Predicting Electrokinetic Coupling and Electrical Conductivity in Fractured Media Using a Fractal Distribution of Tortuous Capillary Fractures
Abstract
1. Introduction
2. Theory of the Electrokinetic Coupling
3. Theoretical Development
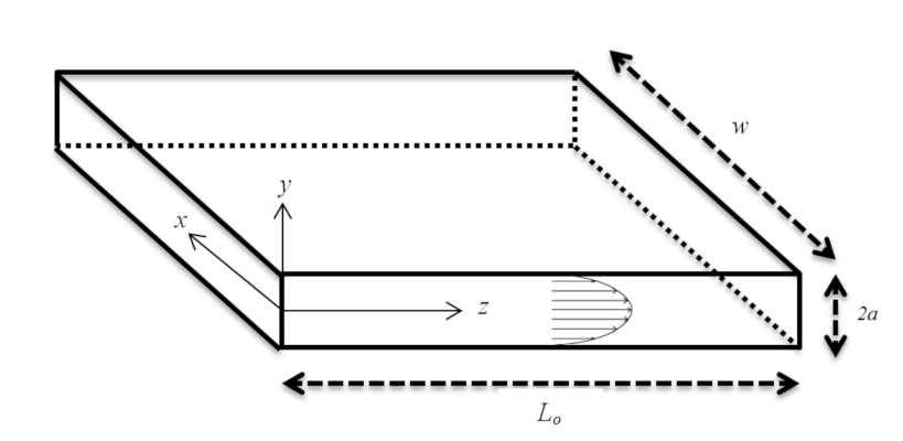
3.1. Geometry of Fractured Media
3.2. Hydraulic Properties
3.3. Electrical Conductivity
3.4. Streaming Potential Coupling Coefficient
3.4.1. Streaming Current in the REV
3.4.2. Conduction Current in the REV
3.4.3. Streaming Potential Coupling Coefficient
3.5. Effective Excess Charge Density
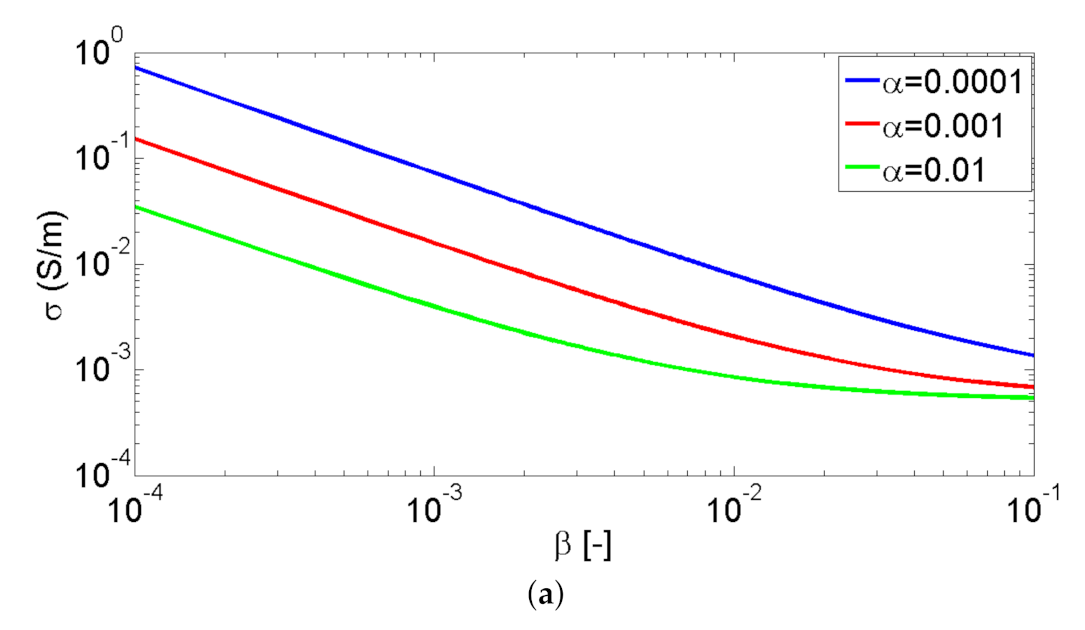
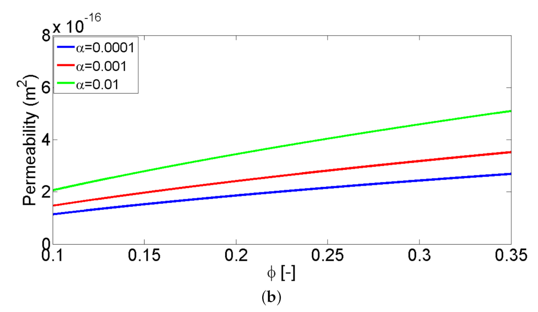
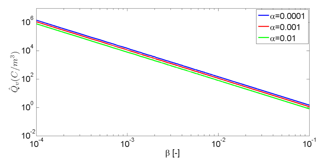
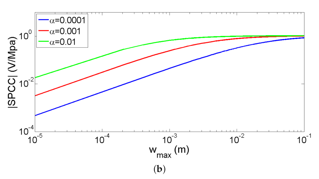
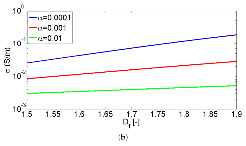
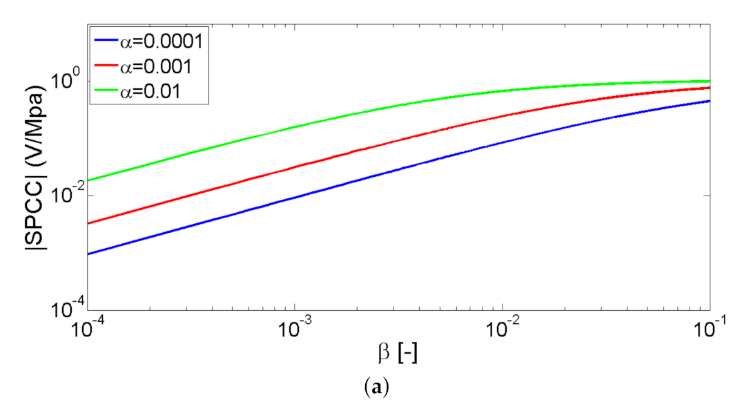
4. Results and Discussion
5. Conclusions
Author Contributions
Funding
Acknowledgments
Conflicts of Interest
References
- Revil, A.; Karaoulis, M.; Johnson, T.; Kemna, A. Review: Some low-frequency electrical methods for subsurface characterization and monitoring in hydrogeology. Hydrogeol. J. 2012, 20, 617–658. [Google Scholar] [CrossRef]
- Binley, A.; Hubbard, S.S.; Huisman, J.A.; Revil, A.; Robinson, D.A.; Singha, K.; Slater, L.D. The emergence of hydrogeophysics for improved understanding of subsurface processes over multiple scales. Water Resour. Res. 2015, 51, 3837–3866. [Google Scholar] [CrossRef]
- Parsekian, A.D.; Singha, K.; Minsley, B.J.; Holbrook, W.S.; Slater, L. Multiscale geophysical imaging of the critical zone. Rev. Geophys. 2015, 53, 1–26. [Google Scholar] [CrossRef]
- Jouniaux, L.; Pozzi, J.; Berthier, J.; Massé, P. Detection of fluid flow variations at the Nankai Trough by electric and magnetic measurements in boreholes or at the seafloor. J. Geophys. Res. 1999, 104, 29293–29309. [Google Scholar] [CrossRef]
- Fagerlund, F.; Heinson, G. Detecting subsurface groundwater flow infractured rock using self-potential (SP) methods. Environ. Geol. 2003, 43, 782–794. [Google Scholar] [CrossRef]
- Titov, K.; Revil, A.; Konosavsky, P.; Straface, S.; Troisi, S. Numerical modelling of self-potential signals associated with a pumping test experiment. Geophys. J. Int. 2005, 162, 641–650. [Google Scholar] [CrossRef]
- Aizawa, K.; Ogawa, Y.; Ishido, T. Groundwater flow and hydrothermal systems within volcanic edifices: Delineation by electric self-potential and magnetotellurics. J. Geophys. Res. 2009, 114. [Google Scholar] [CrossRef]
- Singha, K.; Gorelick, S.M. Saline tracer visualized with three-dimensional electrical resistivity tomography: Field-scale spatial moment analysis. Water Resour. Res. 2005, 41. [Google Scholar] [CrossRef]
- Daily, W.; Ramirez, A.; LaBrecque, D.; Nitao, J. Electrical resistivity tomography of vadose water movement. Water Resour. Res. 1992, 28, 1429–1442. [Google Scholar] [CrossRef]
