Next Article in Journal
A Novel Shape Finding Method for the Main Cable of Suspension Bridge Using Nonlinear Finite Element Approach
Previous Article in Journal
The Role of Proteasome Inhibitors in Multiple Myeloma Bone Disease and Bone Metastasis: Effects on Osteoblasts and Osteocytes
Previous Article in Special Issue
Estimating the Polytropic Indices of Plasmas with Partial Temperature Tensor Measurements: Application to Solar Wind Protons at ~1 au
 
 
Font Type:
Arial Georgia Verdana
Font Size:
Aa Aa Aa
Line Spacing:
Column Width:
Background:
Article

Significance of Bernoulli Integral Terms for the Solar Wind Protons at 1 au

by
Georgios Nicolaou
1,*,
George Livadiotis
1 and
Mihir I. Desai
1,2
1
Southwest Research Institute, San Antonio, TX 78238, USA
2
Department of Physics and Astronomy, University of Texas at San Antonio, San Antonio, TX 78249, USA
*
Author to whom correspondence should be addressed.
Appl. Sci. 2021, 11(10), 4643; https://doi.org/10.3390/app11104643
Submission received: 20 March 2021 / Revised: 28 April 2021 / Accepted: 14 May 2021 / Published: 19 May 2021
(This article belongs to the Special Issue Dynamical Processes in Space Plasmas)

Abstract

The Bernoulli integral describes the energy conservation of a fluid along specific streamlines. The integral is the sum of individual terms that contain the plasma density, speed, temperature, and magnetic field. Typical solar wind analyses use the fluctuations of the Bernoulli integral as a criterion to identify different plasma streamlines from single spacecraft observations. However, the accurate calculation of the Bernoulli integral requires accurately determining the plasma polytropic index from the analysis of density and temperature observations. To avoid this complexity, we can simplify the calculations by keeping only the dominant terms of the integral. Here, we analyze proton plasma and magnetic field observations obtained by the Wind spacecraft at 1 au, during 1995. We calculate the Bernoulli integral terms and quantify their significance by comparing them with each other. We discuss potential simplifications of the calculations in the context of determining solar wind proton thermodynamics using single spacecraft observations.

1. Introduction

The solar wind is a very dynamic system, with plasma and electromagnetic field fluctuations occurring in a wide range of scales (e.g., [1], and references therein). Plasma and field measurements should be analyzed properly in order to understand the mechanisms that govern solar wind and space plasmas in general. For instance, knowing the velocity distribution functions of the plasma species makes it possible to derive the plasma bulk parameters, which are crucial in investigating mechanisms that involve momentum, heat, and energy transfer.
Certain dynamical processes need to be investigated along specific streamlines. If plasma observations are obtained in different streamlines, plasmas with entirely different properties may end up being analyzed, regardless of the mechanisms acting on them. Different streamlines in the solar wind may contain plasmas that originated in vastly different structures of the Sun. Therefore, if we do not analyze specific streamlines separately, the observed plasma variations may reflect the different plasma sources and not the effects of interesting dynamical processes.
For example, empirical determination of the plasma polytropic index from the plasma density and temperature fluctuations has meaning only for observations obtained within the same plasma streamline (e.g., [2,3]). The Bernoulli integral, which is expressed in terms of energy per mass, is conserved along specific streamlines. Therefore, typical analyses can identify plasma streamlines by detecting time intervals for which the standard deviation of the Bernoulli integral is below a predefined threshold value (e.g., [4,5,6,7,8,9]).
The Bernoulli integral is given by
1 2 v 2 + γ γ 1 P ρ + B 2 2 ρ μ 0 = C   for   γ 1 ,
and
1 2 v 2 + ln ρ P ρ + B 2 2 ρ μ 0 = C   for   γ 1 ,
where v is the plasma bulk speed, P is the thermal pressure, ρ is the mass density, B is the magnetic field, γ is the polytropic index, μ 0 is the magnetic permeability constant, and C is a constant characteristic for a streamline. The first term of the integral is the dynamic pressure over ρ. The second term includes the thermal pressure normalized to ρ, while the third term is the magnetic field pressure over ρ. Note that the fraction 1/2 in the third term, comes from averaging over all the possible angles between B and v vectors (e.g., [10,11]). The Bernoulli integral, in terms of the bulk flow speed v , thermal speed v th , and Alfvén speed v A , is:
1 2 v 2 + 1 2 v th 2 ( γ γ 1 ) + 1 2 v A 2 = C   for   γ 1 ,
and
1 2 v 2 + 1 2 v th 2 ln ρ + 1 2 v A 2 = C   for   γ 1 .
In general, the first (dynamic) term is expected to be the dominant term in solar wind protons at ~1 au, where the bulk flow speed is typically larger than the thermal and the Alfvén speed. However, the second term may become significant as γ → 1.
In this study, we investigate the significance of the Bernoulli integral terms in solar wind proton plasma. We analyze proton observations obtained at 1 au in order to quantify the contribution of each term and examine the accuracy of specific simplifications. We firstly investigate the integral terms for theoretical values of γ in order to cover a wide range of possible values. We then investigate the integral terms by estimating the actual γ of solar wind protons from the density and temperature fluctuations. The specific investigation reveals the occurrence of solar wind proton intervals in which the thermal term dominates over the other two terms. Based on this result we decide whether or not is appropriate to simplify the calculations in future applications. Here, we analyze an annual interval that contains observations of both slow and fast solar wind plasma (see [7,12]). In Section 2, we describe our data set, while in Section 3, we present the results of our analysis. In Section 4, we examine a continuous expression for the Bernoulli integral, and in Section 5, we discuss our findings. Finally, Section 6 summarizes our conclusions.

