Image Retrieval Method Based on Image Feature Fusion and Discrete Cosine Transform
Abstract
1. Introduction
- An image retrieval method based on CNN-DCT is proposed. Through DCT, the correlation of CNN coefficients can be reduced. DCT has good energy accumulation characteristics and can still maintain performance during dimensionality reduction.
- A combination of shallow and deep feature fusion methods is used. Deep features are extracted from a deep neural network centered on objects and places. It has better image retrieval performance than using a single CNN feature.
- Other factors that affect the experimental results are analyzed, such as measurement metrics, neural network model structure, feature extraction location, feature dimensionality reduction methods, etc.
2. Related Work
2.1. HSV Color Space and Color Quantization
2.2. HSVCM Features
2.3. Quantized LBP Features
2.4. DTCWT Features
2.5. SVD
2.6. ResNet Network Architecture
2.7. DCT
3. Materials and Methods
3.1. Shallow Feature Fusion-Based Method
3.1.1. HSV Feature
3.1.2. Quantized LBP-SVD Feature
3.1.3. DTCWT Feature
3.1.4. Shallow Feature Fusion
3.1.5. Why We Choose Them?
3.2. Deep Feature Fusion-Based Method
3.2.1. Place-Centric Networks
3.2.2. Deep Feature Extraction
3.2.3. Deep Feature Fusion
3.3. Proposed Image Retrieval System
- Unlike the method that replaces the original image with DCT coefficients for CNN training [56], this paper uses DCT transform to reduce the features of the Average Pooling layer of CNN features.
- In addition to using ObjCnn features generated by object recognition, this method also combines PlaCnn features generated by scene recognition to generate fused deep features.
- This method also uses global shallow features and uses SVD to reduce the dimensionality of ULBP and DTCWT.
- Weights respectively combine the shallow features, the deep features, the shallow features, and the deep features.
4. Experimental Results and Analyses
4.1. Evaluation Methods
4.1.1. Similarity Measure
4.1.2. Precision and Recall
4.2. Experimental Results
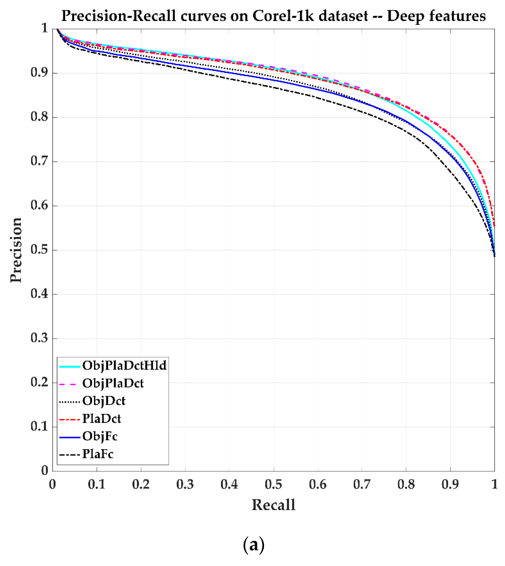
4.2.1. Corel-1k Dataset
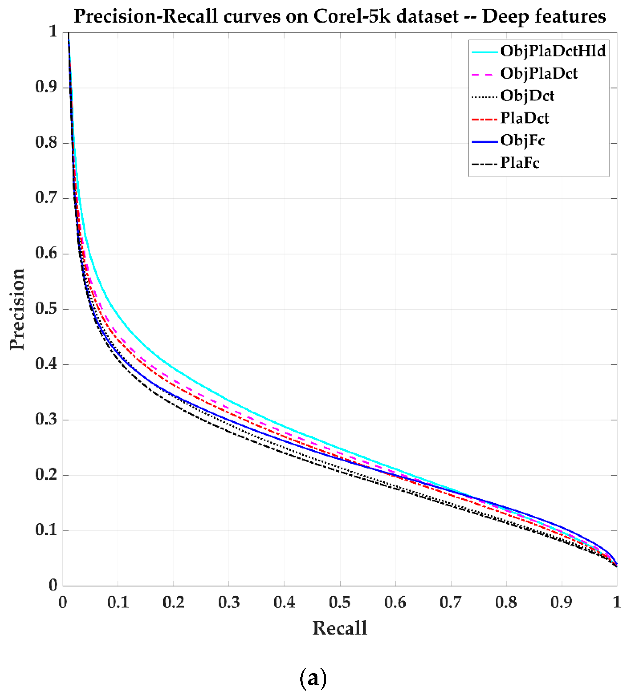
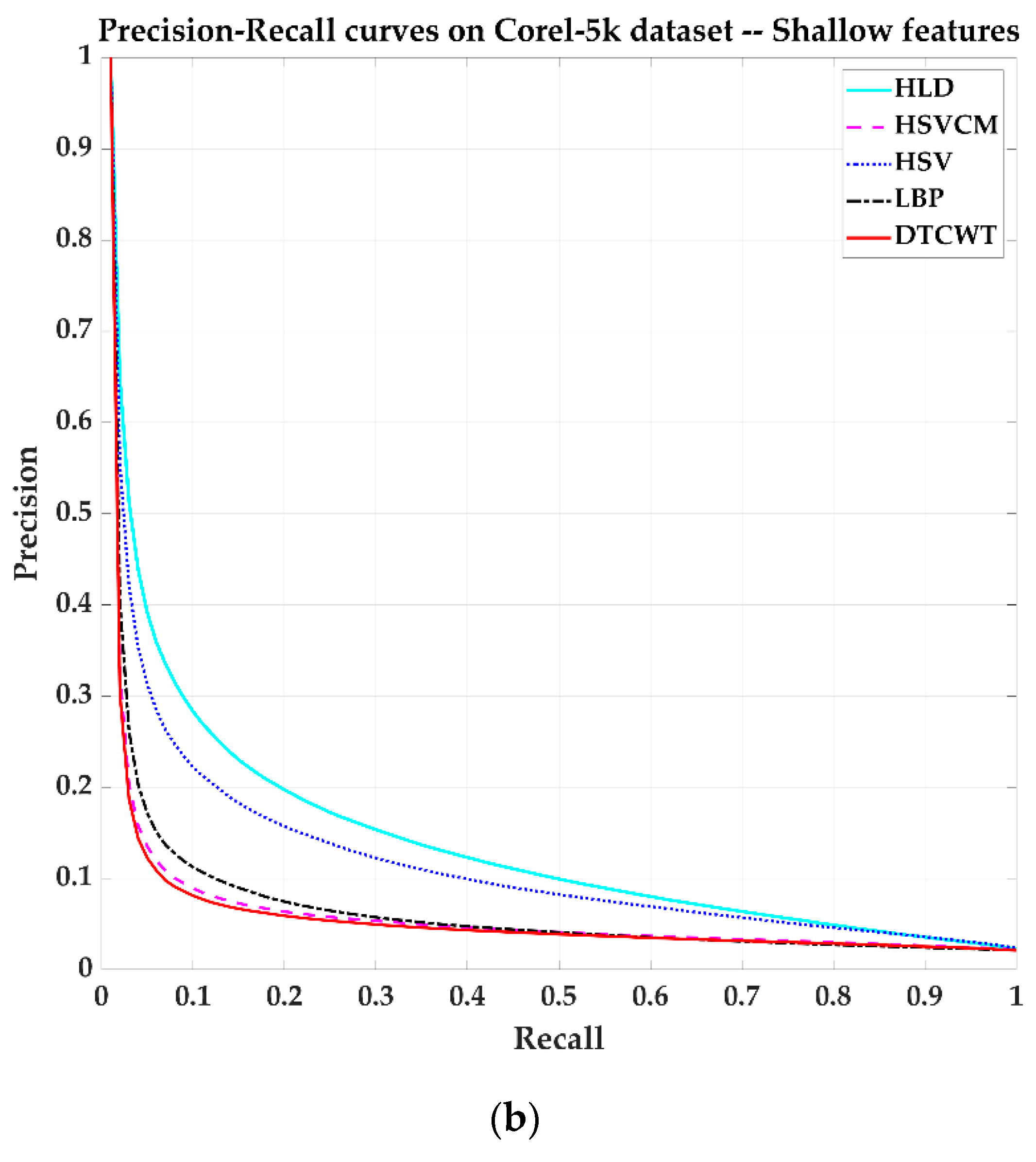
4.2.2. Corel-5k Dataset
4.2.3. Corel-DB80 Dataset
4.2.4. Oxford building Dataset
4.3. Influence of Variable Factors on the Experiment
4.3.1. Similarity Metrics
4.3.2. CNN Architecture
4.3.3. Deep Features from Different Layers
4.3.4. Feature Dimensionality Reduction
AvgPool-DCT
AvgPool-PCA
Comparison of AvgPool-PCA and AvgPool-DCT
4.4. Experimental Results Using PCA
4.5. Discussion
5. Conclusions
Author Contributions
Funding
Institutional Review Board Statement
Informed Consent Statement
Data Availability Statement
Conflicts of Interest
References
- Alkhawlani, M.; Elmogy, M.; El Bakry, H. Text-based, content-based, and semantic-based image retrievals: A survey. Int. J. Comput. Inf. Technol. 2015, 4, 58–66. [Google Scholar]
- Chang, E.; Goh, K.; Sychay, G.; Wu, G. CBSA: Content-based soft annotation for multimodal image retrieval using bayes point machines. IEEE Trans. Circuits Syst. Video Technol. 2003, 13, 26–38. [Google Scholar] [CrossRef]