- Finizola, A.; Lenat, N.; Macedo, O.; Ramos, D.; Thouret, J.; Sortino, F. Fluid circulation and structural discontinuities inside misti volcano (peru) inferred from sel-potential measurements. J. Volcanol. Geotherm. Res. 2004, 135, 343–360. [Google Scholar] [CrossRef]
- Mauri, G.; Williams-Jones, G.; Saracco, G. Depth determinations of shallow hydrothermal systems by self-potential and multi-scale wavelet tomography. J. Volcanol. Geotherm. Res. 2010, 191, 233–244. [Google Scholar] [CrossRef]
- Soueid Ahmed, A.; Revil, A.; Byrdina, S.; Coperey, A.; Gailler, L.; Grobbe, N.; Viveiros, F.; Silva, C.; Jougnot, D.; Ghorbani, A.; et al. 3D electrical conductivity tomography of volcanoes. J. Volcanol. Geotherm. Res. 2018, 356, 243–263. [Google Scholar] [CrossRef]
- Martinez-Pagan, P.; Jardani, A.; Revil, A.; Haas, A. Self-potential monitoring of a salt plume. Geophysics 2010, 75, WA17–WA25. [Google Scholar] [CrossRef]
- Naudet, V.; Revil, A.; Bottero, J.Y.; Bégassat, P. Relationship between self-potential (SP) signals and redox conditions in contaminated groundwater. Geophys. Res. Lett. 2003, 30. [Google Scholar] [CrossRef]
- Doussan, C.; Jouniaux, L.; Thony, J.L. Variations of self-potential and unsaturated water flow with time in sandy loam and clay loam soils. J. Hydrol. 2002, 267, 173–185. [Google Scholar] [CrossRef]
- Jougnot, D.; Linde, N.; Haarder, E.; Looms, M. Monitoring of saline tracer movement with vertically distributed self-potential measurements at the HOBE agricultural test site, Voulund, Denmark. J. Hydrol. 2015, 521, 314–327. [Google Scholar] [CrossRef]
- Mares, R.; Barnard, H.R.; Mao, D.; Revil, A.; Singha, K. Examining diel patterns of soil and xylem moisture using electrical resistivity imaging. J. Hydrol. 2016, 536, 327–338. [Google Scholar] [CrossRef]
- Voytek, E.B.; Barnard, H.R.; Jougnot, D.; Singha, K. Transpiration- and precipitation-induced subsurface water flow observed using the self-potential method. Hydrol. Process. 2019, 33, 1784–1801. [Google Scholar] [CrossRef]
- Jardani, A.; Revil, A.; Boleve, A.; Crespy, A.; Dupont, J.P.; Barrash, W.; Malama, B. Tomography of the Darcy velocity from self-potential measurements. Geophys. Res. Lett. 2007, 34. [Google Scholar] [CrossRef]
- Pollock, D.; Cirpka, O.A. Fully coupled hydrogeophysical inversion of synthetic salt tracer experiments. Water Resour. Res. 2010, 46. [Google Scholar] [CrossRef]
- Stesky, R.M. Electrical conductivity of brine-saturated fractured rock. Geophysics 1986, 51, 1585–1593. [Google Scholar] [CrossRef]
- Shen, J.; Su, B.; Guo, N. Anisotropic characteristics of electrical responses of fractured reservoir with multiple sets of fractures. Pet. Sci. 2009, 6, 127–138. [Google Scholar] [CrossRef]
