Active Earth Pressure of Limited C-φ Soil Based on Improved Soil Arching Effect
Abstract
Featured Application
Abstract
1. Introduction
2. Theoretical Methods
2.1. Basic Assumptions
- The calculation model is suitable for plane strain conditions.
- Saturated unit weight of soil is used to consider the influence of underground water.
- Both retaining wall surface next to the soil and the existing wall surface are vertical and the ground surface is horizontal.
- The retaining wall movement is translational and the soil behind it is in the active limit state.
- The isotropic, homogeneous soil obeys the Mohr-Coulomb failure criterion.
- The rigidness of the existing underground structure is sufficiently large.
- The interaction between the retaining wall and soil is the same as that between the existing side wall and soil.
- The burial depth of the existing underground structure is deeper than that of the influence range of retaining wall, i.e., the influence of the basal pressure of existing underground structure can be neglected.
2.2. Slip Surface
2.3. Soil Arching Analysis
2.4. Lateral Active Earth Pressure Coefficient
2.5. Active Earth Pressure Distribution
2.5.1. Case1: 0 ≤ z ≤ (h-Btanβ)
2.5.2. Case2: (h-Btanβ) < z ≤ h
2.6. Tension Crack Depth in the Top Wall
2.7. Boundary Values of the Limited Width
2.8. Resultant Force and Its Action Point
3. Comparison and Verification
3.1. Numerical Analysis
3.2. Centrifuge Model Tests
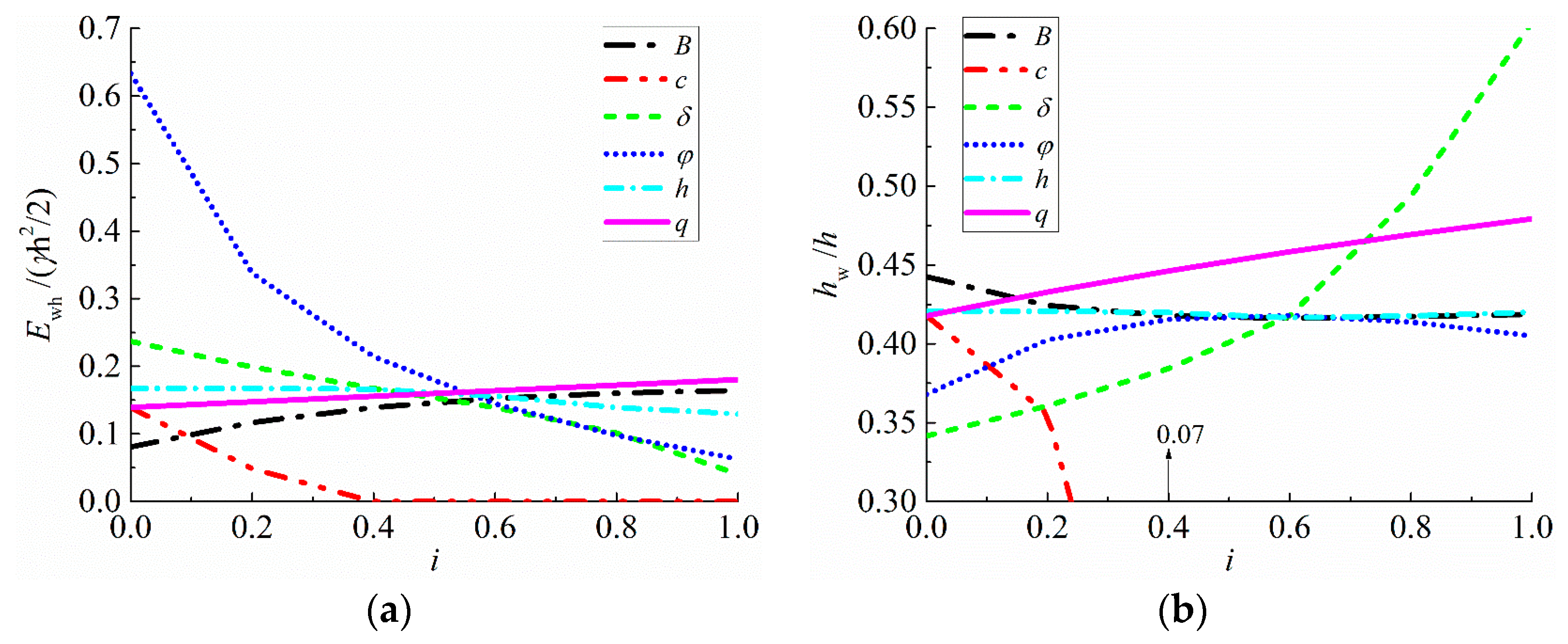
4. Parametric Study
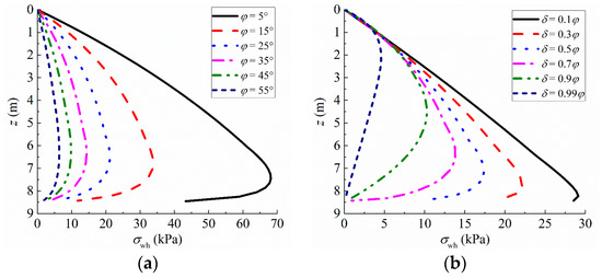
4.1. Soil Internal Griction Angle and Soil-Wall Friction Angle
4.2. Soil Cohesion and Ground Surface Overload
4.3. Soil’s Limited Width and Wall Height
4.4. Comparison after Normalization
5. Conclusions
- The effect of soil-wall cohesion can be expressed by the soil-wall friction angle. A double-fold line slip surface that considers the soil internal friction angle and the soil-wall friction angle was determined to be suitable for calculating the active earth pressure of a limited c-φ soil, and a symmetrical catenary arching curve was proposed to simulate the minor principal stress trajectory of a horizontal soil strip.