- Yasmin, M.; Mohsin, S.; Sharif, M. Intelligent Image Retrieval Techniques: A Survey. J. Appl. Res. Technol. 2014, 12, 87–103. [Google Scholar] [CrossRef]
- Tkalcic, M.; Tasic, J.F. Colour spaces: Perceptual, historical and applicational background. In Proceedings of the EUROCON 2003, Ljubljana, Slovenia, 22–24 September 2003; Volume 1, pp. 304–308. [Google Scholar]
- Sural, S.; Qian, G.; Pramanik, S. Segmentation and histogram generation using the HSV color space for image retrieval. In Proceedings of the International Conference on Image Processing, Rochester, NY, USA, 22–25 September 2002; Volume 2, p. II. [Google Scholar]
- Subrahmanyam, M.; Wu, Q.J.; Maheshwari, R.; Balasubramanian, R. Modified color motif co-occurrence matrix for image indexing and retrieval. Comput. Electr. Eng. 2013, 39, 762–774. [Google Scholar] [CrossRef]
- Pass, G.; Zabih, R.; Miller, J. Comparing Images Using Color Coherence Vectors. In Proceedings of the Fourth ACM International Conference on Multimedia, Boston, MA, USA, 18–22 November 1996; pp. 65–73. [Google Scholar]
- Ahonen, T.; Hadid, A.; Pietikäinen, M. Face recognition with local binary patterns. In Proceedings of the European Conference on Computer Vision, Prague, Czech Republic, 11–14 May 2004; pp. 469–481. [Google Scholar]
- Murala, S.; Maheshwari, R.P.; Balasubramanian, R. Local Tetra Patterns: A New Feature Descriptor for Content-Based Image Retrieval. IEEE Trans. Image Process. 2012, 21, 2874–2886. [Google Scholar] [CrossRef] [PubMed]
- Murala, S.; Maheshwari, R.P.; Balasubramanian, R. Directional local extrema patterns: A new descriptor for content based image retrieval. Int. J. Multimed. Inf. Retr. 2012, 1, 191–203. [Google Scholar] [CrossRef]
- Li, C.; Huang, Y.; Zhu, L. Color texture image retrieval based on Gaussian copula models of Gabor wavelets. Pattern Recognit. 2017, 64, 118–129. [Google Scholar] [CrossRef]
- Nazir, A.; Ashraf, R.; Hamdani, T.; Ali, N. Content based image retrieval system by using HSV color histogram, discrete wavelet transform and edge histogram descriptor. In Proceedings of the 2018 International Conference on Computing, Mathematics and Engineering Technologies (iCoMET), Sukkur, Pakistan, 3–4 March 2018; pp. 1–6. [Google Scholar]
- Vetova, S.; Ivanov, I. Comparative analysis between two search algorithms using DTCWT for content-based image retrieval. In Proceedings of the 3rd International Conference on Circuits, Systems, Communications, Computers and Applications, Seville, Spain, 17–19 March 2015; pp. 113–120. [Google Scholar]
- Belhallouche, L.; Belloulata, K.; Kpalma, K. A New Approach to Region Based Image Retrieval using Shape Adaptive Discrete Wavelet Transform. Int. J. Image Graph. Signal Process. 2016, 8, 1–14. [Google Scholar] [CrossRef]
- Yang, M.; Kpalma, K.; Ronsin, J. Shape-based invariant feature extraction for object recognition. In Advances in Reasoning-Based Image Processing Intelligent Systems; Springer: Berlin/Heidelberg, Germany, 2012; pp. 255–314. [Google Scholar]