- Roubinet, D.; Irving, J. Discrete-dual-porosity model for electric current flow in fractured rock. J. Geophys. Res. Solid Earth 2014, 119, 767–786. [Google Scholar] [CrossRef]
- Wishart, D.N.; Slater, L.D.; Gates, A.E. Self potential improves characterization of hydraulically-active fractures from azimuthal geoelectrical measurements. Geophys. Res. Lett. 2006, 33, L17314. [Google Scholar] [CrossRef]
- Maineult, A.; Thomas, B.; Nussbaum, C.; Wieczorek, K.; Gibert, D.; Lavielle, B.; Kergosien, B.; Nicollin, F.; Mahiouz, K.; Lesparre, N. Anomalies of noble gases and self-potential associated with fractures and fluid dynamics in a horizontal borehole, Mont Terri Underground Rock Laboratory. Eng. Geol. 2013, 156, 46–57. [Google Scholar] [CrossRef]
- Berkowitz, B. Characterizing flow and transport in fractured geological media: A review. Adv. Water Resour. 2002, 25, 861–884. [Google Scholar] [CrossRef]
- Gélis, C.; Revil, A.; Cushing, M.E.; Jougnot, D.; Lemeille, F.; Cabrera, J.; de Hoyos, A.; Rocher, M. Potential of Electrical Resistivity Tomography to Detect Fault Zones in Limestone and Argillaceous Formations in the Experimental Platform of Tournemire, France. Pure Appl. Geophys. 2010, 167, 1405–1418. [Google Scholar] [CrossRef]
- Lesparre, N.; Boyle, A.; Grychtol, B.; Cabrera, J.; Marteau, J.; Adler, A. Electrical resistivity imaging in transmission between surface and underground tunnel for fault characterization. J. Appl. Geophys. 2016, 128, 163–178. [Google Scholar] [CrossRef]
- Haas, A.K.; Revil, A.; Karaoulis, M.; Frash, L.; Hampton, J.; Gutierrez, M.; Mooney, M. Electric potential source localization reveals a borehole leak during hydraulic fracturing. Geophysics 2013, 78, D93–D113. [Google Scholar] [CrossRef]
- DesRoches, A.J.; Butler, K.E.; MacQuarrie, K.T. Surface self-potential patterns related to transmissive fracture trends during a water injection test. Geophys. J. Int. 2018, 212, 2047–2060. [Google Scholar] [CrossRef]
- Demirel, S.; Roubinet, D.; Irving, J.; Voytek, E. Characterizing Near-Surface Fractured-Rock Aquifers: Insights Provided by the Numerical Analysis of Electrical Resistivity Experiments. Water 2018, 10, 1117. [Google Scholar] [CrossRef]
- Bernabe, Y. The transport properties of networks of cracks and pores. J. Geophys. Res. Solid Earth 1995, 100, 4231–4241. [Google Scholar] [CrossRef]
- Roubinet, D.; Irving, J.; Pezard, P. Relating Topological and Electrical Properties of Fractured Porous Media: Insights into the Characterization of Rock Fracturing. Minerals 2018, 8, 14. [Google Scholar] [CrossRef]
- Archie, G.E. The electrical resistivity log as an aid in determining some reservoir characteristics. Pet. Trans. AIME 1942, 146, 54–62. [Google Scholar] [CrossRef]
- Overbeek, J. Electrochemistry of the Double Layer: In Colloid Science, Irreversible Systems; Kruyt, H R., Ed.; Elsevier: Amsterdam, The Netherlands, 1952. [Google Scholar]
