Machine Learning Approaches for Prediction of the Compressive Strength of Alkali Activated Termite Mound Soil
Abstract
Featured Application
Abstract
1. Introduction
Statement of the Originality and Significance
2. Materials and Methods
2.1. Artificial Neural Network (ANN)
- The capability to learn non-linear models.
- The capability to learn models in real-time (on-line learning).
2.2. Support Vector Machine (SVM)
- Effective in high dimensional spaces, high speed, possibility for continuous re-training with new information.
- Still effective in cases where the number of dimensions is greater than the number of samples.
- Uses a subset of training points in the decision function (named support vectors), so it is also, memory efficient.
2.3. Linear Regression (LR)
2.4. Regression Analysis
- Predict the value of a dependent variable based on the value of at least one independent variable.
- Explain the impact of changes in an independent variable (the variable used to explain the dependent variable) on the dependent variable (the variable we wish to predict or explain).
2.5. Metrics
2.6. Experimental Setup
3. Results
4. Discussion
5. Conclusions
- Termite mound soil is an unconventional earth-based material, classified as natural pozzolanas. Its activation through naturally occurring alum is aimed to produce eco-friendly and locally available construction materials. Subsequently, the novelty of these materials makes the application of ML techniques a useful tool to appraise their properties with a variation of constituents.
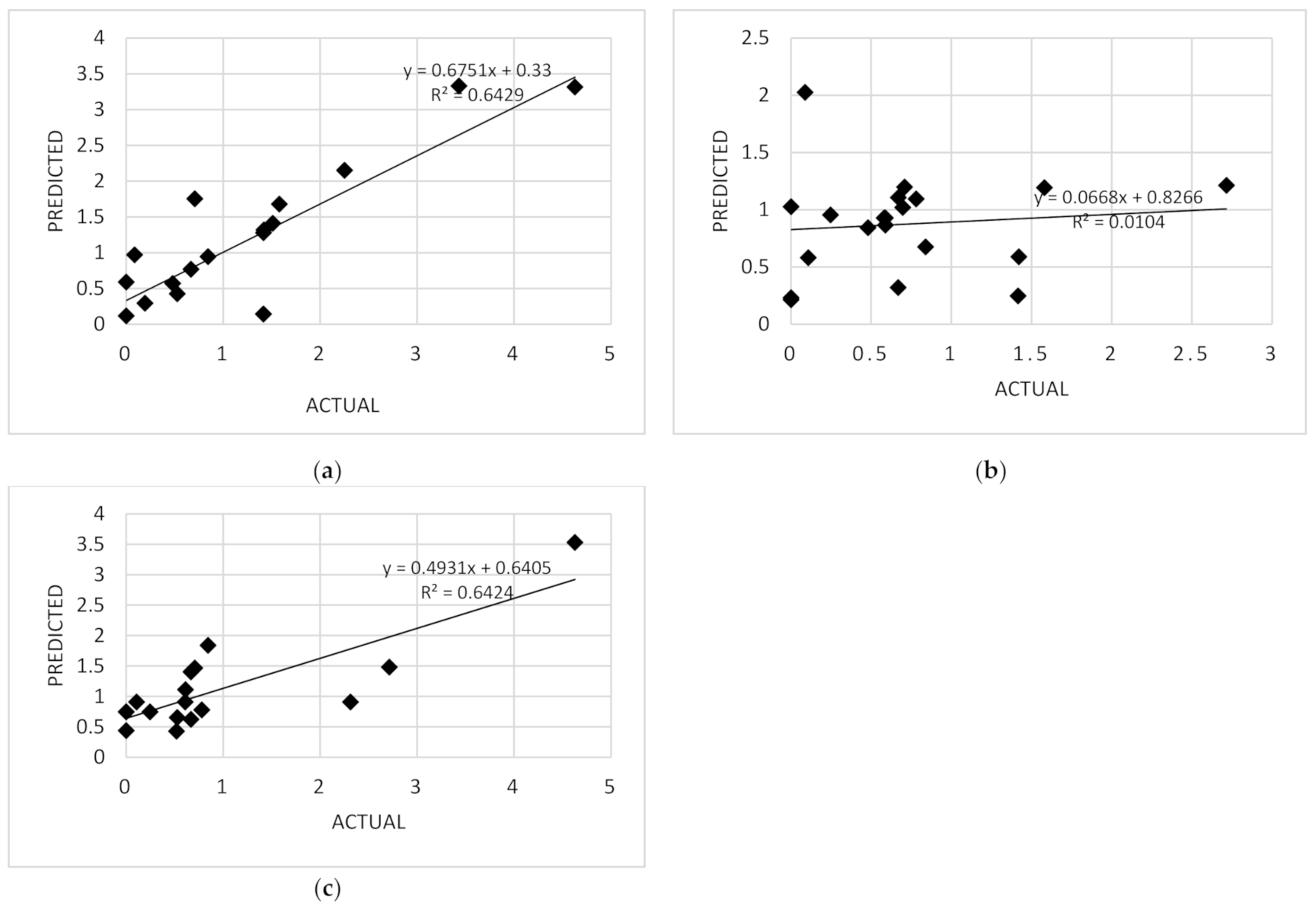
- The correlation between the input parameters and the output feature displayed by the coefficient of determination R2 (70%, 63% and 26%) indicates that the three models are suitable for modeling the compressive strength of the AATS dataset.