- An active earth pressure calculation model for a limited c-φ soil that considers ground surface overload was proposed based on the limit equilibrium method of a horizontal soil strip and the improved soil arching effect theory. The model proposed in this study can be simplified into the classic active earth pressure theory, and it reflects the situation for a limited c-φ soil better than other theoretical methods. The laterally active earth pressure coefficient of a limited c-φ soil is a function of burial depth, but it is independent of the limited soil width. The proposed active earth pressure distribution is large in middle and small at both ends, which is consistent with the results of the numerical simulation and the centrifuge model tests.
- An explicit boundary width for a limited c-φ soil during the active earth pressure calculation was determined. When the distance between the existing large rigid underground structure and the retaining wall of the foundation pit is within the boundary of the limited c-φ soil width, the active earth pressure model proposed in this study is needed for the calculation. However, the method proposed in this study is not suitable for situations where B < (2ccotφ)/(γcotδ) and ccotφ ≥ qKaw’.
- The changes in the active earth pressure due to the limited c-φ soil parameters were obtained. The factors that have the greatest influence on the resultant force and its action point are the soil internal friction angle and the soil cohesion separately. Thus, the influence of soil cohesion cannot be ignored. The smaller of the limited soil width, the more sensitive the active earth pressure to it. Increasing the wall friction and reducing the limited soil width can reduce the active earth pressure acting on the retaining wall. Reinforced measures should be taken on the upper part of the retaining wall when the ground surface is overloaded.