- Zhang, D.; Lu, G. Shape-based image retrieval using generic Fourier descriptor. Signal Process. Image Commun. 2002, 17, 825–848. [Google Scholar] [CrossRef]
- Ahmed, K.T.; Irtaza, A.; Iqbal, M.A. Fusion of local and global features for effective image extraction. Appl. Intell. 2017, 47, 526–543. [Google Scholar] [CrossRef]
- Lowe, D.G. Distinctive Image Features from Scale-Invariant Keypoints. Int. J. Comput. Vis. 2004, 60, 91–110. [Google Scholar] [CrossRef]
- Bay, H.; Tuytelaars, T.; Van Gool, L. Surf: Speeded up robust features. In Proceedings of the European Conference on Computer Vision, Graz, Austria, 7–13 May 2006; pp. 404–417. [Google Scholar]
- Dalal, N.; Triggs, B. Histograms of oriented gradients for human detection. In Proceedings of the IEEE Computer Society Conference on Computer Vision and Pattern Recognition (CVPR’05), San Diego, CA, USA, 20–25 June 2005; Volume 1, pp. 886–893. [Google Scholar]
- Torralba, A.; Murphy, K.P.; Freeman, W.T.; Rubin, M.A. Context-based vision system for place and object recognition. In Proceedings of the IEEE International Conference on Computer Vision, Nice, France, 13–16 October 2003; Volume 2, p. 273. [Google Scholar]
- Poursistani, P.; Nezamabadi-pour, H.; Moghadam, R.A.; Saeed, M. Image indexing and retrieval in JPEG compressed domain based on vector quantization. Math. Comput. Model. 2013, 57, 1005–1017. [Google Scholar] [CrossRef]
- Arandjelović, R.; Zisserman, A. Three things everyone should know to improve object retrieval. In Proceedings of the 2012 IEEE Conference on Computer Vision and Pattern Recognition, Providence, RI, USA, 16–21 June 2012; pp. 2911–2918. [Google Scholar]
- Guo, J.M.; Prasetyo, H. Content-based image retrieval using features extracted from halftoning-based block truncation coding. IEEE Trans. Image Process. 2014, 24, 1010–1024. [Google Scholar]
- Sivic, J.; Zisserman, A. Efficient Visual Search of Videos Cast as Text Retrieval. IEEE Trans. Pattern Anal. Mach. Intell. 2009, 31, 591–606. [Google Scholar] [CrossRef]
- Arandjelovic, R.; Zisserman, A. All about VLAD. In Proceedings of the IEEE conference on Computer Vision and Pattern Recognition, Portland, OR, USA, 23–28 June 2013; pp. 1578–1585. [Google Scholar]
- Ashraf, R.; Bashir, K.; Irtaza, A.; Mahmood, M.T. Content Based Image Retrieval Using Embedded Neural Networks with Bandletized Regions. Entropy 2015, 17, 3552–3580. [Google Scholar] [CrossRef]
- Liu, H.; Li, B.; Lv, X.; Huang, Y. Image Retrieval Using Fused Deep Convolutional Features. Procedia Comput. Sci. 2017, 107, 749–754. [Google Scholar] [CrossRef]
- LeCun, Y.; Bottou, L.; Bengio, Y.; Haffner, P. Gradient-based learning applied to document recognition. Proc. IEEE 1998, 86, 2278–2324. [Google Scholar] [CrossRef]
- Kanwal, K.; Ahmad, K.T.; Khan, R.; Abbasi, A.T.; Li, J. Deep Learning Using Symmetry, FAST Scores, Shape-Based Filtering and Spatial Mapping Integrated with CNN for Large Scale Image Retrieval. Symmetry 2020, 12, 612. [Google Scholar] [CrossRef]