- The SVM model displayed the higher coefficient of determination (70%) and a root mean square of 0.6. These values indicate the accuracy of the model in predicting the compressive strength of the AATS based on the given input parameters.
- The ANN exhibited the second-best performance, with a coefficient of determination of 63% and a root mean square of 0.7.
- LR demonstrated the lower accuracy, with a coefficient of determination of 26% and a root mean square of 0.95. A lower mean square error is desirable; a high RMSE signifies higher error. Therefore, the SVM and ANN perform better since they have a low RMSE compared to LR.
Author Contributions
Funding
Institutional Review Board Statement
Informed Consent Statement
Data Availability Statement
Conflicts of Interest
References
- Bih, N.L.; Mahamat, A.A.; Hounkpè, J.B.; Onwualu, P.A.; Boakye, E.E. The Effect of Polymer Waste Addition on the Compressive Strength and Water Absorption of Geopolymer Ceramics. Appl. Sci. 2021, 11, 3540. [Google Scholar] [CrossRef]
- Provis, J.L.; van Deventer, J.S.J. RILEM State-of-the-Art Reports State-of-the-Art Report, RILEM TC 224-AAM. Available online: http://www.springer.com/series/8780 (accessed on 16 November 2020).
- Falah, M.; Obenaus-Emler, R.; Kinnunen, P.; Illikainen, M. Effects of Activator Properties and Curing Conditions on Alkali-Activation of Low-Alumina Mine Tailings. Waste Biomass Valorization 2020, 11, 5027–5039. [Google Scholar] [CrossRef]
- Zhang, Z.; Wang, H.; Yao, X.; Zhu, Y. Effects of halloysite in kaolin on the formation and properties of geopolymers. Cem. Concr. Compos. 2012, 34, 709–715. [Google Scholar] [CrossRef]
- Mahamat, A.A.; Obianyo, I.I.; Ngayakamo, B.; Bih, N.L.; Ayeni, O.; Azeko, S.T.; Savastano, H., Jr. Alkali activation of compacted termite mound soil for eco-friendly construction materials. Heliyon 2021, 7. [Google Scholar] [CrossRef]
- Ojo, E.B.; Mustapha, K.; Teixeira, R.S.; Savastano, H. Development of unfired earthen building materials using muscovite rich soils and alkali activators. Case Stud. Constr. Mater. 2019, 11. [Google Scholar] [CrossRef]
- Dhembare, A.J. Physico-Chemical Properties of Termite Mound Soil. Available online: www.scholarsresearchlibrary.com (accessed on 28 December 2020).
- Nwakonobi, T.; Anyanwu, C.; Tyav, L. Effects of rice husk ash and termite hill types on the physical and mechanical properties of burnt termite clay bricks for rural housing. Glob. J. Pure Appl. Sci. 2015, 20, 57. [Google Scholar] [CrossRef]
- Anigbogu, N. Properties of Compressed Earth Bricks Stabilized with Termite Mound Material. Available online: http://www.researchgate.net/publication/235910056 (accessed on 20 September 2020).