Author Contributions
Funding
Conflicts of Interest
References
- Rankine, W.J.M. On the stability of loose earth. Philos. Trans. R. Soc. Lond. 1857, 147, 9–27. [Google Scholar]
- Aubertin, M.; Li, L.S.T.B.M.; Arnoldi, S.; Belem, T.; Bussière, B.; Benzaazoua, M.; Simon, R. Interaction between backfill and rock mass in narrow stopes. Soil Rock Mech. Am. 2003, 1, 1157–1164. [Google Scholar]
- Li, L.; Aubertin, M.; Belem, T. Formulation of a three dimensional Analytical solution to evaluate stresses in backfilled vertical narrow openings. Can. Geotech. J. 2005, 42, 1705–1717. [Google Scholar] [CrossRef]
- Nishimura, S.; Takahashi, H.; Morikawa, Y. Observations of dynamic and non-dynamic interactions between a quay wall and partially stabilized backfill. Soils Found. 2012, 52, 81–98. [Google Scholar] [CrossRef]
- Janssen, H.A. Experiments about pressures of grain in silos. Z. VDI 1895, 39, 1045–1049. [Google Scholar]
- Frydman, S.; Keissar, I. Earth pressure on retaining walls near rock faces. J. Geotech. Eng. ASCE 1987, 113, 586–599. [Google Scholar] [CrossRef]
- Take, W.A.; Valsangkar, A.J. Earth pressures on unyielding retaining walls of narrow backfill width. Can. Geotech. J. 2001, 38, 1220–1230. [Google Scholar] [CrossRef]
- Troy, S.; Hagerty, D.J. Earth pressures in confined cohesionless backfill against tall rigid walls—A case history. Can. Geotech. J. 2011, 48, 1188–1197. [Google Scholar]
- Khosravi, M.H.; Pipatpongsa, T.; Takemura, J. Experimental analysis of earth pressure against rigid retaining walls under translation mode. Geotechnique 2013, 63, 1020–1028. [Google Scholar] [CrossRef]
- Yang, M.H.; Tang, X.C. Rigid retaining walls with narrow cohesionless backfills under various wall movement modes. Int. J. Geomech. 2017, 17, 04017098. [Google Scholar] [CrossRef]
- Leshchinsky, D.; Hu, Y.; Han, J. Limited reinforced space in segmental retaining walls. Geotext. Geomembr. 2004, 22, 543–553. [Google Scholar] [CrossRef]
- Hsieh, P.G.; Ou, C.Y.; Lin, Y.L. Three-dimensional numerical analysis of deep excavations with cross walls. Acta Geotech. 2013, 8, 33–48. [Google Scholar] [CrossRef]
- Fan, C.C.; Fang, Y.S. Numerical solution of active earth pressures on rigid retaining walls built near rock faces. Comput. Geotech. 2010, 37, 1023–1029. [Google Scholar] [CrossRef]
- Qiu, G.; Grabe, J. Active earth pressure shielding in quay wall constructions: Numerical modeling. Acta Geotech. 2012, 7, 343–355. [Google Scholar] [CrossRef]
- Greco, V. Active thrust on retaining walls of narrow backfill width. Comput. Geotech. 2013, 50, 66–78. [Google Scholar] [CrossRef]
- Greco, V. Analytical solution of seismic pseudo-static active thrust acting on fascia retaining walls. Soil Dyn. Earthq. Eng. 2014, 57, 25–36. [Google Scholar] [CrossRef]
- Handy, R. The arch in soil arching. J. Geotech. Eng. ASCE 1985, 111, 302–318. [Google Scholar] [CrossRef]
- Li, M.G.; Chen, J.J.; Wang, J.H. Arching effect on lateral pressure of confined granular material: Numerical and theoretical analysis. Granul. Matter 2017, 19, 20. [Google Scholar] [CrossRef]
- Chen, J.J.; Li, M.G.; Wang, J.H. Active Earth Pressure against Rigid Retaining Walls Subjected to Confined Cohesionless Soil. Int. J. Geomech. 2017, 17, 06016041. [Google Scholar] [CrossRef]
- Mittal, S.; Garg, K.G.; Saran, S. Analysis and design of retaining wall having reinforced cohesive frictional backfill. Geotech. Geol. Eng. 2006, 24, 499–522. [Google Scholar] [CrossRef]
- Chen, H.T.; Hung, W.Y.; Chang, C.C.; Chen, Y.J.; Lee, C.J. Centrifuge modeling test of a geotextile-reinforced wall with a very wet clayey backfill. Geotext. Geomembr. 2007, 25, 346–359. [Google Scholar] [CrossRef]
