESCR)
4.2. Study on the Effectiveness of Effective Short Circuit Ratio on the Power Stability of Hybrid Dual-Infeed HVDC Systems
4.2.1. Case 1: VSC-HVDC Constant Reactive Power Control Mode
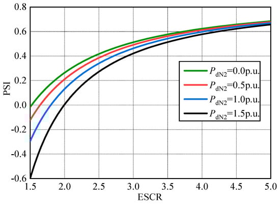
- The influence of parameter PdN2
- 2.
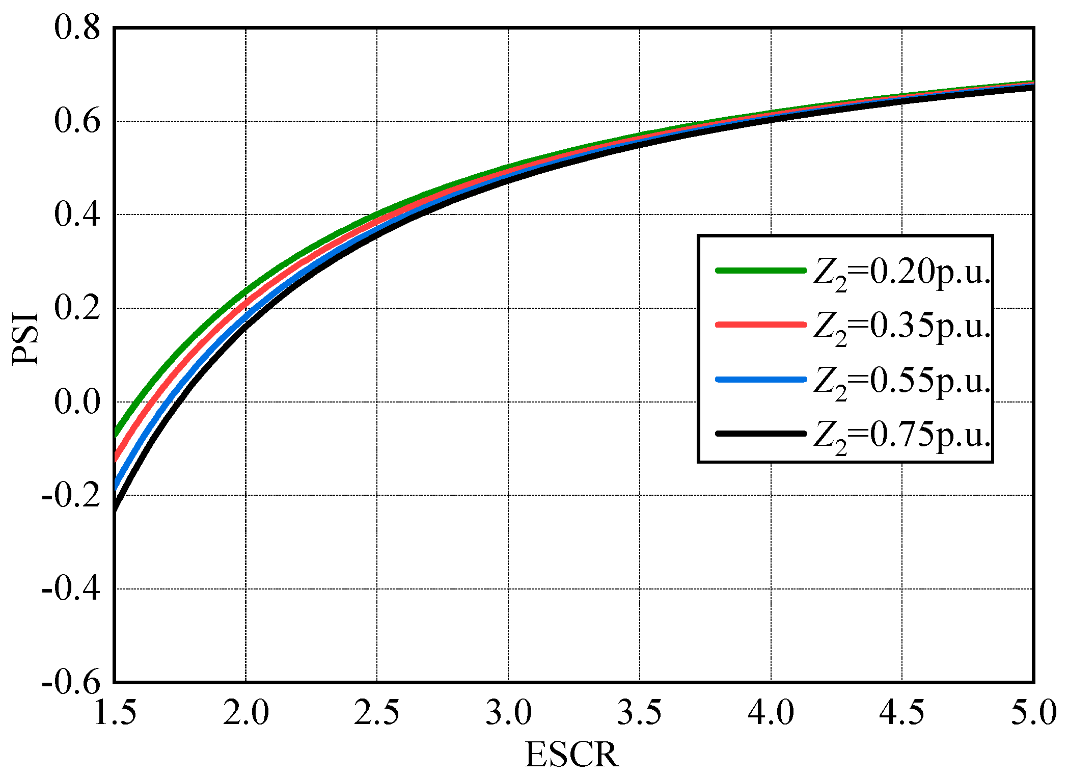
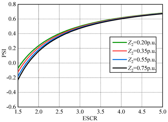
- The influence of parameter Z2
- 3.
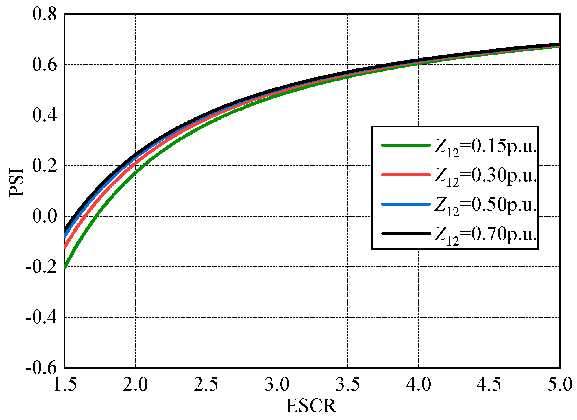
- The influence of parameter Z12
- (1)
- ESCR has a clear indicative function on the power stability of the hybrid dual-infeed HVDC system. The greater the ESCR is, the better the power stability of the system is.
