Joint Channel Estimation and Synchronization Techniques for Time-Interleaved Block-Windowed Burst OFDM
Abstract
1. Introduction
- Block-type pilot allocation, used in the IEEE 802.11a/g/n standard, consists of the allocation of pilots into all subcarriers in the frequency-domain. Typically, they are designed for slow-fading frequency-selective channels when the OFDM symbols’ duration is much smaller than the channel coherence time [19].
- Comb-type pilot allocation, which is used, for instance, in the IEEE 802.11a WLAN standard [20], corresponds to insert pilots at predefined subcarrier locations across the entire transmission time to resist fast channel time variations between OFDM symbols. However, it is crucial to guarantee that the spacing between each pilot subcarriers is much smaller than the channel coherence bandwidth is for effective and accurate estimation.
- evaluate TIBWB–OFDM technique performance under imperfect CSI, showing the robustness of the technique; and
- propose a jointly frame synchronization and channel estimation technique for TIBWB–OFDM transmissions that is able to maintain good TIBWB–OFDM spectral and power-efficiency characteristics, and to acquire reliable CSI information.
2. Background
2.1. TIBWB–OFDM Waveform
- is the inverse discrete Fourier transform (IDFT) matrix with size ;
- is the SRRC is the SRRC of roll-off where
- is a truncation matrix that removes the trailing and ending rows of zeros that result from the windowing operation;
- is an ℓ-length column vector of 1s, is -size matrix of 0s, and is an -size identity matrix;
- is the matrix-vectorization function that reshapes a matrix into a column by reading the matrix column by column;
- denote, respectively, the Hadamard, Kronecker, and conventional matrix multiplications;
- is the time-interleave permutation matrix [7].
2.2. Frame Synchronization and Zadoff–Chu Sequences
Zadoff–Chu Sequences
- constant amplitude that limits the peak-to-average-power ratio (PAPR);
- “perfect” cyclic autocorrelation, i.e., correlation with its circularly shifted version is zero at different samples from , and nonzero only at one instant, which corresponds to the sample. The zero-autocorrelation ZC property can be formulated by (3), resulting inwhere corresponds to the autocorrelation peak positioned in the delayed l sample. This is an important feature for wireless communications, enabling misaligned ZC sequences to correlate between themselves. Hence, it is possible to generate multiple orthogonal sequences just by shifting the ZC sequence;
- If we guarantee that the Zadoff–Chu sequence length is a prime number, then the cross-correlation of these two sequences is .
2.3. Equalization and Channel Estimation
- non-data-aided, where the CSI is obtained without the use of reference training signals, i.e., on the basis of the statistics of received signal sequences; and
- data-aided, which require added information, i.e., reference training signals that are included in the transmitted frame.
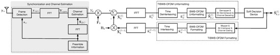
3. Synchronization and Channel Estimation for TIBWB–OFDM
3.1. Frame Synchronization
| Algorithm 1 Frame Detection |
|
3.2. Channel Estimation
- ZC preamble-based channel estimation (Algorithm A);
- data-based channel estimation (Algorithm B); and
- combined ZC and data channel estimation (Algorithm C).