- Cao, Z.; Shaomin, M.U.; Yongyu, X.U.; Dong, M. Image retrieval method based on CNN and dimension reduction. In Proceedings of the 2018 International Conference on Security, Pattern Analysis, and Cybernetics (SPAC), Jinan, China, 14–17 December 2018; pp. 441–445. [Google Scholar]
- ElAlami, M. A new matching strategy for content based image retrieval system. Appl. Soft Comput. 2014, 14, 407–418. [Google Scholar] [CrossRef]
- Zhou, J.-X.; Liu, X.-D.; Xu, T.-W.; Gan, J.-H.; Liu, W.-Q. A new fusion approach for content based image retrieval with color histogram and local directional pattern. Int. J. Mach. Learn. Cybern. 2016, 9, 677–689. [Google Scholar] [CrossRef]
- Ahmed, K.T.; Ummesafi, S.; Iqbal, A. Content based image retrieval using image features information fusion. Inf. Fusion 2019, 51, 76–99. [Google Scholar] [CrossRef]
- Dawood, H.; Alkinani, M.H.; Raza, A.; Dawood, H.; Mehboob, R.; Shabbir, S. Correlated microstructure descriptor for image retrieval. IEEE Access 2019, 7, 55206–55228. [Google Scholar] [CrossRef]
- Niu, D.; Zhao, X.; Lin, X.; Zhang, C. A novel image retrieval method based on multi-features fusion. Signal Process. Image Commun. 2020, 87, 115911. [Google Scholar] [CrossRef]
- Bella, M.I.T.; Vasuki, A. An efficient image retrieval framework using fused information feature. Comput. Electr. Eng. 2019, 75, 46–60. [Google Scholar] [CrossRef]
- Yu, H.; Li, M.; Zhang, H.J.; Feng, J. Color texture moments for content-based image retrieval. In Proceedings of the International Conference on Image Processing, Rochester, NY, USA, 22–25 September 2002; Volume 3, pp. 929–932. [Google Scholar]
- Ahmed, N.; Natarajan, T.; Rao, K.R. Discrete Cosine Transform. IEEE Trans. Comput. 1974, 23, 90–93. [Google Scholar] [CrossRef]
- Alter, O.; Brown, P.O.; Botstein, D. Singular value decomposition for genome-wide expression data processing and modeling. Proc. Natl. Acad. Sci. USA 2000, 97, 10101–10106. [Google Scholar] [CrossRef] [PubMed]
- Jiang, D.; Kim, J. Texture Image Retrieval Using DTCWT-SVD and Local Binary Pattern Features. JIPS 2017, 13, 1628–1639. [Google Scholar]
- Loesdau, M.; Chabrier, S.; Gabillon, A. Hue and saturation in the RGB color space. In International Conference on Image and Signal Processing; Springer: Cham, Switzerland, 2014; pp. 203–212. [Google Scholar]
- Ojala, T.; Pietikainen, M.; Maenpaa, T. Multiresolution gray-scale and rotation invariant texture classification with local binary patterns. IEEE Trans. Pattern Anal. Mach. Intell. 2002, 24, 971–987. [Google Scholar] [CrossRef]
- Selesnick, I.W.; Baraniuk, R.G.; Kingsbury, N.G. The dual-tree complex wavelet transform. IEEE Signal Process. Mag. 2005, 22, 123–151. [Google Scholar]
- He, K.; Zhang, X.; Ren, S.; Sun, J. Deep residual learning for image recognition. In Proceedings of the IEEE Conference on Computer Vision and Pattern Recognition, Las Vegas, NV, USA, 27–30 June 2016; pp. 770–778. [Google Scholar]
- Loeffler, C.; Ligtenberg, A.; Moschytz, G. Practical, fast 1-D DCT algorithms with 11 multiplications. In Proceedings of the International Conference on Acoustics, Speech, and Signal Processing, Glasgow, UK, 23–26 May 1989; pp. 988–991. [Google Scholar]