- Kandasami, R.K.; Borges, R.M.; Murthy, T.G. Effect of biocementation on the strength and stability of termite mounds. Environ. Geotech. 2016, 3, 99–113. [Google Scholar] [CrossRef]
- Akinyemi, B.A.; Omoniyi, T.E.; Adeyemo, M.O. Prospects of coir fibre as reinforcement in termite mound clay bricks. Acta Technol. Agric. 2016, 19, 57–62. [Google Scholar] [CrossRef][Green Version]
- Gandia, R.M.; Corrêa, A.A.R.; Gomes, F.C.; Marin, D.B.; Santana, L.S. Physical, mechanical and thermal behavior of adobe stabilized with ‘synthetic termite saliva’. Eng. Agric. 2019, 39, 139–149. [Google Scholar] [CrossRef]
- Corrêa, A.A.; Bufalino, L.; Protásio, T.D.P.; Ribeiro, M.X.; Wisky, D.; Mendes, L.M. Evaluation of Mechanical Properties of Adobe Chemically Stabilized with “Synthetic Termite Saliva”. Key Eng. Mater. 2014, 600, 150–155. [Google Scholar] [CrossRef]
- Mujinya, B.B.; Mees, F.; Erens, H.; Dumon, M.; Baert, G.; Boeckx, P.; Ngongo, M.; Ranst, E.V. Clay composition and properties in termite mounds of the lubumbashi area, D.R. congo. Geoderma 2013, 192, 304–315. [Google Scholar] [CrossRef]
- Millogo, Y.; Hajjaji, M.; Morel, J.C. Physical properties, microstructure and mineralogy of termite mound material considered as construction materials. Appl. Clay Sci. 2011, 52, 160–164. [Google Scholar] [CrossRef]
- Faria, O.B.; Battistelle, R.A.G.; Neves, C. Influence of the addition of ‘synthetic termite saliva’ in the compressive strength and water absorption of compacted soil-cement. Ambiente Construído 2016, 16, 127–136. [Google Scholar] [CrossRef][Green Version]
- Mahamat, A.A.; Linda Bih, N.; Ayeni, O.; Azikiwe Onwualu, P.; Savastano, H.; Oluwole Soboyejo, W. Development of Sustainable and Eco-Friendly Materials from Termite Hill Soil Stabilized with Cement for Low-Cost Housing in Chad. Buildings 2021, 11, 86. [Google Scholar] [CrossRef]
- Jouquet, P.; Traoré, S.; Choosai, C.; Hartmann, C.; Bignell, D. Influence of termites on ecosystem functioning. Ecosystem services provided by termites. Eur. J. Soil Biol. 2011, 47, 215–222. [Google Scholar] [CrossRef]
- Ganguli, A.K.; Kumar, S.; Baruah, A.; Vaidya, S. Nanocrystalline silica from termite mounds. Curr. Sci. 2014, 106, 83–88. [Google Scholar]
- Van Huis, A. Cultural significance of termites in sub-Saharan Africa. J. Ethnobiol. Ethnomed. 2017, 13, 8. [Google Scholar] [CrossRef]
- Pomeroy, D.E. The Distribution and Abundance of Large Termite Mounds in Uganda. J. Appl. Ecol. 1977, 14, 465–475. [Google Scholar] [CrossRef]
- Ackerman, I.L.; Teixeira, W.G.; Riha, S.J.; Lehmann, J.; Fernandes, E.C.M. The impact of mound-building termites on surface soil properties in a secondary forest of Central Amazonia. Appl. Soil Ecol. 2007, 37, 267–276. [Google Scholar] [CrossRef]
- Sarcinelli, T.S.; Schaefer, C.E.G.R.; Lynch, L.D.S.; Arato, H.D.; Viana, J.H.M.; Filho, M.R.D.A.; Gonçalves, T.T. Chemical, physical and micromorphological properties of termite mounds and adjacent soils along a toposequence in Zona da Mata, Minas Gerais State, Brazil. Catena 2009, 76, 107–113. [Google Scholar] [CrossRef]