2. Data

We use the Wind spacecraft observations obtained at 1 au during 1995. We analyze the high time-resolution (~92 s) proton parameters and their 1-sigma uncertainties derived from non-linear fittings of bi-Maxwellian distributions to the observed distribution functions [13]. The quality of each fitting is quantified by the chi-squared parameter χ2. Here, we use the proton plasma density n , bulk speed v , thermal speed v th , the 1-sigma error of the plasma density σ n , and thermal speed σ v , th . We exclude the parameters that are derived with χ2 > 5 and all data points with relative density and temperature uncertainty σ n n > 0.3 and σ T T > 0.3 , respectively. Finally, we use the magnetic field B observations averaged over the time resolution of the plasma data (~92 s).

3. Results

3.1. Bernoulli Integral

Figure 1a shows the terms 1 2 v 2 , 1 2 v th 2 , and 1 2 v A 2 within the analyzed data set as a function of time. The gray line shows the dynamic term 1 2 v 2 , while the red and blue lines show the thermal 1 2 v th 2 and the magnetic 1 2 v A 2 terms, respectively. The dynamic term is almost always larger than the other two terms. Figure 1b shows histograms of the logarithms of the integral terms as calculated for the same time interval. The dynamic term peaks at ~4 × 1010 m2 s−2. The thermal term peaks at ~3 × 108 m2 s−2 and the magnetic term at 6 × 108 m2 s−2. The magnetic term ranges below and above the thermal, and slightly overlaps the dynamic term. The dynamic and thermal terms have no common range of values.
According to Equation (3), the second term of the non-isothermal Bernoulli integral is the thermal 1 2 v th 2 multiplied by γ γ 1 . Thus, the significance of the second term varies with the polytropic index γ . Figure 2a plots the time series of the Bernoulli integral in the solar wind protons, assuming five different values for γ . We specifically assume isobaric protons ( γ = 0), protons with γ = 1/2, protons with γ = 3/2, adiabatic protons with three kinetic degrees of freedom ( γ = cp/cv = 1.67), and protons with a nearly isochoric behavior ( γ ). Figure 2b focuses on a subinterval ranging from day of year (DOY) 305 to DOY 310. In Figure 2c, we show the histograms of the Bernoulli integral as calculated for all of 1995 for the different γ values. Our results shows that there are no apparent differences in the calculated integral, regardless of the γ values.
The second term of the Bernoulli integral may become the most significant term as γ → 1 (nearly isothermal plasma). In Figure 3a, we show γ γ 1 as a function of γ . The grey shadow indicates the range 5/6 < γ < 5/4 for which the absolute value of γ γ 1 exceeds 5. Figure 3b shows the histograms of the dynamic term, and the thermal term multiplied by 5. The two histograms overlap within the small range from 3.3 × 1010 to 3.7 × 1010 m2 s−2. This result means that in the data we analyze, the second term of the Bernoulli integral may become comparable to the dynamic term for 5/6 < γ < 5/4.

