Characterization of PM10-Bound Polycyclic Aromatic Hydrocarbons and Associated Carcinogenic Risk in Bangkok, Thailand
Abstract
1. Introduction
- Compare the relative magnitudes of PM10, pPAHs and related toxic equivalent concentrations at the roadside, background and industrial locations.
- Examine seasonal effects of concentrations of the above metrics at the three sites.
- Estimate the lung cancer risk of inhalation exposure from specific pPAHs [25].
2. Materials and Methods
2.1. Sampling Sites
2.2. PAH Extraction
2.3. PAH Analysis
2.4. Statistical Analysis
2.5. Determination of Exposure Concentration (EC)
+ 0.001 * PYR + 0.005 * BaA + 0.03 * CHR + 0.1 * BbF + 0.05 * BkF
+ 1 * BaP + 1.1 * DBA + 0.1 * IP + 0.02 * BP
- CA = contaminant concentration in air as BaP-TEQ concentration (ng m−3)
- EC = exposure concentration (ng m−3)
2.6. Estimation of Incremental Lifetime Cancer Risk (ILCR)
- -
- ADAF = 10 during 0 to 2 years of life;
- -
- ADAF = 3 during 2 to 16 years of life; and
- -
- ADAF = 1 from 16 to 70 years.
3. Results and Discussion
3.1. PM10-Bound PAH Profiles
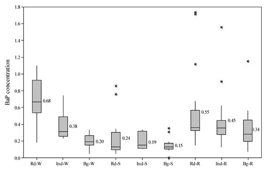
3.2. Carcinogenicity of PM10-Bound PAHs
4. Conclusions
Supplementary Materials
Author Contributions
Funding
Data Availability Statement
Acknowledgments
Conflicts of Interest
References
- Available online: https://worldpopulationreview.com/world-cities/bangkok-population (accessed on 29 April 2021).
- PCD. Air Quality and Noise Standards. 2004. Available online: http://www.pcd.go.th/info_serv/en_reg_std_airsnd01.html (accessed on 16 May 2016).
- WHO. WHO Air Quality Guidelines for Particulate Matter, Ozone, Nitrogen Dioxide and Sulfur Dioxide; World Health Organisation: Geneva, Switzerland, 2006. [Google Scholar]
- Kondwani, R.C.; Michael, O.R.; Amornphat, T.; Laura, A.M.; Robert, M.K. Exploratory study of Polycyclic Aromatic Hydrocarbon (PAH) contributions to household air pollution arising from improved cookstove use in rural Malawi. Afr. J. Environ. Sci. Technol. 2019, 13, 36–51. [Google Scholar] [CrossRef]
- Callén, M.S.; de la Cruz, M.T.; López, J.M.; Mastral, A.M. PAH in airborne particulate matter. Carcinogenic character of PM10 samples and assessment of the energy generation impact. Fuel Process. Technol. 2011, 92, 176–182. [Google Scholar] [CrossRef]
- IARC. IARC Monographs on the Evaluation of Carcinogenic Risks to Humans; The International Agency for Research on Cancer: Lyon, France, 2010; Volume 92. [Google Scholar]
- Adonis, M.; Martínez, V.; Riquelme, R.; Ancic, P.; González, G.; Tapia, R.; Castro, M.; Lucas, D.; Berthou, F.; Gil, L. Susceptibility and exposure biomarkers in people exposed to PAHs from diesel exhaust. Toxicol. Lett. 2003, 144, 3–15. [Google Scholar] [CrossRef]
- Amador-Muñoz, O.; Villalobos-Pietrini, R.; Agapito-Nadales, M.C.; Munive-Colín, Z.; Hernández-Mena, L.; Sánchez-Sandoval, M.; Gómez-Arroyo, S.; Bravo-Cabrera, J.L.; Guzmán-Rincón, J. Solvent extracted organic matter and polycyclic aromatic hydrocarbons distributed in size-segregated airborne particles in a zone of México City: Seasonal behaviour and human exposure. Atmos. Environ. 2010, 44, 122–130. [Google Scholar] [CrossRef]
- Anastasopoulos, A.T.; Wheeler, A.J.; Karman, D.; Kulka, R.H. Intraurban concentrations, spatial variability and correlation of ambient polycyclic aromatic hydrocarbons (PAH) and PM2.5. Atmos. Environ. 2012, 59, 272–283. [Google Scholar] [CrossRef]