- Lee, S.M.; Xin, J.H.; Westland, S. Evaluation of image similarity by histogram intersection. Color Res. Appl. 2005, 30, 265–274. [Google Scholar] [CrossRef]
- Liu, L.; Fieguth, P.; Wang, X.; Pietikäinen, M.; Hu, D. Evaluation of LBP and deep texture descriptors with a new robustness benchmark. In Proceedings of the European Conference on Computer Vision, Amsterdam, The Netherlands, 11–14 October 2016; Springer: Cham, Switzerland, 2016; pp. 69–86. [Google Scholar]
- Cui, D.L.; Liu, Y.F.; Zuo, J.L.; Xua, B. Modified image retrieval algorithm based on DT-CWT. J. Comput. Inf. Syst. 2011, 7, 896–903. [Google Scholar]
- Wang, F.-Y.; Lu, R.; Zeng, D. Artificial Intelligence in China. IEEE Intell. Syst. 2008, 23, 24–25. [Google Scholar]
- Hsu, W.-Y.; Lee, Y.-C. Rat Brain Registration Using Improved Speeded Up Robust Features. J. Med. Biol. Eng. 2017, 37, 45–52. [Google Scholar] [CrossRef]
- Hu, B.; Huang, H. Visual Odometry Implementation and Accuracy Evaluation Based on Real-time Appearance-based Mapping. Sensors Mater. 2020, 32, 2261. [Google Scholar]
- Zhou, B.; Lapedriza, A.; Khosla, A.; Oliva, A.; Torralba, A. Places: A 10 Million Image Database for Scene Recognition. IEEE Trans. Pattern Anal. Mach. Intell. 2018, 40, 1452–1464. [Google Scholar] [CrossRef]
- Jiang, D.; Kim, J. Video searching and fingerprint detection by using the image query and PlaceNet-based shot boundary detection method. Appl. Sci. 2018, 8, 1735. [Google Scholar] [CrossRef]
- MathWorks Deep Learning Toolbox Team. Deep Learning Toolbox Model for ResNet-50 Network. Available online: https://www.mathworks.com/matlabcentral/fileexchange/?q=profileid:8743315 (accessed on 19 June 2021).
- Checinski, K.; Wawrzynski, P. DCT-Conv: Coding filters in convolutional networks with Discrete Cosine Transform. arXiv 2020, arXiv:2001.08517. [Google Scholar]
- Cosine Similarity. Available online: https://en.wikipedia.org/wiki/Cosine_similarity (accessed on 19 June 2021).
- Tabak, J. Geometry: The Language of Space and Form; Infobase Publishing: New York, NY, USA, 2014. [Google Scholar]
- Wikipedia. Manhattan Distance. Available online: https://en.wikipedia.org/wiki/Taxicab_geometry (accessed on 19 June 2021).
- Wikipedia. Minkowski Distance. Available online: https://en.wikipedia.org/wiki/Minkowski_distance (accessed on 19 June 2021).
- Jurman, G.; Riccadonna, S.; Visintainer, R.; Furlanello, C. Canberra distance on ranked lists. In Proceedings of the Advances in Ranking NIPS 09 Workshop, Whistler, BC, Canada, 11 December 2009; pp. 22–27. [Google Scholar]
- Wikipedia. Precision and Recall. Available online: https://en.wikipedia.org/wiki/Precision_and_recall (accessed on 19 June 2021).
- Wang, J.Z.; Li, J.; Wiederhold, G. SIMPLIcity: Semantics-sensitive integrated matching for picture libraries. IEEE Trans. Pattern Anal. Mach. Intell. 2001, 23, 947–963. Available online: https://drive.google.com/file/d/17gblR7fIVJNa30XSkyPvFfW_5FIhI7ma/view?usp=sharing (accessed on 19 June 2021).