- Jean-Pierre, B.; Moise, A.A.A.; Sylvain, T.C.; Philippe, K.K.; Yao, T.; Ahoua, Y.; Mauricette, Q.N.S.W. Spatial distribution and Density of termite mounds in a protected habitat in the south of Cote d’Ivoire: Case of national floristic center (CNF) of UFHB of Abidjan. Eur. Sci. J. 2015, 11. [Google Scholar]
- Boukar, M.M.; Muslu, I. Administration and academic staff performance management system using content management system (cms) technologies. In Proceedings of the International Conference on Electronics, Computer and Computation (ICECCO), Ankara, Turkey, 7–8 November 2013. [Google Scholar]
- Chithra, S.; Kumar, S.R.R.S.; Chinnaraju, K.; Ashmita, F.A. A comparative study on the compressive strength prediction models for High Performance Concrete containing nano silica and copper slag using regression analysis and Artificial Neural Networks. Constr. Build. Mater. 2016, 114, 528–535. [Google Scholar] [CrossRef]
- Yazid, A.B.; Boukar, M.M.; Ibrahim, S.Y.; Muslu, I. Four-Factors Authentication Algorithm for Preventing Fake Attendance. In Proceedings of the 15th International Conference on Electronics, Computer and Computation (ICECCO), Abuja, Nigeria, 10–12 December 2019. [Google Scholar]
- Sun, Y.; Li, G.; Zhang, J. Developing hybrid machine learning models for estimating the unconfined compressive strength of jet grouting composite: A comparative study. Appl. Sci. 2020, 10, 1612. [Google Scholar] [CrossRef]
- Chaabene, W.B.; Flah, M.; Nehdi, M.L. Machine learning prediction of mechanical properties of concrete: Critical review. Constr. Build. Mater. 2020, 260, 119889. [Google Scholar] [CrossRef]
- Idris, M.K.; Boukar, M.M.; Adeshina, S.A. Analysis of bad roads using smart phone. In Proceedings of the 15th International Conference on Electronics, Computer and Computation (ICECCO), Abuja, Nigeria, 10–12 December 2019. [Google Scholar] [CrossRef]
- Naderpour, H.; Rafiean, A.H.; Fakharian, P. Compressive strength prediction of environmentally friendly concrete using artificial neural networks. J. Build. Eng. 2018, 16, 213–219. [Google Scholar] [CrossRef]
- Chopra, P.; Sharma, R.K.; Kumar, M. Prediction of Compressive Strength of Concrete Using Artificial Neural Network and Genetic Programming. Adv. Mater. Sci. Eng. 2016, 2016. [Google Scholar] [CrossRef]
- Al-Swaidani, A.M.; Khwies, W.T. Applicability of Artificial Neural Networks to Predict Mechanical and Permeability Properties of Volcanic Scoria-Based Concrete. Adv. Civ. Eng. 2018, 2018. [Google Scholar] [CrossRef]
- Park, J.Y.; Yoon, Y.G.; Oh, T.K. Prediction of concrete strength with P-, S-, R-wave velocities by support vector machine (SVM) and artificial neural network (ANN). Appl. Sci. 2019, 9, 4053. [Google Scholar] [CrossRef]
- Bonifácio, A.L.; Mendes, J.C.; Farage, M.C.R.; Barbosa, F.S.; Barbosa, C.B.; Beaucour, A.L. Application of support vector machine and finite element method to predict the mechanical properties of concrete. Lat. Am. J. Solids Struct. 2019, 16. [Google Scholar] [CrossRef]
- Lu, W.C.; Ji, X.B.; Li, M.J.; Liu, L.B.; Yue, B.H.; Zhang, L.M. Using support vector machine for materials design. Adv. Manuf. 2013, 1, 151–159. [Google Scholar] [CrossRef]
- Obianyo, I.I.; Anosike-Francis, E.N.; Ihekweme, G.O.; Geng, Y.; Jin, R.; Onwualu, A.P.; Soboyejo, A.B.O. Multivariate regression models for predicting the compressive strength of bone ash stabilized lateritic soil for sustainable building. Constr. Build. Mater. 2020, 263, 120677. [Google Scholar] [CrossRef]