- (2)
- The value of CESCR is affected by system parameters. The greater PdN2 is, the greater the CESCR is; the greater Z2 is, the greater the CESCR is; the greater Z12 is, the smaller the CESCR is.
- (3)
- The greater the ESCR is, the smaller the influence of system parameters on the indicative function of ESCR is. Among the above three system parameters, PdN2 has the greatest influence on the quantitative relationship between PSI and ESCR, and the variable range of CESCR is 1.52~2.0.
4.2.2. Case 2: VSC-HVDC Constant AC Voltage Control Mode
4.3. Evaluation Criteria for the Stable Operation of Hybrid Dual-Infeed HVDC Systems
- (1)
- When ESCR < 2.0, the HVDC system is difficult to operate stably.
- (2)
- When 2.0 < ESCR < 3.0, the HVDC system can operate stably, but the stability margin is low.
- (3)
- When ESCR > 3.0, the HVDC system can operate stably with high stability margin.
5. Simulation Verification
6. Conclusions
- (1)
- For the hybrid dual-infeed HVDC system, the strengthening effect of VSC-HVDC on the system is related to its control mode. When the VSC converter operates in constant AC voltage control mode, the system can be strengthened, while when it operates in constant reactive power control mode, the power stability of the system may be weakened.
- (2)
- If the VSC converter operates in constant AC voltage control mode, the transmission power of VSC-HVDC has almost no effect on the power stability of the system. If the VSC converter operates in constant reactive power control mode, the transmission power of VSC-HVDC has a significant effect on the stability of the system. The greater the transmission power is, the worse the power stability of the system is.
- (3)
- There is a relatively clear quantitative relationship between the power stability and the effective short circuit ratio in the hybrid dual-infeed HVDC system. The greater the ESCR is, the better the power stability of the system is. The ESCR index can still be used to evaluate the power stability of the hybrid dual-infeed HVDC system.
- (4)
- If the VSC-HVDC is in constant AC voltage control mode, the CESCR is slightly affected by system parameters, and its variable range is 1.56~1.65. Therefore, the power stability evaluation criteria of the single-infeed LCC-HVDC system can still be used in the hybrid dual-infeed HVDC system. It can be considered that the HVDC system cannot operate stably when ESCR is less than 1.5.
- (5)
- If the VSC-HVDC is in constant reactive power control mode, the CESCR is mainly affected by the transmission power of VSC-HVDC, and its variable range is 1.52~2.0. In order to ensure a sufficient stability margin, it can be considered that the HVDC system cannot operate stably when ESCR is less than 2.0 and can operate stably with a high power stability margin when ESCR is greater than 3.0.
Author Contributions
Funding
Institutional Review Board Statement
Informed Consent Statement
Data Availability Statement
Conflicts of Interest
Appendix A
| Item | Rated Value |
|---|---|
| Number of six-pulse bridges | 2 |
| Rated DC voltage (kV) | 500 |
| Rated DC current (kA) | 3.2 |
| Rated extinction angle (°) | 18 |
| Rated L-L RMS voltage of the AC system (kV) | 525 |
| Rated capacity of the single transformer (MVA) | 880 |
| Leakage reactance of transformer (%) | 18 |
| Impedance Parameter | Amplitude (p.u.) | Phase Angle (Rad) |
|---|---|---|
| Z1φ1 | 0.35 | π/2 |
| Z2φ2 | 0.35 | π/2 |
| Z12φ12 | 0.3 | π/2 |
References
- Prabna, K. Power System Stability and Control; McGraw-Hill: New York, NY, USA, 1994. [Google Scholar]
- Bahrman, M.P.; Johnson, B.K. The ABCs of HVDC Transmission Technologies. IEEE Power Energy Mag. 2007, 5, 32–44. [Google Scholar] [CrossRef]
- Huang, D.; Shu, Y.; Ruan, J.; Hu, Y. Ultra High Voltage Transmission in China: Developments, Current Status and Future Prospects. Proc. IEEE 2009, 97, 555–583. [Google Scholar] [CrossRef]
- Lu, S.; Xu, Z.; Xiao, L.; Jiang, W.; Bie, X. Evaluation and Enhancement of Control Strategies for VSC Stations Under Weak Grid Strengths. IEEE Trans. Power Syst. 2018, 33, 1836–1847. [Google Scholar] [CrossRef]
- Zhang, Z.; Lee, J.; Jang, G. Improved Control Strategy of MMC–HVDC to Improve Frequency Support of AC System. Appl. Sci. 2020, 10, 7282. [Google Scholar] [CrossRef]
- Jiang, B.; Wang, Z. The Key Technologies of VSC-MTDC and Its Application in China. Renew. Sustain. Energy Rev. 2016, 62, 297–304. [Google Scholar]
- Hu, K.; Peng, J.; Wang, Z. Research on the Interaction between Luxi Back-to-Back and Yongfu HVDe. In Proceedings of the 2018 China International Conference on Electricity Distribution (CICED), Tianjin, China, 17–19 September 2018; pp. 1127–1131. [Google Scholar]
- Zhu, Y.; Guo, Q.; Li, C.; Chang, D.; Chen, D.; Zhu, Y. Research on Power Modulation Strategy for MMC-HVDC and LCC-HVDC in Parallel HVDC System. In Proceedings of the 2019 IEEE 3rd Conference on Energy Internet and Energy System Integration (EI2), Changsha, China, 8–10 November 2019; pp. 1456–1461. [Google Scholar]
- IEEE Guide for Planning DC Links Terminating at AC Locations Having Low Short-Circuit Capacities. In IEEE Standard 1204–1997; IEEE: Manhattan, NY, USA, 1997.