- Liu, G.-H.; Li, Z.-Y.; Zhang, L.; Xu, Y. Image retrieval based on micro-structure descriptor. Pattern Recognit. 2011, 44, 2123–2133. Available online: https://drive.google.com/file/d/1HDnX6yjbVC7voUJ93bCjac2RHn-Qx-5p/view?usp=sharing (accessed on 19 June 2021). [CrossRef]
- Bian, W.; Tao, D. Biased Discriminant Euclidean Embedding for Content-Based Image Retrieval. IEEE Trans. Image Process. 2009, 19, 545–554. Available online: https://sites.google.com/site/dctresearch/Home/content-based-image-retrieval (accessed on 19 June 2021). [CrossRef]
- Philbin, J.; Chum, O.; Isard, M.; Sivic, J.; Zisserman, A. Object retrieval with large vocabularies and fast spatial matching. In Proceedings of the 2007 IEEE Conference on Computer Vision and Pattern Recognition, Minneapolis, MN, USA, 17–22 June 2007; pp. 1–8. [Google Scholar]
- Liu, G.-H.; Zhang, L.; Hou, Y.; Li, Z.-Y.; Yang, J.-Y. Image retrieval based on multi-texton histogram. Pattern Recognit. 2010, 43, 2380–2389. [Google Scholar] [CrossRef]
- Liu, G.-H.; Yang, J.-Y. Content-based image retrieval using color difference histogram. Pattern Recognit. 2013, 46, 188–198. [Google Scholar] [CrossRef]
- Zhang, M.; Zhang, K.; Feng, Q.; Wang, J.; Kong, J.; Lu, Y. A novel image retrieval method based on hybrid information descriptors. J. Vis. Commun. Image Represent. 2014, 25, 1574–1587. [Google Scholar] [CrossRef]
- Raza, A.; Dawood, H.; Dawood, H.; Shabbir, S.; Mehboob, R.; Banjar, A. Correlated primary visual texton histogram features for content base image retrieval. IEEE Access 2018, 6, 46595–46616. [Google Scholar] [CrossRef]
- C++ Code to Compute the Ground Truth. Available online: https://www.robots.ox.ac.uk/~vgg/data/oxbuildings/compute_ap.cpp (accessed on 19 June 2021).
- Tsai, C.Y.; Lin, T.C.; Wei, C.P.; Wang, Y.C.F. Extended-bag-of-features for translation, rotation, and scale-invariant image retrieval. In Proceedings of the 2014 IEEE International Conference on Acoustics, Speech and Signal Processing (ICASSP), Florence, Italy, 4–9 May 2014; pp. 6874–6878. [Google Scholar]
- Pearson, K. On Lines and Planes of Closest Fit to Systems of Points in Space. Philos. Mag. 1901, 2, 559–572. [Google Scholar] [CrossRef]
- Li, X.; Yang, J.; Ma, J. Large scale category-structured image retrieval for object identification through supervised learning of CNN and SURF-based matching. IEEE Access 2020, 8, 57796–57809. [Google Scholar] [CrossRef]
- Liu, H.; Wang, R.; Shan, S.; Chen, X. Deep supervised hashing for fast image retrieval. In Proceedings of the IEEE Conference on Computer Vision and Pattern Recognition, Las Vegas, NV, USA, 27–30 June 2016; pp. 2064–2072. [Google Scholar]
- Jégou, H.; Douze, M.; Schmid, C. On the burstiness of visual elements. In Proceedings of the 2009 IEEE Conference on Computer Vision and Pattern Recognition, Miami, FL, USA, 20–25 June 2009; pp. 1169–1176. [Google Scholar]




















| Category | Average Precision (%), Top NR = 20 | |||||||||
|---|---|---|---|---|---|---|---|---|---|---|
| DELP [10] | MCMCM [6] | VQ [22] | ODBTC [24] | CCM-DBPSP [33] | SADWT [14] | CDH-LDP [33] | C-S-BoW [34] | Hld | ObjPlaDctHld | |
| Africans | 74.3 | 69.7 | 70.2 | 84.7 | 70 | 80.1 | 77.9 | 90 | 73.7 | 86.7 |
| Beaches | 65.6 | 54.2 | 44.4 | 46.6 | 56 | 75.3 | 60.1 | 60 | 54.2 | 88.8 |
| Buildings | 75.4 | 63.9 | 70.8 | 68.2 | 57 | 77.1 | 69.1 | 90 | 69.3 | 88 |