- Sadrmomtazi, A.; Sobhani, J.; Mirgozar, M.A. Modeling compressive strength of EPS lightweight concrete using regression, neural network and ANFIS. Constr. Build. Mater. 2013, 42, 205–216. [Google Scholar] [CrossRef]
- British Standards Institution. British Standard Methods of Test for Soils for Civil Engineering Purposes; British Standards Institution: London, UK, 1990. [Google Scholar]
- Chen, T.C.T.; Liu, C.L.; Lin, H.D. Advanced artificial neural networks. Algorithms 2018, 11, 102. [Google Scholar] [CrossRef]
- Huynh, A.T.; Nguyen, Q.D.; Xuan, Q.L.; Magee, B.; Chung, T.; Tran, K.T.; Nguyen, K.T. A machine learning-assisted numerical predictor for compressive strength of geopolymer concrete based on experimental data and sensitivity analysis. Appl. Sci. 2020, 10, 7726. [Google Scholar] [CrossRef]
- Kandiri, A.; Sartipi, F.; Kioumarsi, M. Predicting Compressive Strength of Concrete Containing Recycled Aggregate Using Modified ANN with Different Optimization Algorithms. Appl. Sci. 2021, 11, 485. [Google Scholar] [CrossRef]
- Vapnik, V. The Support Vector Method of Function Estimation. In Nonlinear Modeling; Springer: Boston, MA, USA, 1998; pp. 55–85. [Google Scholar]
- Khandelwal, R. Quick and Easy Explanation of Logistic Regression A Simple Explanation of Logistic Regression, Why We Need It, How to Evaluate Its Performance and Build a Multi-Class Classification Using Logistic Regression in Python. Available online: https://towardsdatascience.com/quick-and-easy-explanation-of-logistics-regression-709df5cc3f1e (accessed on 17 March 2021).
- Bui, D.T.; Hoang, N.-D.; Nhu, V.-H. A swarm intelligence-based machine learning approach for predicting soil shear strength for road construction: A case study at Trung Luong National Expressway Project (Vietnam). Eng. Comput. 2019, 35, 955–965. [Google Scholar] [CrossRef]
- Anysz, H.; Brzozowski, L.; Narloch, W.K.P. Feature importance of stabilised rammed earth components affecting the compressive strength calculated with explainable artificial intelligence tools. Materials 2020, 13, 2317. [Google Scholar] [CrossRef]
- Chou, S.J.; Chiu, C.K.; Al-Taharwa, I.; Farfoura, M. Optimizing the Prediction Accuracy of Concrete Compressive Strength Based on a Comparison of Data-Mining Techniques. J. Comput. Civ. Eng. 2011, 25, 242–253. [Google Scholar] [CrossRef]




| Atterberg Limits | Particle Size | Color | Moisture Content | Density | Specific Gravity |
|---|---|---|---|---|---|
| Liquid Limit (33.51%) Plastic Limit (22.75%) Plasticity Index (10.76) | Clay (40%) Sand (38%) Silt (22%) | TS (brown) Alum (whitish) | 3.5% | 0.395 g/cm3 | 2.59 |
| Si/Al | Percent Activation | ICT (C) | Curing Temp (C) | Wa (%) | Weight (kg) | Strength (Mpa) |
|---|---|---|---|---|---|---|
| 1.85 | 0.03 | 105 | 27 | 10.68 | 0.191 | 0 |
| 1.91 | 0.03 | 60 | 27 | 13.36 | 0.189 | 0.1076 |
| 1.43 | 0.03 | 105 | 27 | 0.74 | 1.86 | 0 |
| 1.57 | 0.03 | 60 | 27 | 5.09 | 1.87 | 1.5796 |
| 1.72 | 0.03 | 105 | 60 | 17.73 | 0.185 | 0.5264 |
| 1.83 | 0.03 | 60 | 60 | 11.91 | 0.183 | 2.516 |