- Jung, K.H.; Yan, B.; Chillrud, S.N.; Perera, F.P.; Whyatt, R.; Camann, D.; Kinney, P.L.; Miller, R.L. Assessment of benzo(a)pyrene-equivalent carcinogenicity and mutagenicity of residential indoor versus outdoor polycyclic aromatic hydrocarbons exposing young children in New York City. Int. J. Environ. Res. Public Health 2010, 7, 1889–1900. [Google Scholar] [CrossRef]
- Ruchirawat, M.; Mahidol, C.; Tangjarukij, C.; Pui-Ock, S.; Jensen, O.; Kampeerawipakorn, O.; Tuntaviroon, J.; Aramphongphan, A.; Autrup, H. Exposure to genotoxins present in ambient air in Bangkok, Thailand—Particle associated polycyclic aromatic hydrocarbons and biomarkers. Sci. Total. Environ. 2002, 287, 121–132. [Google Scholar] [CrossRef]
- Thyssen, J.; Kimmerle, G.; Althoff, J.; Mohr, U. Inhalation Studies with Benzo[a]pyrene in Syrian Golden Hamsters23. J. Natl. Cancer Inst. 1981, 66, 575–577. [Google Scholar] [CrossRef]
- Teixeira, E.C.; Pra, D.; Idalgo, D.; Henriques, J.A.P.; Wiegand, F. DNA-damage effect of polycyclic aromatic hydrocarbons from urban area, evaluated in lung fibroblast cultures. Environ. Pollut. 2012, 162, 430–438. [Google Scholar] [CrossRef]
- Kongpran, J.; Kliengchuay, W.; Niampradit, S.; Sahanavin, N.; Siriratruengsuk, W.; Tantrakarnapa, K. The Health Risks of Airborne Polycyclic Aromatic Hydrocarbons (PAHs): Upper North Thailand. GeoHealth 2021, 5, e2020GH000352. [Google Scholar] [CrossRef]
- Thepnuan, D.; Chantara, S. Characterization of PM2.5–bound Polycyclic Aromatic Hydrocarbons in Chiang Mai, Thailand during Biomass Open Burning Period of 2016. Appl. Environ. Res. 2020, 42, 11–24. [Google Scholar] [CrossRef]
- EC. Directive 2004/107/EC of the European Parliament and of the Council of 15 December 2004 relating to arsenic, cadmium, mercury, nickel and polycyclic aromatic hydrocarbons in ambient air. Off. J. Eur. Communities 2004, L23/3, 8. [Google Scholar]
- DEFRA. The Air Quality Strategy for England, Scotland, Wales and Northern Ireland; The Stationery Office: London, UK, 2007; Volume 2. [Google Scholar]
- Wickramasinghe, A.; Karunaratne, D.; Sivakanesan, R. PM10-bound polycyclic aromatic hydrocarbons: Biological indicators, lung cancer risk of realistic receptors and ‘source-exposure-effect relationship’ under different source scenarios. Chemosphere 2012, 87, 1381–1387. [Google Scholar] [CrossRef] [PubMed]
- Callén, M.S.; Lopez, J.M.; Mastral, A.M. Influence of natural and anthropogenic sources on PM10 air concentrations in Spain. Air Pollut. XIX 2011, 1, 149–160. [Google Scholar] [CrossRef]
- Norramit, P.; Cheevaporn, V.; Itoh, N.; Tanaka, K. Characterization and Carcinogenic Risk Assessment of Polycyclic Aromatic Hydrocarbons in the Respirable Fraction of Airborne Particles in the Bangkok Metropolitan Area. J. Health Sci. 2005, 51, 437–446. [Google Scholar] [CrossRef][Green Version]
- Larsen, J.C.; Larsen, P.B. Chemical Carcinogens. In Issues in Environmental Science and Technology; Royal Society of Chemistry: London, UK, 1998; pp. 33–56. [Google Scholar]
- Ruchirawat, M.; Settachan, D.; Navasumrit, P.; Tuntawiroon, J.; Autrup, H. Assessment of potential cancer risk in children exposed to urban air pollution in Bangkok, Thailand. Toxicol. Lett. 2007, 168, 200–209. [Google Scholar] [CrossRef]
- Pleil, J.D.; Vette, A.F.; Rappaport, S.M. Assaying particle-bound polycyclic aromatic hydrocarbons from archived PM2.5 filters. J. Chromatogr. A 2004, 1033, 9–17. [Google Scholar] [CrossRef]
- Pollution Control Department. Thailand State of Pollution Report 2011. 2012. Available online: http://infofile.pcd.go.th/mgt/Report_Eng2554.pdf?CFID=21130752&CFTOKEN=76494286 (accessed on 4 September 2014).