3.2. Variation of the Bernoulli Integral

The Bernoulli integral is often used as a criterion to identify streamlines within the solar wind (e.g., [4,5,6,7,8,9]). Such analyses usually examine the standard deviation of the Bernoulli integral within selected time intervals. Ideally, if the plasma measurements within the selected data interval represent the same streamline, the standard deviation of the calculated Bernoulli integral should be zero. However, in data analyses we may classify observations with standard deviations smaller than a reasonable threshold value as streamlines.
Here, we examine the standard deviation of the Bernoulli integral in short consecutive time intervals in 1995. As in [9,14,15], we analyze only time intervals that are shorter than 15 min. The choice of short intervals reduces the possibility to analyze data-points from different streamlines. However, the intervals should be large enough to have enough data-points for accurate calculations (for more see [9,14,15]). We calculate the standard deviations over the absolute mean values of the Bernoulli integral σ B e r n o u l l i | B e r n o u l l i ¯ | in each interval. We repeat the calculations, each time assuming a different polytropic index of the plasma protons. We specifically consider γ = 0, γ = 5/6, and γ = 5/4. We also calculate the relative standard deviation of the dynamic term σ d y n a m i c d y n a m i c ¯ within each interval. Figure 4a shows the histograms of the calculated relative deviations, while Figure 4b plots the histograms of the differences σ B e r n o u l l i | B e r n o u l l i ¯ | σ d y n a m i c d y n a m i c ¯ , for each γ value.
Our result indicates that the second and the third term of the integral do not significantly modify its relative deviation. For γ = 0, the second term of the integral vanishes, since γ γ 1 = 0 . In this case, the relative standard deviation of the integral does not differ by more than 5% of the relative deviation of the dynamic term. This means that the magnetic term contributes no more than ~5% to the relative deviations of the integral. For γ = 5/6 ( γ γ 1 = 5 ), the second term becomes negative and reduces the mean value of the Bernoulli integral. This seems to have some minor effects on the relative standard deviations. We observe that the corresponding histogram of σ B e r n o u l l i | B e r n o u l l i ¯ | σ d y n a m i c d y n a m i c ¯ is slightly wider (by ~1%) than that for γ = 0. Finally, for γ = 5/4, we do not observe any apparent difference from the case with γ = 0. According to this, we infer that even when γ is very close to unity, we may completely ignore the second term of the Bernoulli integral with almost no effect on the accuracy of the calculated relative standard deviations.

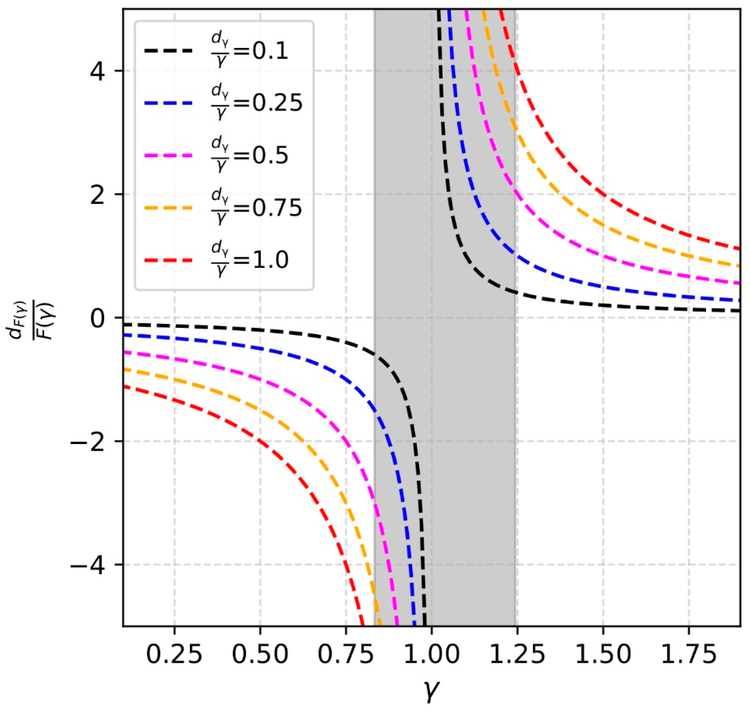
3.3. Propagation of Uncertainty

The calculation of the second term in Equations (1) and (3) requires the determination of γ . For realistic plasma measurements with a certain level of uncertainty, the index γ is derived with uncertainty δ γ . We use the error propagation formula in order to estimate the uncertainty of the function F ( γ ) γ γ 1 , which is part of the second term in the Bernoulli integral as
δ F = | ϑ F ϑ γ | δ γ δ F = δ γ ( γ 1 ) 2 .
The relative error δ F F is
δ F F = 1 ( γ 1 ) δ γ γ .
In Figure 5, we show the relative error δ F F as a function of γ for different values of the relative error of the polytropic index δ γ γ . The relative error δ F F increases rapidly as γ → 1. The grey solid bar shows the range 5/6 < γ < 5/4, for which the absolute value of F is larger than 5, and the histogram of the thermal term of the Bernoulli integral overlaps with the histogram of the dynamic term (see Figure 3). According to the diagrams in Figure 5, even for a small error in the calculated polytropic index such as δ γ γ = 0.1, the relative error of F( γ ) exceeds ~50% for γ values between 5/6 and 5/4.
Our analysis shows that the second term of the non-isothermal Bernoulli integral and its uncertainty may become significant for values γ 1 . In typical analyses however, we may use the non-isothermal expression when | γ 1 | is bigger than a threshold value we choose arbitrarily. Then, the significance of the second term in the Bernoulli integral depends on the threshold we choose. For instance, if we choose to use the isothermal expression for | γ 1 | < 0.3 , then according to Equations (2) and (4), the significance of the thermal term depends on the plasma density. It is then reasonable to ask: how do we choose the appropriate integral expression when γ is close to unity? In the Section 4 we re-examine the formula of the Bernoulli integral.