- Algorithm A
- Algorithm B
- Algorithm C
4. Experimental Evaluation
4.1. Threshold Awareness Results
4.2. Channel Estimators with Linear Equalization
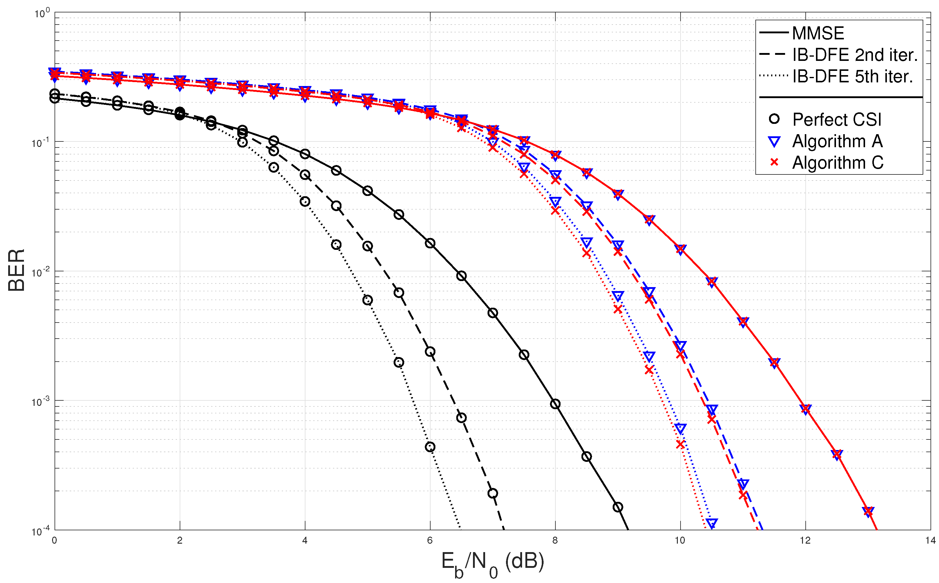
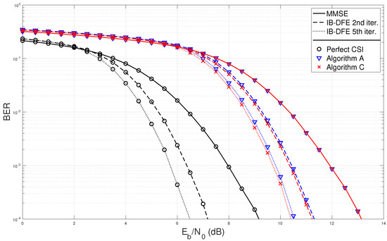
4.3. Channel Estimators with Iterative Frequency-Domain Equalization
5. Conclusions
Author Contributions
Funding
Institutional Review Board Statement
Informed Consent Statement
Data Availability Statement
Conflicts of Interest
Abbreviations
| AWGN | Additive white Gaussian noise |
| BWB-OFDM | Block-windowed burst OFDM |
| BER | Bit error rate |
| CAZAC | Constant-amplitude zero autocorrelation |
| CFR | Channel frequency response |
| CIR | Channel impulse response |
| CSI | Channel-state information |
| CP | Cyclic prefix |
| DFT | Discrete Fourier transform |
| FDE | Frequency-domain equalization |
| FFT | Fast Fourier transform |
| IB-DFE | Iterative block decision feedback equalization |
| IDFT | Inverse discrete Fourier transform |
| I/Q | Inphase and quadrature |
| ISI | Intersymbol interference |
| LTE | Long-term evolution |
| MMSE | Minimum mean square error |
| MIMO | Multiple-input multiple-output |
| OFDM | Orthogonal frequency-division multiplexing |
| PAPR | Peak-to-average Power Ratio |
| PSS | Primary Synchronization Signal |
| QPSK | Quadrature Phase Shift Keying |
| SRRC | Square-root-raised cosine |
| SNR | Signal-to-noise ratio |
| SISO | Single-input single-output |
| SDR | Software-defined radio |
| SSS | Secondary synchronization signal |
| TIBWB-OFDM | Time-interleaved block-windowed burst OFDM |
| ZC | Zadoff–Chu |
| ZP | Zero pad |
| ZF | Zero forcing |
References
- Vaezi, M.; Ding, Z.; Poor, H.V. Multiple Access Techniques for 5G Wireless Networks and Beyond; Springer International Publishing: Cham, Switzerland, 2018. [Google Scholar] [CrossRef]
- Pérez Santacruz, J.; Rommel, S.; Johannsen, U.; Jurado-Navas, A.; Tafur Monroy, I. Candidate Waveforms for ARoF in Beyond 5G. Appl. Sci. 2020, 10, 3891. [Google Scholar] [CrossRef]
- Study on Scenarios and Requirements for Next Generation Access Technologies; Technical Report; 3rd Generation Partnership Project: France, 2017.