- Hunter, R.J. Zeta Potential in Colloid Science; Academic: New York, NY, USA, 1981. [Google Scholar]
- Pride, S. Governing equations for the coupled electromagnetics and acoustics of porous media. Phys. Rev. B 1994, 50, 15678–15696. [Google Scholar] [CrossRef]
- Bernabé, Y. Streaming potential in heterogeneous networks. J. Geophys. Res. Solid Earth 1998, 103, 20827–20841. [Google Scholar] [CrossRef]
- Morgan, F.D.; Williams, E.R.; Madden, T.R. Streaming potential properties of westerly granite with applications. J. Geophys. Res. 1989, 94, 12–449. [Google Scholar] [CrossRef]
- Revil, A.; Pezard, P.A.; Glover, P.W.J. Streaming potential in porous media 1. Theory of the zeta potential. J. Geophys. Res. 1999, 104, 20021–20031. [Google Scholar] [CrossRef]
- Glover, P.W.J.; Dery, N. Streaming potential coupling coefficient of quartz glass bead packs: Dependence on grain diameter, pore size, and pore throat radius. Geophysics 2010, 75, F225–F241. [Google Scholar] [CrossRef]
- Kormiltsev, V.V.; Ratushnyak, A.N.; Shapiro, V.A. Three-dimensional modeling of electric and magnetic fields induced by the fluid flow movement in porous media. Phys. Earth Planet. Inter. 1998, 105, 109–118. [Google Scholar] [CrossRef]
- Revil, A.; Leroy, P. Constitutive equations for ionic transport in porous shales. J. Geophys. Res. Solid Earth 2004, 109, B03208. [Google Scholar] [CrossRef]
- Jougnot, D.; Roubinet, D.; Guarracino, L.; Maineult, A. Modeling streaming potential in porous and fractured media, description and benefits of the effective excess charge density approach. In Advances in Modeling and Interpretation in Near Surface Geophysics; Biswas, A., Sharma, S., Eds.; Springer: Berlin/Heidelberg, Germany, 2020. [Google Scholar]
- Ishido, T.; Mizutani, H. Experimental and Theoretical Basis of Electrokinetic Phenomena in Rock-Water Systems and Its Applications to Geophysics. J. Geophys. Res. 1981, 86, 1763–1775. [Google Scholar] [CrossRef]
- Jackson, M.D. Characterization of multiphase electrokinetic coupling using a bundle of capillary tubes model. J. Geophys. Res. Solid Earth 2008, 113, B04201. [Google Scholar] [CrossRef]
- Linde, N. Comment on “Characterization of multiphase electrokinetic coupling using a bundle of capillary tubes model” by Mathew D. Jackson. J. Geophys. Res. Solid Earth 2009, 114, B06209. [Google Scholar] [CrossRef]
- Jackson, M.D. Multiphase electrokinetic coupling: Insights into the impact of fluid and charge distribution at the pore scale from a bundle of capillary tubes model. J. Geophys. Res. Solid Earth 2010, 115, B07206. [Google Scholar] [CrossRef]
- Revil, A.; Woodruff, W.F.; Lu, N. Constitutive equations for coupled flows in clay materials. Water Resour. Res. 2011, 47, W05548. [Google Scholar] [CrossRef]