- Ahmadabadi, M.; Ghanbari, A. New procedure for active earth pressure calculation in retaining walls with reinforced cohesive frictional backfill. Geotext. Geomembr. 2009, 27, 456–463. [Google Scholar] [CrossRef]
- Shukla, S.J.; Gupta, S.K.; Sivakugan, N. Active earth pressure on retaining wall for c–φ soil backfill under seismic loading conditions. J. Geotech. Geoenviron. Eng. 2009, 135, 690–696. [Google Scholar] [CrossRef]
- Pantelidis, L. The generalized coefficients of earth pressure: A unified approach. Appl. Sci. 2019, 9, 5291. [Google Scholar] [CrossRef]
- Lin, Y.L.; Yang, X.; Yang, G.L.; Li, Y.; Zhao, L.H. A closed-form solution for seismic passive earth pressure behind a retaining wall supporting cohesive–frictional backfill. Acta Geotech. 2016, 12, 1–9. [Google Scholar] [CrossRef]
- Rao, P.; Chen, Q.; Zhou, Y.; Nimbalkar, S.; Chiaro, G. Determination of active earth pressure on rigid retaining wall considering arching effect in cohesive backfill soil. Int. J. Geomech. 2016, 16, 04015082. [Google Scholar] [CrossRef]
- Kim, J.; Barker, M. Effect of live load surcharge on retaining walls and abutments. J. Geotech. Geoenviron. Eng. 2002, 128, 808–813. [Google Scholar] [CrossRef]
- Ghanbari, A.; Taheri, M. An analytical method for calculating active earth pressure in reinforced retaining walls subject to a line surcharge. Geotext. Geomembr. 2012, 34, 1–10. [Google Scholar] [CrossRef]
- Khosravi, M.H.; Pipatpongsa, T.; Takemura, J. Theoretical analysis of earth pressure against rigid retaining walls under translation mode. Soils Found. 2016, 56, 664–675. [Google Scholar] [CrossRef]
- Porbaha, A.; Zhao, A.; Kobayashi, M.; Kishida, T. Upper bound estimate of scaled reinforced soil retaining walls. Geotext. Geomembr. 2000, 18, 403–413. [Google Scholar] [CrossRef]
- Shahgholi, M.; Fakher, A.; Jones, C.J.F.P. Horizontal slice method of analysis. Geotechnique 2001, 51, 881–885. [Google Scholar] [CrossRef]
- Baker, R.; Klein, Y. An integrated limiting equilibrium approach for design of reinforced soil retaining structures; part I: Formulation. Geotext. Geomembr. 2004, 22, 119–150. [Google Scholar] [CrossRef]
- Nouri, H.; Fakher, A.; Jones, C.J.F.P. Evaluating the effects of the magnitude and amplification of pseudo-static acceleration on reinforced soil slopes and walls using the limit equilibrium horizontal slices method. Geotext. Geomembr. 2008, 26, 263–278. [Google Scholar] [CrossRef]
- Vieira, C.S.; Lopes, M.L.; Caldeira, L.M. Earth pressure coefficients for design of geosynthetic reinforced soil structures. Geotext. Geomembr. 2011, 29, 491–501. [Google Scholar] [CrossRef]
- Zhao, X.; Fourie, A.; Qi, C.C. An analytical solution for evaluating the safety of an exposed face in a paste backfill stope incorporating the arching phenomenon. Int. J. Miner. Metall. Mater. 2019, 26, 1206–1216. [Google Scholar] [CrossRef]
- Wang, Y.Z. Distribution of earth pressure on a retaining wall. Geotechnique 2000, 50, 83–88. [Google Scholar] [CrossRef]
- Wang, Y.Z.; Tang, Z.P.; ZHENG, B. Distribution of active earth pressure of retaining wall with wall movement of rotation about top. Appl. Math. Mech. 2004, 25, 761–767. [Google Scholar]
- Tsagareli, Z.V. Experimental investigation of the pressure of a loose medium on retaining wall with vertical back face and horizontal backfill surface. Soil Mech. Found. Eng. 1965, 91, 197–200. [Google Scholar] [CrossRef]
- Paik, K.H.; Salgado, R. Estimation of active earth pressure against rigid retaining walls considering arching effects. Geotechnique 2003, 53, 643–653. [Google Scholar] [CrossRef]
- Li, J.P.; Wang, M. Simplified method for calculating active earth pressure on rigid retaining walls considering the arching effect under translational mode. Int. J. Geomech. 2014, 14, 282–290. [Google Scholar] [CrossRef]