- Banelli, P.; Buzzi, S.; Colavolpe, G.; Modenini, A.; Rusek, F.; Ugolini, A. Modulation Formats and Waveforms for 5G Networks: Who Will Be the Heir of OFDM?: An overview of alternative modulation schemes for improved spectral efficiency. IEEE Signal Process. Mag. 2014, 31, 80–93. [Google Scholar] [CrossRef]
- Conceição, F.; Gomes, M.; Silva, V.; Dinis, R.; Silva, A.; Castanheira, D. A Survey of Candidate Waveforms for beyond 5G Systems. Electronics 2020, 10, 21. [Google Scholar] [CrossRef]
- Fernandes, T.; Gomes, M.; Silva, V.; Dinis, R. Time-Interleaved Block-Windowed Burst OFDM. In Proceedings of the 2016 IEEE 84th Vehicular Technology Conference (VTC-Fall), Montreal, QC, Canada, 18–21 September 2016; pp. 1–5. [Google Scholar] [CrossRef]
- Fernandes, T.; Pereira, A.; Gomes, M.; Silva, V.; Dinis, R. A new hybrid multicarrier transmission technique with iterative frequency domain detection. Phys. Commun. 2018, 27, 7–16. [Google Scholar] [CrossRef]
- Conceição, F.; Gomes, M.; Silva, V.; Dinis, R. Highly efficient TIBWB-OFDM waveform for broadband wireless communications. In Proceedings of the 2020 IEEE 91st Vehicular Technology Conference (VTC-Spring), Antwerp, Belgium, 25–28 May 2020; pp. 1–5. [Google Scholar] [CrossRef]
- Nunes, J.; Bento, P.; Gomes, M.; Dinis, R.; Silva, V. Block-windowed burst OFDM: A high-efficiency multicarrier technique. Electron. Lett. 2014, 50, 1757–1759. [Google Scholar] [CrossRef]
- Pereira, A.; Bento, P.; Gomes, M.; Dinis, R.; Silva, V. TIBWB-OFDM: A Promising Modulation Technique for MIMO 5G Transmissions. In Proceedings of the 2018 IEEE 88th Vehicular Technology Conference (VTC-Fall), Chicago, IL, USA, 27–30 August 2018; pp. 1–5. [Google Scholar] [CrossRef]
- Ozdemir, M.K.; Arslan, H. Channel estimation for wireless OFDM systems. IEEE Commun. Surv. Tutor. 2007, 9, 18–48. [Google Scholar] [CrossRef]
- Collins, T.; Getz, R.; Pu, D.; Wyglinski, A. Software-Defined Radio for Engineers; Artech House Mobile Communications Series; Artech House: Norwood, MA, USA, 2018. [Google Scholar]
- Schmidl, T.M.; Cox, D.C. Robust frequency and timing synchronization for OFDM. IEEE Trans. Commun. 1997, 45, 1613–1621. [Google Scholar] [CrossRef]
- Chu, D. Polyphase codes with good periodic correlation properties (Corresp.). IEEE Trans. Inf. Theory 1972, 18, 531–532. [Google Scholar] [CrossRef]
- Dahlman, E.; Parkvall, S.; Sköld, J. 4G, LTE-Advanced Pro and The Road to 5G, 3rd ed.; Academic Press: Cambridge, MA, USA, 2016; pp. 1–590. [Google Scholar]
- García, M.; Zazo, S.; Paez Borrallo, J. Pilot patterns for channel estimation in OFDM. Electron. Lett. 2000, 36, 1049–1050. [Google Scholar] [CrossRef]
- Ijiga, O.E.; Ogundile, O.O.; Familua, A.D.; Versfeld, D.J.J. Review of Channel Estimation for Candidate Waveforms of Next Generation Networks. Electronics 2019, 8, 956. [Google Scholar] [CrossRef]
- Zhao, Z.; Cheng, X.; Wen, M.; Jiao, B.; Wang, C.X. Channel Estimation Schemes for IEEE 802.11p Standard. IEEE Intell. Transp. Syst. Mag. 2013, 5, 38–49. [Google Scholar] [CrossRef]
- Chiueh, T.D.; Tsai, P.Y.; Lai, I.W. Baseband Receiver Design for Wireless MIMO-OFDM; Wiley-IEEE Press: Singapore, 2012; p. 360. [Google Scholar]
- Pun, M.O.; Morelli, M.; Kuo, C.C.J. Multi-Carrier Techniques For Broadband Wireless Communications: A Signal Processing Perspective; Imperial College Press: London, UK, 2007; p. 272. [Google Scholar]