- Aik, D.L.H.; Andersson, G. Power Stability Analysis of Multi-Infeed HVDC Systems. IEEE Trans. Power Deliv. 1998, 13, 923–931. [Google Scholar] [CrossRef]
- Zhou, B.; Rao, H.; Wu, W.; Wang, T.; Hong, C.; Huang, D.; Yao, W.; Su, X.; Mao, T. Principle and Application of Asynchronous Operation of China Southern Power Grid. IEEE J. Emerg. Sel. Top. Power Electron. 2018, 6, 1032–1040. [Google Scholar] [CrossRef]
- Xu, Z. Dynamic Behavior Analysis of AC-DC Power System; China Machine Press: Beijing, China, 2004. [Google Scholar]
- Zhang, X.; Chen, C. Maximum Available Power of Multi-infeed Hvdc System Analysed by Sensitivity Method. IET Gener. Transm. Distrib. 2014, 8, 473–479. [Google Scholar] [CrossRef]
- CIGRE Working Group B4.41. Systems with Multiple DC Infeed; CIGRE: Paris, France, 2008. [Google Scholar]
- Chen, X.; Guan, L. Research on Limitation of the Multi-Infeed Short Circuit Ratio. In Proceedings of the 2016 IEEE PES Asia-Pacific Power and Energy Engineering Conference (APPEEC), Xi’an, China, 25–28 October 2016; IEEE: Manhattan, NY, USA; pp. 712–715. [Google Scholar]
- Xia, C.; Wang, Z.; Zhou, B.; Nie, J.; Hong, C. Effects of VSC-HVDC on Receiving-end System Strength of LCC-HVDC. Power Syst. Technol. 2019, 43, 2031–2038. [Google Scholar]
- Guo, C.; Zhang, Y.; Gole, A.M.; Zhao, C. Analysis of Dual-Infeed HVDC with LCC–HVDC and VSC–HVDC. IEEE Trans. Power Deliv. 2012, 27, 1529–1537. [Google Scholar] [CrossRef]
- Tian, B.; Yuan, Z.; Yu, X.; Rao, H.; Zhou, B.; Li, H.; Nie, J. Influence of VSC-HVDC on the Strength of LCC-HVDC Receiving Power Grid in Hybrid Dual-infeed HVDC System. Proc. CSEE 2019, 39, 3443–3454. [Google Scholar]
- Liu, Y.; Chen, Z. Short Circuit Ratio Analysis of Multi-Infeed HVDC System with a VSC-HVDC Link. In Proceedings of the IECON 2011—37th Annual Conference of the IEEE Industrial Electronics Society, Melbourne, Australia, 7–10 November 2011; pp. 949–954. [Google Scholar]
- Xia, C.; Li, X.; Li, S.; Zhou, B. Definition and Analysis of Receiving System Voltage Support Strength Factor. IEEE Access 2019, 7, 134206–134214. [Google Scholar] [CrossRef]
- Ni, X.; Gole, A.M.; Zhao, C.; Guo, C. An Improved Measure of AC System Strength for Performance Analysis of Multi-Infeed HVdc Systems Including VSC and LCC Converters. IEEE Trans. Power Deliv. 2018, 33, 169–178. [Google Scholar] [CrossRef]
- Huang, H. AC/DC Power System Transient Stability Analysis and Control. Ph.D. Dissertation, Zhejiang University, Hangzhou, China, 2014. [Google Scholar]
- Liu, S.; Xu, Z.; Hua, W.; Tang, G.; Xue, Y. Electromechanical Transient Modeling of Modular Multilevel Converter Based Multi-Terminal HVDC Systems. IEEE Trans. Power Syst. 2014, 29, 72–83. [Google Scholar] [CrossRef]