4. The Complete Bernoulli Integral

Livadiotis 2016 [16] shows step by step the derivation of the Bernoulli integral for compressible plasmas. They formulate the Bernoulli integral for any value of γ as
1 2 v 2 + 1 2 v th 2 · γ · ln γ ( ρ ρ * ) + 1 2 v A 2 = C ,
where ρ is the plasma density and ρ * is an arbitrary scale, which could be the density value measured at any specific point within the streamline. Finally, ln γ ( ρ ρ * ) is the q-deformed natural logarithm (e.g., [17,18,19]) defined as
ln γ ( ρ ρ * ) = 1 ( ρ ρ * ) 1 γ γ 1 .
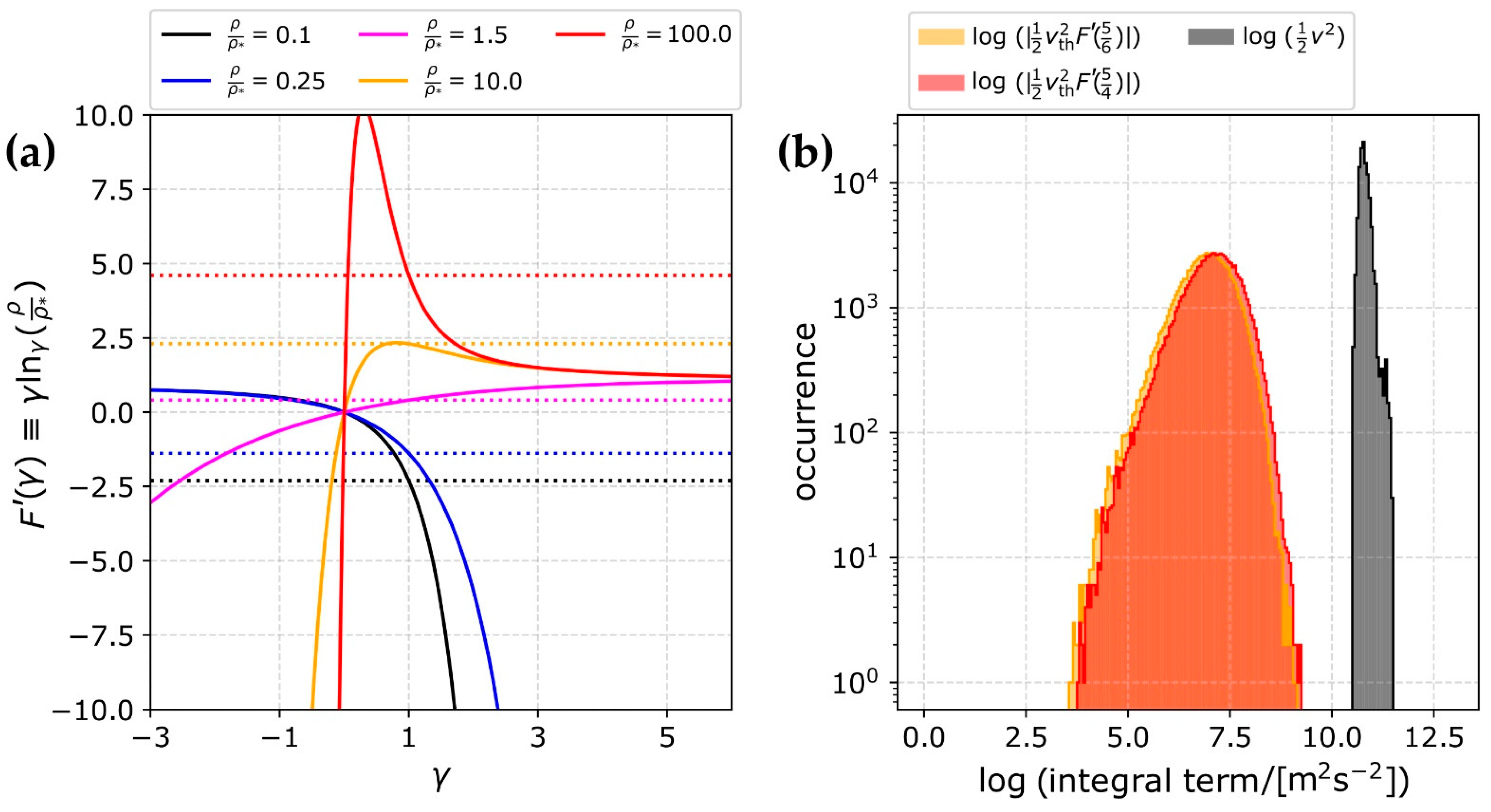
For γ 1 , Equation (8) gives the natural logarithm ln ( ρ ρ * ) . In Figure 6a, we plot the function F ( γ ) γ · ln γ ( ρ ρ * ) as a function of γ and different values of ρ ρ * . The dotted horizontal lines indicate the values of the natural logarithm ln ( ρ ρ * ) that intersect F at γ = 1. The function F ( γ ) is continuous at γ = 1, and highly dependent on ρ ρ * in general.
For a direct comparison with our results in Section 3, we calculate the integral as expressed in Equation (7) for γ = 5/6, and γ = 5/4 using the plasma proton observations in 1995. Figure 6b shows the histograms of the dynamic and the second term of the integral. Although the spread of the second term is larger than when calculated using Equation (1) or (3), it does not overlap with the dynamic term.
We also examine the complete Bernoulli integral for γ determined from the density and temperature data within selected, short (<15 min) intervals. Similarly to [9,20,21], we perform a weighted fitting of the polytropic equation to log ( n ) vs. log ( T ) data. The weighted fitting derives the polytropic index γ and the 1-sigma error σ γ . We apply a polytropic index uncertainty filter by excluding data points with σγ larger than a specific threshold value. In Figure 7, we plot histograms of 1 2 v 2 and 1 2 v th 2 F ( γ ) terms for different σ γ filters. When all the data points are taken into account, there is a small overlap of the two terms. However, the number of overlapping data points is negligible compared to the total data set. For all the other cases we present here, the second term of the integral does not become comparable with the dynamic term.