| Buses | 98.2 | 89.6 | 76.3 | 88.5 | 87 | 99.2 | 87.6 | 75 | 94.1 | 100 |
| Dinosaurs | 99.1 | 98.7 | 100 | 99.2 | 97 | 99.5 | 99.4 | 100 | 99.9 | 100 |
| Elephants | 63.3 | 48.8 | 63.8 | 73.3 | 67 | 67.8 | 59.2 | 70 | 69.5 | 100 |
| Flowers | 94.1 | 92.3 | 92.4 | 96.4 | 91 | 96.0 | 95.8 | 90 | 92.5 | 100 |
| Horses | 78.3 | 89.4 | 94.7 | 93.9 | 83 | 88.2 | 91.8 | 100 | 91.7 | 99.9 |
| Mountains | 51.3 | 47.3 | 56.2 | 47.4 | 53 | 59.2 | 64 | 70 | 46.3 | 93.8 |
| Food | 85.0 | 70.9 | 74.5 | 80.6 | 74 | 82.3 | 78.1 | 90 | 78 | 97.4 |
| All Mean | 78.46 | 72.5 | 74.3 | 77.9 | 74 | 82.47 | 78.31 | 83 | 76.9 | 95.44 |
| Features | Feature Type | Feature Length | APs (%) | ARs (%) |
|---|---|---|---|---|
| HSV histogram | Shallow | 128 | 31.27 | 3.75 |
| HSVCM | Shallow | 9 | 17.72 | 2.13 |
| Quantized LBP-SVD | Shallow | 58 | 20.74 | 2.49 |
| DTCWT-SVD | Shallow | 52 | 16.76 | 2.01 |
| Hld | Shallow-Fusion | 238 | 37.09 | 4.45 |
| ObjDct | Deep, AVG-DCT | 256 | 49.08 | 5.89 |
| PlaDct | Deep, AVG-DCT | 256 | 50.63 | 6.08 |
| ObjFc | Deep, Fc layer | 1000 | 48.19 | 5.78 |
| PlaFc | Deep, Fc layer | 434 | 47.30 | 5.68 |
| ObjPlaDct | Deep-Fusion | 512 | 51.63 | 6.20 |
| ObjPlaDctHld | Deep-Shallow-Fusion | 750 | 54.99 | 6.60 |
| Method | Dataset | Performance | Distance or Similarity Metrics | |||
|---|---|---|---|---|---|---|
| Canberra | Weighted L1 | Manhattan | Cosine Correlation | |||
| ResNetFc | Corel-1k | AP (%) | 94.09 | 93.87 | 93.99 | 94.47 |
| AR (%) | 18.82 | 18.77 | 18.80 | 18.89 | ||
| Corel-5k | AP (%) | 42.30 | 42.35 | 42.36 | 42.72 | |
| AR (%) | 8.46 | 8.47 | 8.47 | 8.54 | ||
| Hld | Corel-1k | AP (%) | 76.28 | 76.91 | 76.59 | 66.24 |
| AR (%) | 15.26 | 15.38 | 15.32 | 13.25 | ||
| Corel-5k | AP (%) | 30.40 | 30.94 | 30.54 | 23.85 | |
| AR (%) | 6.08 | 6.19 | 6.11 | 4.77 | ||
| Dataset | Performance | Network Architecture, Feature Dimension | ||||
|---|---|---|---|---|---|---|
| AlexNet, 1000 | GoogleNet, 1000 | ResNet50, 1000 | GooglePlaces, 365 | ResPlaces, 434 | ||
| Corel-1k | AP (%) | 89.72 | 93.71 | 94.09 | 92.75 | 93.59 |
| AR (%) | 17.95 | 18.74 | 18.82 | 18.55 | 18.72 | |
| Corel-5k | AP (%) | 35.86 | 39.24 | 42.3 | 36.74 | 41.74 |
| AR (%) | 7.17 | 7.85 | 8.46 | 7.35 | 8.35 | |
| Dataset | Performance | Network Architecture, Layer, Dimension | |||
|---|---|---|---|---|---|
| GoogleNet, Fc, 1000 | GoogleNet, AvgPool, 1024 | ResNet50, Fc, 1000 | ResNet50, AvgPool, 2048 | ||
| Corel-1k | AP (%) | 93.71 | 94.97 (↑1.26) | 94.09 | 94.67 (↑0.58) |
| AR (%) | 18.74 | 18.99 (↑0.25) | 18.82 | 18.93 (↑0.11) | |
| Corel-5k | AP (%) | 39.24 | 41.12 (↑1.88) | 42.3 | 46.48 (↑4.18) |
| AR (%) | 7.85 | 8.22 (↑0.37) | 8.46 | 9.30 (↑0.84) | |
| Dataset | Performance | Network Architecture, Layer, Dimension | |||
|---|---|---|---|---|---|
| GoogleNet, AvgPool, 1024 | GoogleNet, AvgPool-DCT, 1024 | ResNet50, AvgPool, 2048 | ResNet50, AvgPool-DCT, 2048 | ||
| Corel-1k | AP (%) | 94.97 | 94.94 (↓0.03) | 94.67 | 95.28 (↑0.61) |
| AR (%) | 18.99 | 18.99 (→0.00) | 18.93 | 19.06 (↑0.13) | |
| Corel-5k | AP (%) | 41.12 | 40.90 (↓0.22) | 46.48 | 45.62 (↓0.86) |
| AR (%) | 8.22 | 8.18 (↓0.04) | 9.30 | 9.12 (↓0.18) | |
| Dataset | Performance | Network Architecture, Feature, Dimension | ||||
|---|---|---|---|---|---|---|
| ResNet50, DCT, 2048 | ResNet50, DCT, 512 | ResNet50, DCT, 256 | ResNet50, DCT, 128 | ResNet50, DCT, 64 | ||