- Xiao, L.; Li, Y.; Xiao, H.; Zhang, Z.; Xu, Z. Electromechanical Transient Modeling of Line Commutated Converter-Modular Multilevel Converter-Based Hybrid Multi-Terminal High Voltage Direct Current Transmission Systems. Energies 2018, 11, 2102. [Google Scholar] [CrossRef] [Green Version]
- Kwon, D.-H.; Moon, H.-J.; Kim, R.-G.; Kim, C.-G.; Moon, S.-I. Modeling of CIGRE Benchmark HVDC System Using PSS/E Compared with PSCAD. In Proceedings of the 2015 5th International Youth Conference on Energy (IYCE), Pisa, Italy, 27–30 May 2015; IEEE: Manhattan, NY, USA; pp. 1–8. [Google Scholar]
- Wu, X.; Xu, Z.; Yang, J. Simulation Research on Switching Process of Reactive Power Equipment in DC Converter Station. In Proceedings of the 2019 IEEE Innovative Smart Grid Technologies—Asia (ISGT Asia), Chengdu, China, 21–24 May 2019; pp. 2308–2313. [Google Scholar]









| Control Mode | LCC | LCC + VSC (Q) | LCC + VSC (V) |
|---|---|---|---|
| PSI | 0.606 | 0.577 | 0.698 |
| Control Mode | ESCR | Powe Stability Index (PSI) | Power Stability | |
|---|---|---|---|---|
| Numerical Calculation | PSS/E Simulation | |||
| constant reactive power control (Pd2ref = 1.5 p.u., Qd2ref = 0 p.u., Z12 = 0.3 p.u.) | 2.18 | 0.12 | 0.12 | weak |
| 2.32 | 0.20 | 0.21 | weak | |
| 2.60 | 0.31 | 0.32 | weak | |
| 3.02 | 0.43 | 0.43 | strong | |
| 4.27 | 0.60 | 0.61 | strong | |
| constant AC voltage control (Pd2ref = 1.5 p.u., V2ref = 1.0 p.u., Z12 = 0.6 p.u.) | 1.84 | 0.12 | 0.12 | weak |
| 1.98 | 0.20 | 0.22 | weak | |
| 2.25 | 0.31 | 0.32 | weak | |
| 2.60 | 0.41 | 0.42 | strong | |
| 3.84 | 0.60 | 0.61 | strong | |
Publisher’s Note: MDPI stays neutral with regard to jurisdictional claims in published maps and institutional affiliations. |
© 2021 by the authors. Licensee MDPI, Basel, Switzerland. This article is an open access article distributed under the terms and conditions of the Creative Commons Attribution (CC BY) license (https://creativecommons.org/licenses/by/4.0/).
Share and Cite
Wu, X.; Xu, Z.; Zhang, Z. Power Stability Analysis and Evaluation Criteria of Dual-Infeed HVDC with LCC-HVDC and VSC-HVDC. Appl. Sci. 2021, 11, 5847. https://doi.org/10.3390/app11135847
Wu X, Xu Z, Zhang Z. Power Stability Analysis and Evaluation Criteria of Dual-Infeed HVDC with LCC-HVDC and VSC-HVDC. Applied Sciences. 2021; 11(13):5847. https://doi.org/10.3390/app11135847
Chicago/Turabian StyleWu, Xinglong, Zheng Xu, and Zheren Zhang. 2021. "Power Stability Analysis and Evaluation Criteria of Dual-Infeed HVDC with LCC-HVDC and VSC-HVDC" Applied Sciences 11, no. 13: 5847. https://doi.org/10.3390/app11135847
APA StyleWu, X., Xu, Z., & Zhang, Z. (2021). Power Stability Analysis and Evaluation Criteria of Dual-Infeed HVDC with LCC-HVDC and VSC-HVDC. Applied Sciences, 11(13), 5847. https://doi.org/10.3390/app11135847