- US EPA. Compendium Method TO-13A: Determination of Polycyclic Aromatic Hydrocarbons (PAHs) in Ambient Air Using Gas Chromatography/Mass Spectrometry (GC/MS) (EPA/625/R-96/010b); Office of Research and Development: Washington, DC, USA, 1999.
- US EPA. Exposure Factors Handbook 2011 Edition (Final); Environmental Protection Agency: Washington, DC, USA, 2011; (EPA/600/R-09/052F). Available online: https://cfpub.epa.gov/ncea/risk/recordisplay.cfm?deid=236252 (accessed on 10 June 2016).
- US EPA. Update of Standard Default Exposure Factors. 2014. Available online: https://www.epa.gov/risk/update-standard-default-exposure-factors (accessed on 10 June 2016).
- OEHHA. Technical Support Document for Cancer Potency Factors: Methodologies for derivation, listing of Available Values, and Adjustments to Allow for Early Life Stage Exposures; California Environmental Protection Agency: Sacramento, CA, USA, 2009; p. A-1, See Appendix A. [Google Scholar]
- Jamhari, A.A.; Sahani, M.; Latif, M.T.; Chan, K.M.; Tan, H.S.; Khan, F.; Tahir, N.M. Concentration and source identification of polycyclic aromatic hydrocarbons (PAHs) in PM10 of urban, industrial and semi-urban areas in Malaysia. Atmos. Environ. 2014, 86, 16–27. [Google Scholar] [CrossRef]
- Thongsanit, P.; Jinsart, W.; Hooper, B.; Hooper, M.; Limpaseni, W. Atmospheric Particulate Matter and Polycyclic Aromatic Hydrocarbons for PM10 and Size-Segregated Samples in Bangkok. J. Air Waste Manag. Assoc. 2003, 53, 1490–1498. [Google Scholar] [CrossRef]
- Kim Oanh, N.T.; Bætz Reutergårdh, L.; Dung, N.T.; Yu, M.-H.; Yao, W.-X.; Co, H.X. Polycyclic aromatic hydrocarbons in the airborne particulate matter at a location 40 km north of Bangkok, Thailand. Atmos. Environ. 2000, 34, 4557–4563. [Google Scholar] [CrossRef]
- Ravindra, K.; Sokhi, R.; Van Grieken, R. Atmospheric polycyclic aromatic hydrocarbons: Source attribution, emission factors and regulation. Atmos. Environ. 2008, 42, 2895–2921. [Google Scholar] [CrossRef]
- Jyethi, D.S.; Khillare, P.S.; Sarkar, S. Risk assessment of inhalation exposure to polycyclic aromatic hydrocarbons in school children. Environ. Sci. Pollut. Res. 2014, 21, 366–378. [Google Scholar] [CrossRef]
- Nisbet, I.C.; Lagoy, P.K. Toxic equivalency factors (TEFs) for polycyclic aromatic hydrocarbons (PAHs). Regul. Toxicol. Pharmacol. 1992, 16, 290–300. [Google Scholar] [CrossRef]
- Chang, K.-F.; Fang, G.-C.; Chen, J.-C.; Wu, Y.-S. Atmospheric polycyclic aromatic hydrocarbons (PAHs) in Asia: A review from 1999 to 2004. Environ. Pollut. 2006, 142, 388–396. [Google Scholar] [CrossRef] [PubMed]
- Froehner, S.; Maceno, M.; Machado, K.S. Predicting bioaccumulation of PAHs in the trophic chain in the estuary region of Paranagua, Brazil. Environ. Monit. Assess. 2010, 174, 135–145. [Google Scholar] [CrossRef] [PubMed]