- Benvenuto, N.; Tomasin, S. Block iterative DFE for single carrier modulation. Electron. Lett. 2002, 38, 1144–1145. [Google Scholar] [CrossRef]
- Benvenuto, N.; Dinis, R.; Falconer, D.; Tomasin, S. Single Carrier Modulation with Nonlinear Frequency Domain Equalization: An Idea Whose Time Has Come Again. Proc. IEEE 2010, 98, 69–96. [Google Scholar] [CrossRef]
- Haykin, S. Communication Systems, 5th ed.; Wiley Publishing: Indianapolis, IN, USA, 2014. [Google Scholar]
- Khan, F. LTE for 4G Mobile Broadband: Air Interface Technologies and Performance; Cambridge University Press: Cambridge, UK, 2009. [Google Scholar] [CrossRef]
- Sesia, S.; Toufik, I.; Baker, M. LTE—The UMTS Long Term Evolution: From Theory to Practice, 2nd ed.; John Wiley and Sons, Ltd.: Chichester, UK, 2011. [Google Scholar] [CrossRef]
- Hua, M.; Wang, M.; Yang, K.W.; Zou, K.J. Analysis of the Frequency Offset Effect on Zadoff–Chu Sequence Timing Performance. IEEE Trans. Commun. 2014, 62, 4024–4039. [Google Scholar] [CrossRef]
- Tarokh, V. New Directions in Wireless Communications Research; Springer International Publishing: Boston, MA, USA, 2009. [Google Scholar] [CrossRef]
- Souto, N.; Dinis, R.; Correia, A.; Reis, C. Interference-Aware Iterative Block Decision Feedback Equalizer for Single-Carrier Transmission. IEEE Trans. Veh. Technol. 2015, 64, 3316–3321. [Google Scholar] [CrossRef][Green Version]
- Ohno, S.; Manasseh, E.; Nakamoto, M. Preamble and pilot symbol design for channel estimation in OFDM systems with null subcarriers. Eurasip J. Wirel. Commun. Netw. 2011, 2011, 2. [Google Scholar] [CrossRef]
- Khaled Fazel, S.K. Multi-Carrier and Spread Spectrum Systems: From OFDM and MC-CDMA to LTE and WiMAX; Wiley: Chichester, UK, 2008; pp. 1–360. [Google Scholar] [CrossRef]








| Parameter | TIBWB–OFDM | Preamble |
|---|---|---|
| Shaping pulse | SRRC | - |
| Roll-off factor | = 0.5 | - |
| Modulation | QPSK | - |
| OFDM symbols | - | |
| Root element | - | n = 34 |
| Sub-block length | ||
| Block size | ||
| LDPC | (128 , 64) | - |
| Bit interleaving | 10 consecutive words | - |
Publisher’s Note: MDPI stays neutral with regard to jurisdictional claims in published maps and institutional affiliations. |
© 2021 by the authors. Licensee MDPI, Basel, Switzerland. This article is an open access article distributed under the terms and conditions of the Creative Commons Attribution (CC BY) license (https://creativecommons.org/licenses/by/4.0/).
Share and Cite
Martins, J.; Conceição, F.; Gomes, M.; Silva, V.; Dinis, R. Joint Channel Estimation and Synchronization Techniques for Time-Interleaved Block-Windowed Burst OFDM. Appl. Sci. 2021, 11, 4403. https://doi.org/10.3390/app11104403
Martins J, Conceição F, Gomes M, Silva V, Dinis R. Joint Channel Estimation and Synchronization Techniques for Time-Interleaved Block-Windowed Burst OFDM. Applied Sciences. 2021; 11(10):4403. https://doi.org/10.3390/app11104403
Chicago/Turabian StyleMartins, João, Filipe Conceição, Marco Gomes, Vitor Silva, and Rui Dinis. 2021. "Joint Channel Estimation and Synchronization Techniques for Time-Interleaved Block-Windowed Burst OFDM" Applied Sciences 11, no. 10: 4403. https://doi.org/10.3390/app11104403
APA StyleMartins, J., Conceição, F., Gomes, M., Silva, V., & Dinis, R. (2021). Joint Channel Estimation and Synchronization Techniques for Time-Interleaved Block-Windowed Burst OFDM. Applied Sciences, 11(10), 4403. https://doi.org/10.3390/app11104403