5. Discussion

We examine the terms of the Bernoulli integral in solar wind protons at ~1 au. First, we show that 1 2 v 2 is typically by ~2 orders of magnitude larger than 1 2 v th 2 and 1 2 v A 2 . We then verify that the second term 1 2 v th 2 ( γ γ 1 ) of the integral for non-isothermal plasmas, may become significant for | γ γ 1 | > 5 , which corresponds to 5 6 < γ < 5 4 . Moreover, we quantify the relative standard deviation of the Bernoulli integral within short intervals, assuming different γ values. Our results show that the second and third terms of the integral affect the overall deviation of the integral by just a few percent, even for γ ~ 5/6 and γ ~ 5/4.
We further quantify the error of the second term as a function of the polytropic index uncertainty. We show that for the range of γ values for which the term becomes significant ( | γ γ 1 | > 5 ), the absolute value of its relative uncertainty exceeds 50%, even for small γ uncertainties (e.g., δ γ γ = 0.1 ). Therefore, in order to maintain a high accuracy in the calculations of the Bernoulli integral, we need to ensure higher accuracy of γ as γ → 1.
Based on our results, we could potentially drop the less significant terms of the Bernoulli integral without reducing the accuracy of the calculations. In other words, we could ignore the second and the third terms of the integral, or just the second term for a reasonable range of γ close to unity. Note that by excluding the second term, we also reduce the large uncertainties of the integral due to the uncertainty δ γ . Such an approach may be useful when accurate measurements of the plasma density, temperature, or magnetic field are not available.
The study by [5] derives γ of solar wind protons at 1 au by applying linear fittings to ln ( n ) vs. ln ( T ) observations. They exclude all the intervals for which the linear correlation between ln ( n ) and ln ( T ) is smaller than a threshold value. The correlation filter excludes all cases with γ → 1 (see Figure 3 of [5] and the extensive discussion in [21]). The authors simplify their calculations further, by neglecting the internal energy term and the magnetic term, exactly as in [4]. This simplification is equivalent to using the Bernoulli integral expression for incompressible, non-magnetized plasmas, which is independent of γ . Although [22] argue that this approach is not appropriate, we support that when analyzing solar wind protons at 1 au, there is no apparent impact on the results if the cases with γ → 1 are properly treated or excluded from a large statistical sample.
We also investigate the complete Bernoulli integral, which is a continuous function of γ . We examine the significance of the thermal term against the dynamic term as calculated for the solar wind protons at ~1 au assuming γ = 5/6 and γ = 5/4, respectively. We show that the second term is even less significant in this consideration than it is when we use the non-isothermal expression in Equations (1) and (3). However, we need to emphasize that the significance of the second term can be very large for a range of γ and ρ ρ * values. For example, for ρ ρ * = 0.1, the thermal term is < 5 v th 2 as γ → 2. For completeness, we repeat our calculations in the solar wind protons using γ values determined from linear fittings to ln ( n ) vs. ln ( T ) data points within short subintervals. Our calculations verify that the second term of the integral is insignificant in solar wind protons at ~1 au, especially when we exclude intervals with high uncertainty of the derived polytropic index.