- Jougnot, D.; Linde, N.; Revil, A.; Doussan, C. Derivation of soil-specific streaming potential electrical parameters from hydrodynamic characteristics of partially saturated soils. Vadose Zone J. 2012, 11, 272–286. [Google Scholar] [CrossRef]
- Jackson, M.; Leinov, E. On the Validity of the “Thin” and “Thick” Double-Layer Assumptions When Calculating Streaming Currents in Porous Media. Int. J. Geophys. 2012, 2012, 897807. [Google Scholar] [CrossRef][Green Version]
- Guarracino, L.; Jougnot, D. A Physically Based Analytical Model to Describe Effective Excess Charge for Streaming Potential Generation in Water Saturated Porous Media. J. Geophys. Res. Solid Earth 2018, 123, 52–65. [Google Scholar] [CrossRef]
- Thanh, L.D.; Van Do, P.; Van Nghia, N.; Ca, N.X. A fractal model for streaming potential coefficient in porous media. Geophys. Prospect. 2018, 66, 753–766. [Google Scholar] [CrossRef]
- Soldi, M.; Guarracino, L.; Jougnot, D. An analytical effective excess charge density model to predict the streaming potential generated by unsaturated flow. Geophys. J. Int. 2019, 216, 380–394. [Google Scholar] [CrossRef]
- Soldi, M.; Guarracino, L.; Jougnot, D. An effective excess charge model to describe hysteresis effects on streaming potential. J. Hydrol. 2020, 588, 124949. [Google Scholar] [CrossRef]
- Thanh, L.; Jougnot, D.; Do, P.; Ca, N.; Hien, N. A Physically Based Model for the Streaming Potential Coupling Coefficient in Partially Saturated Porous Media. Water 2020, 12, 1588. [Google Scholar] [CrossRef]
- Shi, P.; Guan, W.; Hu, H. Dependence of Dynamic Electrokinetic-Coupling-Coefficient on the Electric Double Layer Thickness of fluid-filled porous formations. Ann. Geophys. 2018, 61. [Google Scholar] [CrossRef]
- Erickson, D.; Li, D. Analysis of Alternating Current Electroosmotic Flows in a Rectangular Microchannel. Langmuir 2003, 19, 5421–5430. [Google Scholar] [CrossRef]
- Wu, R.C.; Papadopoulos, K.D. Electroosmotic flow through porous media: cylindrical and annular models. Colloids Surfaces Physicochem. Eng. Asp. 2000, 161, 469–476. [Google Scholar]
- Pascal, J.; Oyanader, M.; Arce, P. Effect of capillary geometry on predicting electroosmotic volumetric flowrates in porous or fibrous media. J. Colloid Interface Sci. 2012, 378, 241–250. [Google Scholar] [CrossRef]
- Thanh, L.; Jougnot, D.; Do, P.; Mendieta, M.; Ca, N.; Hoa, V.X.; Tan, P.M.; Hien, N.T. Electroosmotic coupling in porous media, a new model based on a fractal upscaling procedure. Transp. Porous Media 2020, 134, 249–274. [Google Scholar] [CrossRef]
- Smoluchowski, M. Contribution à la théorie de l’endosmose électrique et de quelques phénomènes corrélatifs. Bull. Akad. Sci. Cracovie 1903, 8, 182–200. [Google Scholar]
- Johnson, D.L.; Koplik, J.; Schwartz, L.M. New Pore-Size Parameter Characterizing Transport in Porous Media. Phys. Rev. Lett. 1986, 57, 2564–2567. [Google Scholar] [CrossRef]