| 1.85 | 0.03 | 105 | 27 | 10.86 | 0.191 | 0 |
| 1.91 | 0.03 | 60 | 27 | 13.33 | 0.189 | 0.6084 |
| 1.43 | 0.03 | 105 | 27 | 0.71 | 1.86 | 0 |
| 1.57 | 0.03 | 60 | 27 | 4.88 | 1.87 | 2.7144 |
| 1.72 | 0.03 | 105 | 60 | 17.07 | 0.185 | 0.246 |
| 1.83 | 0.03 | 60 | 60 | 11.09 | 0.183 | 2.252 |
| 1.85 | 0.03 | 105 | 27 | 10.52 | 0.191 | 1.4156 |
| 1.91 | 0.03 | 60 | 27 | 13.28 | 0.189 | 1.42 |
| 1.43 | 0.03 | 105 | 27 | 0.79 | 1.86 | 0.4488 |
| 1.57 | 0.03 | 60 | 27 | 5.03 | 1.87 | 0.7076 |
| 1.72 | 0.03 | 105 | 60 | 18.01 | 0.185 | 0.588 |
| 1.83 | 0.03 | 60 | 60 | 12.58 | 0.183 | 0.1944 |
| 1.85 | 0.03 | 105 | 27 | 10.48 | 0.191 | 0.05184 |
| 1.91 | 0.03 | 60 | 27 | 13.55 | 0.189 | 2.3132 |
| 1.43 | 0.03 | 105 | 27 | 0.82 | 1.86 | 0.696 |
| 1.57 | 0.03 | 60 | 27 | 5.99 | 1.87 | 0.6688 |
| 1.72 | 0.03 | 105 | 60 | 18.25 | 0.185 | 0.48 |
| 1.83 | 0.03 | 60 | 60 | 12.05 | 0.183 | 0.0876 |
| 1.31 | 0.05 | 105 | 60 | 1.49 | 0.189 | 3.215 |
| 1.35 | 0.05 | 60 | 27 | 2.53 | 1.86 | 3.431 |
| 1.99 | 0.05 | 105 | 27 | 2.45 | 1.87 | 0.78 |
| 1.62 | 0.05 | 60 | 27 | 0.04 | 0.185 | 1.512 |
| 1.31 | 0.05 | 105 | 60 | 1.51 | 0.183 | 4.628 |
| 1.99 | 0.05 | 60 | 27 | 1.89 | 0.189 | 0.612 |
| 1.62 | 0.05 | 105 | 27 | 0.13 | 1.86 | 1.416 |
| 2.39 | 0.01 | 60 | 60 | 10.2 | 1.87 | 1.98 |
| 3.19 | 0.01 | 105 | 27 | 1.58 | 0.185 | 0.668 |
| 2.29 | 0.01 | 60 | 27 | 0.56 | 1.87 | 0.844 |
| 2.39 | 0.01 | 105 | 60 | 9.98 | 0.185 | 2.147 |
| 3.19 | 0.01 | 60 | 27 | 1.74 | 0.183 | 0.58 |
| 2.29 | 0.01 | 105 | 27 | 0.57 | 0.191 | 0.839 |
| Parameter | Value |
|---|---|
| Kernel | linear |
| C | 1 |
Publisher’s Note: MDPI stays neutral with regard to jurisdictional claims in published maps and institutional affiliations. |
© 2021 by the authors. Licensee MDPI, Basel, Switzerland. This article is an open access article distributed under the terms and conditions of the Creative Commons Attribution (CC BY) license (https://creativecommons.org/licenses/by/4.0/).
Share and Cite
Mahamat, A.A.; Boukar, M.M.; Ibrahim, N.M.; Stanislas, T.T.; Linda Bih, N.; Obianyo, I.I.; Savastano, H., Jr. Machine Learning Approaches for Prediction of the Compressive Strength of Alkali Activated Termite Mound Soil. Appl. Sci. 2021, 11, 4754. https://doi.org/10.3390/app11114754
Mahamat AA, Boukar MM, Ibrahim NM, Stanislas TT, Linda Bih N, Obianyo II, Savastano H Jr. Machine Learning Approaches for Prediction of the Compressive Strength of Alkali Activated Termite Mound Soil. Applied Sciences. 2021; 11(11):4754. https://doi.org/10.3390/app11114754
Chicago/Turabian StyleMahamat, Assia Aboubakar, Moussa Mahamat Boukar, Nurudeen Mahmud Ibrahim, Tido Tiwa Stanislas, Numfor Linda Bih, Ifeyinwa Ijeoma Obianyo, and Holmer Savastano, Jr. 2021. "Machine Learning Approaches for Prediction of the Compressive Strength of Alkali Activated Termite Mound Soil" Applied Sciences 11, no. 11: 4754. https://doi.org/10.3390/app11114754
APA StyleMahamat, A. A., Boukar, M. M., Ibrahim, N. M., Stanislas, T. T., Linda Bih, N., Obianyo, I. I., & Savastano, H., Jr. (2021). Machine Learning Approaches for Prediction of the Compressive Strength of Alkali Activated Termite Mound Soil. Applied Sciences, 11(11), 4754. https://doi.org/10.3390/app11114754