6. Conclusions

This study examines the significance of the Bernoulli integral terms in solar wind protons at ~1 au. By examining the relevant theory and analyzing spacecraft data we conclude the following:
  • For typical γ values, the dynamic term 1 2 v 2 is the most significant term of the integral;
  • The term that includes the plasma temperature (thermal speed) in the non-isothermal Bernoulli integral, becomes significant only for γ 1 ;
  • When the non-isothermal expression is used, the relative uncertainty of the integral becomes significantly large as γ 1 ;
  • On average, we can estimate very accurately the Bernoulli integral of solar wind proton plasma at ~1 au and its fluctuations in short intervals by excluding cases with γ ~ 1 or by using only the dynamic term;
  • The term of the continuous Bernoulli integral that includes the thermal speed is also negligible for typical solar wind protons at 1 au.

Author Contributions

Conceptualization, G.N. and G.L.; methodology, G.N. and G.L.; software, G.N.; validation, G.N., G.L. and M.I.D.; formal analysis, G.N.; investigation, G.N. and G.L.; resources, G.L. and M.I.D.; data curation, G.N.; writing—original draft preparation, G.N.; writing—review and editing, G.N., G.L. and M.I.D.; visualization, G.N.; supervision, G.N., G.L. and M.I.D.; project administration, G.N., G.L. and M.I.D.; funding acquisition, M.I.D. All authors have read and agreed to the published version of the manuscript.

Funding

This research was funded by NASA Grant 80NSSC21K0112.

Institutional Review Board Statement

Not applicable.

Informed Consent Statement

Not applicable.

Data Availability Statement

The data set we use in this study is publicly available at https://cdaweb.gsfc.nasa.gov/index.html (accessed on 14 May 2021).

Conflicts of Interest

The authors declare no conflict of interest.