- Katz, A.J.; Thompson, A.H. Fractal Sandstone Pores: Implications for Conductivity and Pore Formation. Phys. Rev. Lett. 1985, 54, 1325–1328. [Google Scholar] [CrossRef]
- Bo-Ming, Y. Fractal Character for Tortuous Streamtubes in Porous Media. Chin. Phys. Lett. 2005, 22, 158. [Google Scholar] [CrossRef]
- Chelidze, T.; Gueguen, Y. Evidence of fractal fracture. Int. J. Rock Mech. Min. Sci. Geomech. Abstr. 1990, 27, 223–225. [Google Scholar] [CrossRef]
- Watanabe, K.; Takahashi, H. Fractal geometry characterization of geothermal reservoir fracture networks. J. Geophys. Res. Solid Earth 1995, 100, 521–528. [Google Scholar] [CrossRef]
- Yu, B.; Cheng, P. A fractal permeability model for bi-dispersed porous media. Int. J. Heat Mass Transf. 2002, 45, 2983–2993. [Google Scholar] [CrossRef]
- Roubinet, D.; Linde, N.; Jougnot, D.; Irving, J. Streaming potential modeling in fractured rock: Insights into the identification of hydraulically active fractures. Geophys. Res. Lett. 2016, 43, 4937–4944. [Google Scholar] [CrossRef]
- Tyler, S.W.; Wheatcraft, S.W. Fractal processes in soil water retention. Water Resour. Res. 1990, 26, 1047–1054. [Google Scholar] [CrossRef]
- Miao, T.; Yu, B.; Duan, Y.; Fang, Q. A fractal analysis of permeability for fractured rocks. Int. J. Heat Mass Transf. 2015, 81, 75–80. [Google Scholar] [CrossRef]
- Wang, S.; Wu, T.; Cao, X.; Zheng, Q.; Ai, M. A fractal model for gas apparent permeability in microfractures of tight/shale reservoirs. Fractals 2017, 25, 1750036. [Google Scholar] [CrossRef]
- Majumdar, A.; Bhushan, B. Role of Fractal Geometry in Roughness Characterization and Contact Mechanics of Surfaces. J. Tribol. 1990, 112, 205–216. [Google Scholar] [CrossRef]
- Deng, P.; Zhu, J. Equivalent Permeability of Fractured Media Incorporating Tortuosity and Nonlinear Flow. Transp. Porous Media 2020, 132, 741–760. [Google Scholar] [CrossRef]
- Torabi, A.; Berg, S.S. Scaling of fault attributes: A review. Mar. Pet. Geol. 2011, 28, 1444–1460. [Google Scholar] [CrossRef]
- Ghanbarian, B.; Perfect, E.; Liu, H.H. A geometrical aperture-width relationship for rock fractures. Fractals 2019, 27, 1940002. [Google Scholar] [CrossRef]
- Scheidegger, A.E. The Physics of Flow Through Porous Media. Soil Sci. 1958, 86, 355. [Google Scholar] [CrossRef]
- Yu, B.; Liu, W. Fractal analysis of permeabilities for porous media. AIChE J. 2004, 50, 46–57. [Google Scholar] [CrossRef]
- Thanh, L.D.; Jougnot, D.; Van Do, P.; Van Nghia A, N. A physically based model for the electrical conductivity of water-saturated porous media. Geophys. J. Int. 2019, 219, 866–876. [Google Scholar] [CrossRef]
- Chung, C. Extrusion of Polymers 2E: Theory and Practice, 2nd ed.; Hanser Publications: Munich, Germany, 2010. [Google Scholar]