- Heinrich, U.; Roller, M.; Pott, F. Estimation of a lifetime unit lung cancer risk for benzo(a)pyrene based on tumour rates in rats exposed to coal tar/pitch condensation aerosol. Toxicol. Lett. 1994, 72, 155–161. [Google Scholar] [CrossRef]
- Belis, C.; Cancelinha, J.; Duane, M.; Forcina, V.; Pedroni, V.; Passarella, R.; Tanet, G.; Douglas, K.; Piazzalunga, A.; Bolzacchini, E.; et al. Sources for PM air pollution in the Po Plain, Italy: I. Critical comparison of methods for estimating biomass burning contributions to benzo(a)pyrene. Atmos. Environ. 2011, 45, 7266–7275. [Google Scholar] [CrossRef]
- Callén, M.; López, J.; Iturmendi, A.; Mastral, A. Nature and sources of particle associated polycyclic aromatic hydrocarbons (PAH) in the atmospheric environment of an urban area. Environ. Pollut. 2013, 183, 166–174. [Google Scholar] [CrossRef]
- Chantara, S.; Sangchan, W. Sensitive analytical method for particle-bound polycyclic aromatic hydrocarbons: A case study in Chiang Mai, Thailand. Sci. Asia 2009, 35, 42–48. [Google Scholar] [CrossRef]
- Sienra, M.D.R.; Rosazza, N.G.; Préndez, M. Polycyclic aromatic hydrocarbons and their molecular diagnostic ratios in urban atmospheric respirable particulate matter. Atmos. Res. 2005, 75, 267–281. [Google Scholar] [CrossRef]
- Vasconcellos, P.C.; Souza, D.Z.; Ávila, S.G.; Araújo, M.P.; Naoto, E.; Nascimento, K.H.; Cavalcante, F.S.; Dos Santos, M.; Smichowski, P.; Behrentz, E. Comparative study of the atmospheric chemical composition of three South American cities. Atmos. Environ. 2011, 45, 5770–5777. [Google Scholar] [CrossRef]
- Vestenius, M.; Leppänen, S.; Anttila, P.; Kyllönen, K.; Hatakka, J.; Hellén, H.; Hyvärinen, A.P.; Hakola, H. Back-ground concentrations and source apportionment of polycyclic aromatic hydrocarbons in south-eastern Finland. Atmos. Environ. 2011, 45, 3391–3399. [Google Scholar] [CrossRef]





| Site Category | Coordinate | Location (District, Province) | Sampling Duration | Number of Samples |
|---|---|---|---|---|
| Roadside | N 13°45′45.36″ E 100°33′1.44″ | Dindaeng, Bangkok | 2 May 2013–27 May 2014 | 43 |
| Urban-Background | N 13°46′59.16″ E 100°32′25.78″ | Phaya Thai, Bangkok | 2 May 2013–15 May 2014 | 46 |
| Industrial | N 13°48′25.92″ E 100°30′22.68″ | Bang Kruai, Nonthaburi | 2 May 2013–27 May 2014 | 37 |
| Receptor | BW (kg) | IR (m3 d−1) | ET (h d−1) | EF (d y−1) | ED (y) | AT (h) |
|---|---|---|---|---|---|---|
| Resident (child) | ||||||
| 1 to < 2 years | 11.4 a | 5.4 a | 24 | 350 | 2 | 17,520 |
| 2 to < 3 years | 13.8 a | 8.9 a | 24 | 350 | 3 | 26,280 |
| 3 to < 6 years | 18.6 a | 10.1 a | 24 | 350 | 6 | 52,560 |
| 6 to < 11 years | 31.8 a | 12.0 a | 24 | 350 | 11 | 96,360 |
| 11 to < 16 years | 56.8 a | 15.2 a | 24 | 350 | 16 | 140,160 |