References

  1. Verscharen, D.; Klein, K.G.; Maruca, B.A. The multi-scale nature of the solar wind. Living Rev. Sol. Phys. 2019, 16, 5. [Google Scholar] [CrossRef] [PubMed]
  2. Parker, E.N. Interplanetary Dynamical Processes; Wiley-Interscience: Hoboken, NJ, USA, 1963. [Google Scholar]
  3. Chandrasekhar, S. An Introduction to the Study of Stellar Structure; Dover Publications: New York, NY, USA, 1967. [Google Scholar]
  4. Kartalev, M.; Dryer, M.; Grigorov, K.; Stoimenova, E. Solar wind polytropic index estimates based on single spacecraft plasma and interplanetary field measurements. J. Geophys. Res. 2006, 111, A10107. [Google Scholar] [CrossRef]
  5. Nicolaou, G.; Livadiotis, G.; Moussas, X. Long-term variability of the polytropic index of solar wind protons at 1 AU. Sol. Phys. 2014, 289, 1371–1378. [Google Scholar] [CrossRef]
  6. Pang, X.; Cao, J.; Liu, W.; Ma, Y.; Lu, H.; Yang, J.; Li, L.; Liu, X.; Wang, J.; Wang, T.; et al. Polytropic index of central plasma sheet ions based on MHD Bernoulli integral. J. Geophys. Res. 2015, 120, 4736–4747. [Google Scholar] [CrossRef]
  7. Livadiotis, G. Using kappa distributions to identify the potential energy. J. Geophys. Res. 2018, 123, 1050–1060. [Google Scholar] [CrossRef]
  8. Livadiotis, G. Long-term independence of solar wind polytropic index on plasma flow speed. Entropy 2018, 20, 799. [Google Scholar] [CrossRef] [PubMed]
  9. Nicolaou, G.; Livadiotis, G. Long-term correlations of polytropic indices with kappa distributions in solar wind plasma near 1 au. Astrophys. J. 2019, 884, 52. [Google Scholar] [CrossRef]
  10. Park, J.-S.; Shue, J.-H.; Nariyuki, Y.; Kartalev, M. Dependence of Thermodynamic Processes on Upstream Interplanetary Magnetic Field Conditions for Magnetosheath Ions. J. Geophys. Res. 2019, 124, 1866–1882. [Google Scholar] [CrossRef]
  11. Livadiotis, G. Turbulent Heating in Solar Wind Thermodynamics. Astrophys. J. 2019, 887, 117. [Google Scholar] [CrossRef]
  12. Dayeh, M.A.; McComas, D.J.; Allegrini, F.; De Majistre, B.; Desai, M.I.; Funsten, H.O.; Janzen, P.; Livadiotis, G.; Randol, B.M.; Reisenfeld, D.B.; et al. Effects of Fast and Slow Solar Wind on the Energetic Neutral Atom (ENA) Spectra Measured by the Interstellar Boundary Explorer (IBEX) at the Heliospheric Poles. Astrophys. J. 2012, 749, 50. [Google Scholar] [CrossRef]
  13. Kasper, J. Solar Wind Plasma: Kinetic Properties and Micro-Instabilities. Ph.D. Thesis, Massachusetts Institute of Technology, Cambridge, MA, USA, 2003. [Google Scholar]
  14. Nicolaou, G.; Livadiotis, G.; Wicks, R.T.; Verscharen, D.; Maruca, B. Polytropic Behavior of Solar Wind Protons Observed by Parker Solar Probe. Astrophys. J. 2020, 901, 26. [Google Scholar] [CrossRef]
  15. Livadiotis, G.; Nicolaou, G. Relationship between polytropic index and temperature anisotropy in space plasmas. Astrophys. J. 2021, 909, 127. [Google Scholar] [CrossRef]
  16. Livadiotis, G. Superposition of polytropic in the inner heliosheath. Astrophys. J. Suppl. Ser. 2016, 223, 1–13. [Google Scholar] [CrossRef]
  17. Silva, R., Jr.; Plastino, A.R.; Lima, J.A.S. A Maxwellian path to the q-nonextensive velocity distribution function. Phys. Lett. A 1998, 249, 401–408. [Google Scholar] [CrossRef]
  18. Yamano, T. Some properties of q-logarithm and q-exponential functions in Tsallis statistics. Phys. A Stat. Mech. Appl. 2002, 305, 486–496. [Google Scholar] [CrossRef]
  19. Livadiotis, G.; McComas, D.J. Beyond kappa distributions: Exploiting Tsallis statistical mechanics in space plasmas. J. Geophys. Res. 2009, 114, A11105. [Google Scholar] [CrossRef]
  20. Livadiotis, G.; Desai, M.I.; Wilson, L.B., III. Generation of kappa distributions in Solar Wind at 1 au. Astrophys. J. 2018, 853, 142. [Google Scholar] [CrossRef]
  21. Nicolaou, G.; Livadiotis, G.; Wicks, R.T. On the Calculation of the Effective Polytropic Index in Space Plasmas. Entropy 2019, 21, 997. [Google Scholar] [CrossRef]
  22. Pang, X.; Wang, F.; Ceng, X.; Wang, X.; Deng, Z.; Zhang, Q.; Duan, P.; Xu, L. Polytropic Index of the Solar Wind Ions Near the Earth Calculated Using a Homogeneous Magnetohydrodynamic Bernoulli Integral. Astrophys. J. 2020, 904, 167. [Google Scholar] [CrossRef]
Figure 1. (a) The (gray) 1 2 v 2 , (red) 1 2 v th 2 , and (blue) 1 2 v A 2 terms calculated for solar wind protons at ~1 au during 1995, and (b) the corresponding histograms of each term. The dynamic term 1 2 v 2 , is almost always larger than the other two.
Figure 1. (a) The (gray) 1 2 v 2 , (red) 1 2 v th 2 , and (blue) 1 2 v A 2 terms calculated for solar wind protons at ~1 au during 1995, and (b) the corresponding histograms of each term. The dynamic term 1 2 v 2 , is almost always larger than the other two.
Applsci 11 04643 g001
Figure 2. (a) Time series of the Bernoulli integral for different polytropic index values; (solid magenta) γ = 0, (dashed green) γ = 1/2, (dashed dotted blue) γ = 3/2, (dotted grey) γ = 5/3, and (dotted black) γ . (b) The Bernoulli integral for the considered γ values in a short sub-interval from day 305 to day 310 of 1995. (c) Histograms of the Bernoulli integral in 1995 for the different polytropic indices we assume here.