- Neuzil, C.E.; Tracy, J.V. Flow through fractures. Water Resour. Res. 1981, 17, 191–199. [Google Scholar] [CrossRef]
- Klimczak, C.; Schultz, R.; Parashar, R.; Reeves, D. Cubic law with aperture-length correlation: Implications for network scale fluid flow. Hydrogeol. J. 2010, 18, 851–862. [Google Scholar] [CrossRef]
- Pfannkuch, H.O. On the Correlation of Electrical Conductivity Properties of Porous Systems with Viscous Flow Transport Coefficients. Dev. Soil Sci. 1972, 2, 42–54. [Google Scholar]
- Waxman, M.H.; Smits, L.J.M. Electrical conductivities in oil bearing shaly sands. Soc. Pet. Eng. J. 1968, 8, 107–122. [Google Scholar] [CrossRef]
- Revil, A.; Cathles III, L.M.; Losh, S.; Nunn, J.A. Electrical conductivity in shaly sands with geophysical applications. J. Geophys. Res. Solid Earth 1998, 103, 23925–23936. [Google Scholar] [CrossRef]
- Friedman, S.P. Soil properties influencing apparent electrical conductivity: a review. Comput. Electron. Agric. 2005, 46, 45–70. [Google Scholar] [CrossRef]
- Linde, N.; Binley, A.; Tryggvason, A.; Pedersen, L.B.; Revil, A. Improved hydrogeophysical characterization using joint inversion of cross-hole electrical resistance and ground-penetrating radar traveltime data. Water Resour. Res. 2006, 42. [Google Scholar] [CrossRef]
- Glover, P. What is the cementation exponent? A new interpretation. Lead. Edge 2009, 28, 82–85. [Google Scholar] [CrossRef]
- Brovelli, A.; Cassiani, G. Combined estimation of effective electrical conductivity and permittivity for soil monitoring. Water Resour. Res. 2011, 47. [Google Scholar] [CrossRef]
- Rice, C.; Whitehead, R. Electrokinetic flow in a narrow cylindrical capillary. J. Phys. Chem. 1965, 69, 4017–4024. [Google Scholar] [CrossRef]
- Pride, S.R.; Morgan, F.D. Electrokinetic dissipation induced by seismic waves. Geophysics 1991, 56, 914–925. [Google Scholar] [CrossRef]
- Kirby, B.J.; Hasselbrink Jr., E. F. Zeta potential of microfluidic substrates: 1. Theory, experimental techniques, and effects on separations. Electrophoresis 2004, 25, 187–202. [Google Scholar] [CrossRef]
- Israelachvili, J. Intermolecular and Surface Forces; Academic Press: Cambridge, MA, USA, 1992. [Google Scholar]
- Jougnot, D.; Mendieta, A.; Leroy, P.; Maineult, A. Exploring the Effect of the Pore Size Distribution on the Streaming Potential Generation in Saturated Porous Media, Insight From Pore Network Simulations. J. Geophys. Res. Solid Earth 2019, 124, 5315–5335. [Google Scholar] [CrossRef]
- Hu, X.; Hu, S.; Jin, F.; Huang, S. Physics of Petroleum Reservoirs; Springer: Berlin/Heidelberg, Germany, 2017. [Google Scholar]
- Rembert, F.; Jougnot, D.; Guarracino, L. A fractal model for the electrical conductivity of water-saturated porous media during mineral precipitation-dissolution processes. Adv. Water Resour. 2020, 145, 103742. [Google Scholar] [CrossRef]