| Adult (16 to 70 years) | 70 b | 16.0 a | 24 | 350 | 54 | 473,040 |
| Worker (16 to 70 years) | 70 b | 16.0 a | 8 | 250 | 54 | 473,040 |
| Receptor | LADD | Risk Characterised by CSF a | Risk Characterised by IUR b | ||||||
|---|---|---|---|---|---|---|---|---|---|
| Roadside | Industrial | Urban BG | Roadside | Industrial | Urban BG | Roadside | Industrial | Urban BG | |
| Resident (child) | |||||||||
| 1 to <2 years | 9.4 × 10−9 | 1.1 × 10−8 | 5.0 × 10−9 | 1.0 × 10−8 | 1.2 × 10−8 | 5.6 × 10−9 | 2.2 × 10−7 | 2.5 × 10−7 | 1.2 × 10−7 |
| 2 to <3 years | 1.9 × 10−8 | 2.2 × 10−8 | 1.0 × 10−8 | 2.5 × 10−8 | 2.8 × 10−8 | 1.3 × 10−8 | 2.5 × 10−7 | 2.9 × 10−7 | 1.3 × 10−7 |
| 3 to <6 years | 3.2 × 10−8 | 3.7 × 10−8 | 1.7 × 10−8 | 5.8 × 10−8 | 6.6 × 10−8 | 3.1 × 10−8 | 3.5 × 10−7 | 4.0 × 10−7 | 1.9 × 10−7 |
| 6 to <11 years | 4.1 × 10−8 | 4.7 × 10−8 | 2.2 × 10−8 | 1.1 × 10−7 | 1.2 × 10−7 | 5.8 × 10−8 | 5.1 × 10−7 | 5.9 × 10−7 | 2.7 × 10−7 |
| 11 to <16 years | 4.2 × 10−8 | 4.8 × 10−8 | 2.3 × 10−8 | 1.5 × 10−7 | 1.7 × 10−7 | 7.9 × 10−8 | 6.8 × 10−7 | 7.7 × 10−7 | 3.6 × 10−7 |
| Resident (adult) | 4.5 × 10−8 | 5.2 × 10−8 | 2.4 × 10−8 | 2.9 × 10−7 | 3.3 × 10−7 | 1.6 × 10−7 | 1.3 × 10−6 | 1.4 × 10−6 | 6.8 × 10−7 |
| Worker | 1.3 × 10−8 | 1.5 × 10−8 | 7.2 × 10−9 | 8.7 × 10−8 | 1.0 × 10−7 | 4.7 × 10−8 | 3.0 × 10−7 | 3.4 × 10−7 | 1.6 × 10−7 |
Publisher’s Note: MDPI stays neutral with regard to jurisdictional claims in published maps and institutional affiliations. |
© 2021 by the authors. Licensee MDPI, Basel, Switzerland. This article is an open access article distributed under the terms and conditions of the Creative Commons Attribution (CC BY) license (https://creativecommons.org/licenses/by/4.0/).
Share and Cite
Tadsanaprasittipol, A.; Tonrub, P.; Beverland, I.J.; Kalin, R.M. Characterization of PM10-Bound Polycyclic Aromatic Hydrocarbons and Associated Carcinogenic Risk in Bangkok, Thailand. Appl. Sci. 2021, 11, 4501. https://doi.org/10.3390/app11104501
Tadsanaprasittipol A, Tonrub P, Beverland IJ, Kalin RM. Characterization of PM10-Bound Polycyclic Aromatic Hydrocarbons and Associated Carcinogenic Risk in Bangkok, Thailand. Applied Sciences. 2021; 11(10):4501. https://doi.org/10.3390/app11104501
Chicago/Turabian StyleTadsanaprasittipol, Amornphat, Pinthong Tonrub, Iain J. Beverland, and Robert M. Kalin. 2021. "Characterization of PM10-Bound Polycyclic Aromatic Hydrocarbons and Associated Carcinogenic Risk in Bangkok, Thailand" Applied Sciences 11, no. 10: 4501. https://doi.org/10.3390/app11104501
APA StyleTadsanaprasittipol, A., Tonrub, P., Beverland, I. J., & Kalin, R. M. (2021). Characterization of PM10-Bound Polycyclic Aromatic Hydrocarbons and Associated Carcinogenic Risk in Bangkok, Thailand. Applied Sciences, 11(10), 4501. https://doi.org/10.3390/app11104501