Figure 2. (a) Time series of the Bernoulli integral for different polytropic index values; (solid magenta) γ = 0, (dashed green) γ = 1/2, (dashed dotted blue) γ = 3/2, (dotted grey) γ = 5/3, and (dotted black) γ . (b) The Bernoulli integral for the considered γ values in a short sub-interval from day 305 to day 310 of 1995. (c) Histograms of the Bernoulli integral in 1995 for the different polytropic indices we assume here.
Applsci 11 04643 g002
Figure 3. (a) The term γ γ 1 as a function of γ . The grey ribbon indicates the range of γ for which the absolute value of γ γ 1 exceeds 5 (red dashed). (b) the histograms of (grey) the dynamic term and (red) the absolute value of the thermal term of the Bernoulli integral assuming plasma with γ γ 1 = 5 (or −5).
Figure 3. (a) The term γ γ 1 as a function of γ . The grey ribbon indicates the range of γ for which the absolute value of γ γ 1 exceeds 5 (red dashed). (b) the histograms of (grey) the dynamic term and (red) the absolute value of the thermal term of the Bernoulli integral assuming plasma with γ γ 1 = 5 (or −5).
Applsci 11 04643 g003
Figure 4. (a) Histograms of the relative standard deviations (standard deviations over the absolute mean values) of the Bernoulli integral within short time intervals observed in 1995. We calculate the Bernoulli integral assuming (magenta) γ = 0, (blue) γ = 5/6, and (red) γ = 5/4. The grey histogram shows the relative deviation of the dynamic term 1 2 v 2 . (b) histograms of the differences between the Bernoulli integral relative deviation and the relative deviation of the dynamic term within the selected intervals.
Figure 4. (a) Histograms of the relative standard deviations (standard deviations over the absolute mean values) of the Bernoulli integral within short time intervals observed in 1995. We calculate the Bernoulli integral assuming (magenta) γ = 0, (blue) γ = 5/6, and (red) γ = 5/4. The grey histogram shows the relative deviation of the dynamic term 1 2 v 2 . (b) histograms of the differences between the Bernoulli integral relative deviation and the relative deviation of the dynamic term within the selected intervals.
Applsci 11 04643 g004
Figure 5. Relative error of the function F ( γ ) = γ γ 1 , as a function of γ and for polytropic index uncertainties δ γ γ .
Figure 5. Relative error of the function F ( γ ) = γ γ 1 , as a function of γ and for polytropic index uncertainties δ γ γ .
Applsci 11 04643 g005
Figure 6. (a) The function F ( γ ) γ · ln γ ( ρ ρ * ) , which multiplies the thermal term in the complete Bernoulli integral as a function of γ and for several ρ ρ * ratios. (b) Histograms of the (grey) dynamic term and the absolute value of the second term of Equation (7) as calculated from Wind observations, assuming (orange) γ = 5/6, and (red) γ = 5/4.
Figure 6. (a) The function F ( γ ) γ · ln γ ( ρ ρ * ) , which multiplies the thermal term in the complete Bernoulli integral as a function of γ and for several ρ ρ * ratios. (b) Histograms of the (grey) dynamic term and the absolute value of the second term of Equation (7) as calculated from Wind observations, assuming (orange) γ = 5/6, and (red) γ = 5/4.
Applsci 11 04643 g006
Figure 7. Histograms of (grey) 1 2 v 2 and (red) 1 2 v th 2 γ ln γ ( ρ ρ * ) terms of the complete Bernoulli integral for solar wind protons at 1 au observed by Wind during 1995. We present the cases for which we take into account (a) all σγ values, (b) only data with σγ < 1, (c) σγ < 0.5, and (d) σγ < 0.2.
Figure 7. Histograms of (grey) 1 2 v 2 and (red) 1 2 v th 2 γ ln γ ( ρ ρ * ) terms of the complete Bernoulli integral for solar wind protons at 1 au observed by Wind during 1995. We present the cases for which we take into account (a) all σγ values, (b) only data with σγ < 1, (c) σγ < 0.5, and (d) σγ < 0.2.
Applsci 11 04643 g007
Publisher’s Note: MDPI stays neutral with regard to jurisdictional claims in published maps and institutional affiliations.

Share and Cite

MDPI and ACS Style

Nicolaou, G.; Livadiotis, G.; Desai, M.I. Significance of Bernoulli Integral Terms for the Solar Wind Protons at 1 au. Appl. Sci. 2021, 11, 4643. https://doi.org/10.3390/app11104643

AMA Style

Nicolaou G, Livadiotis G, Desai MI. Significance of Bernoulli Integral Terms for the Solar Wind Protons at 1 au. Applied Sciences. 2021; 11(10):4643. https://doi.org/10.3390/app11104643

Chicago/Turabian Style

Nicolaou, Georgios, George Livadiotis, and Mihir I. Desai. 2021. "Significance of Bernoulli Integral Terms for the Solar Wind Protons at 1 au" Applied Sciences 11, no. 10: 4643. https://doi.org/10.3390/app11104643

APA Style

Nicolaou, G., Livadiotis, G., & Desai, M. I. (2021). Significance of Bernoulli Integral Terms for the Solar Wind Protons at 1 au. Applied Sciences, 11(10), 4643. https://doi.org/10.3390/app11104643

Note that from the first issue of 2016, this journal uses article numbers instead of page numbers. See further details here.

Article Metrics

Back to TopTop