- Revil, A.; Linde, N.; Cerepi, A.; Jougnot, D.; Matthäi, S.; Finsterle, S. Electrokinetic coupling in unsaturated porous media. J. Colloid Interface Sci. 2007, 313, 315–327. [Google Scholar] [CrossRef]
- Tiab, D.; Donaldson, E.C. Chapter 3-Porosity and Permeability. In Petrophysics, 4th ed.; Tiab, D., Donaldson, E.C., Eds.; Gulf Professional Publishing: Boston, MA, USA, 2016; pp. 67–186. [Google Scholar]
- Erol, S.; Fowler, S.; Harcouët-Menou, V.; Laenen, B. An Analytical Model of Porosity—Permeability for Porous and Fractured Media. Transp. Porous Media 2017, 120, 327–358. [Google Scholar] [CrossRef]
- Lamur, A.; Kendrick, J.; Eggertsson, G.; Wall, R.; Ashworth, J.; Lavallée, Y. The permeability of fractured rocks in pressurised volcanic and geothermal systems. Sci. Rep. 2017, 7. [Google Scholar] [CrossRef] [PubMed]
- Cherubini, A.; Garcia, B.; Cerepi, A.; Revil, A. Streaming Potential Coupling Coefficient and Transport Properties of Unsaturated Carbonate Rocks. Vadose Zone J. 2018, 17, 180030. [Google Scholar] [CrossRef]
- Chilingarian, G.; Mazzullo, S.; Rieke, H. Carbonate Reservoir Characterization: A Geologic-Engineering Analysis, Part I; Elsevier Science: Amsterdam, The Netherlands, 1992. [Google Scholar]
Publisher’s Note: MDPI stays neutral with regard to jurisdictional claims in published maps and institutional affiliations. |
© 2021 by the authors. Licensee MDPI, Basel, Switzerland. This article is an open access article distributed under the terms and conditions of the Creative Commons Attribution (CC BY) license (https://creativecommons.org/licenses/by/4.0/).
Share and Cite
Thanh, L.D.; Jougnot, D.; Do, P.V.; Hue, D.T.M.; Thuy, T.T.C.; Tuyen, V.P. Predicting Electrokinetic Coupling and Electrical Conductivity in Fractured Media Using a Fractal Distribution of Tortuous Capillary Fractures. Appl. Sci. 2021, 11, 5121. https://doi.org/10.3390/app11115121
Thanh LD, Jougnot D, Do PV, Hue DTM, Thuy TTC, Tuyen VP. Predicting Electrokinetic Coupling and Electrical Conductivity in Fractured Media Using a Fractal Distribution of Tortuous Capillary Fractures. Applied Sciences. 2021; 11(11):5121. https://doi.org/10.3390/app11115121
Chicago/Turabian StyleThanh, Luong Duy, Damien Jougnot, Phan Van Do, Dang Thi Minh Hue, Tran Thi Chung Thuy, and Vu Phi Tuyen. 2021. "Predicting Electrokinetic Coupling and Electrical Conductivity in Fractured Media Using a Fractal Distribution of Tortuous Capillary Fractures" Applied Sciences 11, no. 11: 5121. https://doi.org/10.3390/app11115121
APA StyleThanh, L. D., Jougnot, D., Do, P. V., Hue, D. T. M., Thuy, T. T. C., & Tuyen, V. P. (2021). Predicting Electrokinetic Coupling and Electrical Conductivity in Fractured Media Using a Fractal Distribution of Tortuous Capillary Fractures. Applied Sciences, 11(11), 5121. https://doi.org/10.3390/app11115121