| Corel-1k | AP (%) | 95.28 | 95.25 (↓0.03) | 94.61 (↓0.67) | 93.42 (↓1.86) | 90.46 (↓4.82) |
| AR (%) | 19.06 | 19.05 (↓0.01) | 18.92 (↓0.14) | 18.68 (↓0.38) | 18.09 (↓0.97) | |
| Corel-5k | AP (%) | 45.62 | 45.02 (↓0.60) | 43.97 (↓1.65) | 41.52 (↓4.10) | 37.43 (↓8.19) |
| AR (%) | 9.12 | 9.00 (↓0.12) | 8.79 (↓0.33) | 8.30 (↓0.82) | 7.49 (↓1.63) | |
| Dataset | Performance | Network Architecture, Feature, Dimension | ||||
|---|---|---|---|---|---|---|
| ResNet50, AvgPool, 2048 | ResNet50, PCA, 512 | ResNet50, PCA, 256 | ResNet50, PCA, 128 | ResNet50, PCA, 64 | ||
| Corel-1k | AP (%) | 94.67 | 93.70 (↓0.97) | 93.82 (↓0.67) | 94.41 (↓0.26) | 95.10 (↑0.43) |
| AR (%) | 18.93 | 18.74 (↓0.19) | 18.76 (↓0.14) | 18.88 (↓0.05) | 19.02 (↑0.09) | |
| Corel-5k | AP (%) | 46.48 | 46.26 (↓0.22) | 46.79 (↑0.31) | 47.03 (↑0.55) | 46.61 (↑0.13) |
| AR (%) | 9.30 | 9.25 (↓0.05) | 9.36 (↑0.06) | 9.41 (↑0.11) | 9.32(↑0.02) | |
| Advantages | Disadvantages | |
|---|---|---|
| DCT-based | Features are interpretable. The selected feature has the characteristic of energy accumulation. The features of the query image and the characteristics of the dataset are independent of each other. | The performance is greatly reduced when the feature dimension is compressed too much. |
| PCA-based | Correlated variables are removed. PCA helps in overcoming the overfitting and improves algorithm performance. | Principal components are not as readable and interpretable as original features. Data standardization before PCA is a must. It requires the features of the dataset to extract the principal components. |
| Method | NR | Corel-1k | Corel-5k | Corel-DB80 | |||
|---|---|---|---|---|---|---|---|
| AP (%) | AR (%) | AP (%) | AR (%) | AP (%) | AR (%) | ||
| ObjPca | NR = 10 | 95.31 | 9.531 | 53.77 | 5.377 | 77.57 | 6.731 |
| NR = 20 | 93.59 | 18.717 | 46.61 | 9.322 | 71.63 | 12.360 | |
| PlaPca | NR = 10 | 96.21 | 9.621 | 54.66 | 5.466 | 76.96 | 6.671 |
| NR = 20 | 95.15 | 19.031 | 47.61 | 9.520 | 70.99 | 12.233 | |
| ObjPlaPca | NR = 10 | 96.45 | 9.645 | 55.98 | 5.598 | 79.49 | 6.904 |
| NR = 20 | 95.15 | 19.029 | 48.77 | 9.754 | 73.51 | 12.703 | |
| ObjPlaPcaHld | NR = 10 | 96.60 | 9.660 | 59.30 | 5.930 | 78.99 | 6.868 |
| NR = 20 | 95.43 | 19.087 | 51.22 | 10.244 | 72.51 | 12.543 | |
Publisher’s Note: MDPI stays neutral with regard to jurisdictional claims in published maps and institutional affiliations. |
© 2021 by the authors. Licensee MDPI, Basel, Switzerland. This article is an open access article distributed under the terms and conditions of the Creative Commons Attribution (CC BY) license (https://creativecommons.org/licenses/by/4.0/).
Share and Cite
Jiang, D.; Kim, J. Image Retrieval Method Based on Image Feature Fusion and Discrete Cosine Transform. Appl. Sci. 2021, 11, 5701. https://doi.org/10.3390/app11125701
Jiang D, Kim J. Image Retrieval Method Based on Image Feature Fusion and Discrete Cosine Transform. Applied Sciences. 2021; 11(12):5701. https://doi.org/10.3390/app11125701
Chicago/Turabian StyleJiang, DaYou, and Jongweon Kim. 2021. "Image Retrieval Method Based on Image Feature Fusion and Discrete Cosine Transform" Applied Sciences 11, no. 12: 5701. https://doi.org/10.3390/app11125701
APA StyleJiang, D., & Kim, J. (2021). Image Retrieval Method Based on Image Feature Fusion and Discrete Cosine Transform. Applied Sciences, 11(12), 5701. https://doi.org/10.3390/app11125701