- Terzaghi, K. Theoretical Soil Mechanics; Wiley: New York, NY, USA, 1943. [Google Scholar]
- Maiorano, R.M.S.; Russo, G.; Viggiani, C. A landslide in stiff, intact clay. Acta Geotech. 2013, 9, 817–829. [Google Scholar] [CrossRef]
- Malkawi, A.H.; Hassan, W.F.; Sarma, S.K. An efficient search method for finding the critical circular slip surface using the Monte Carlo technique. Can. Geotech. J. 2001, 38, 1081–1089. [Google Scholar] [CrossRef]
- Yang, K.H.; Zornberg, J.G.; Hung, W.Y.; Lawson, C.R. Location of failure plane and design considerations for narrow geosynthetic reinforced soil wall systems. Eng. Geol. 2011, 6, 27–40. [Google Scholar]
- Ellis, H.B. Use of cycloidal arcs for estimating ditch safety. J. Soil Mech. Found. Div. 1973, 99, 165–197. [Google Scholar]
- Li, X.G. Bearing capacity factors for eccentrically loaded strip footings using variational analysis. Math. Probl. Eng. 2013, 18, 470–474. [Google Scholar] [CrossRef]
- Goel, S.; Patra, N. Effect of arching on active earth pressure for rigid retaining walls considering translation mode. Int. J. Geomech. 2008, 8, 123–133. [Google Scholar] [CrossRef]
- White, D.J.; Take, W.A.; Bolton, M.D. Soil deformation measurements using particle image velocimetry (PIV) and photogrammetry. Geotechnique 2003, 53, 619–631. [Google Scholar] [CrossRef]
- Eskisar, T.; Otani, J.; Hironaka, J. Visualization of soil arching on reinforced embankment with rigid pile foundation using X-ray CT. Geotext. Geomembr. 2012, 32, 44–54. [Google Scholar] [CrossRef]
- Hejazi, Y.; Dias, D.; Kastner, R. Impact of constitutive models on the numerical analysis of underground constructions. Acta Geotech. 2008, 3, 251–258. [Google Scholar] [CrossRef]
- Li, X.G.; Liu, W.N. Study on the action of the active earth pressure by variational limit equilibrium method. Int. J. Numer. Anal. Methods Geomech. 2010, 34, 991–1008. [Google Scholar]
- Tang, L.; Cong, S.; Xing, W.; Ling, X.; Geng, L.; Nie, Z.; Gan, F. Finite element analysis of lateral earth pressure on sheet pile walls. Eng. Geol. 2018, 244, 146–158. [Google Scholar] [CrossRef]
- Liu, G.S.; Li, L.; Yang, X.C.; Guo, L. A numerical analysis of the stress distribution in backfilled stopes considering nonplanar interfaces between the backfill and rock walls. Int. J. Geotech. Eng. 2016, 10, 271–282. [Google Scholar] [CrossRef]
- Kim, K.Y.; Lee, D.S.; Cho, J.; Jeong, S.S.; Lee, S. The effect of arching pressure on a vertical circular shaft. Tunn. Undergr. Space Technol. 2013, 37, 10–21. [Google Scholar] [CrossRef]















© 2020 by the authors. Licensee MDPI, Basel, Switzerland. This article is an open access article distributed under the terms and conditions of the Creative Commons Attribution (CC BY) license (http://creativecommons.org/licenses/by/4.0/).
Share and Cite
Liu, M.; Chen, X.; Hu, Z.; Liu, S. Active Earth Pressure of Limited C-φ Soil Based on Improved Soil Arching Effect. Appl. Sci. 2020, 10, 3243. https://doi.org/10.3390/app10093243
Liu M, Chen X, Hu Z, Liu S. Active Earth Pressure of Limited C-φ Soil Based on Improved Soil Arching Effect. Applied Sciences. 2020; 10(9):3243. https://doi.org/10.3390/app10093243
Chicago/Turabian StyleLiu, Meilin, Xiangsheng Chen, Zhenzhong Hu, and Shuya Liu. 2020. "Active Earth Pressure of Limited C-φ Soil Based on Improved Soil Arching Effect" Applied Sciences 10, no. 9: 3243. https://doi.org/10.3390/app10093243
APA StyleLiu, M., Chen, X., Hu, Z., & Liu, S. (2020). Active Earth Pressure of Limited C-φ Soil Based on Improved Soil Arching Effect. Applied Sciences, 10(9), 3243. https://doi.org/10.3390/app10093243

