Next Article in Journal
Improvement of Anaerobic Digestion of Hydrolysed Corncob Waste by Organosolv Pretreatment for Biogas Production
Previous Article in Journal
Health Monitoring of Civil Infrastructures by Subspace System Identification Method: An Overview
 
 
Font Type:
Arial Georgia Verdana
Font Size:
Aa Aa Aa
Line Spacing:
Column Width:
Background:
Article

Synthesis of Hydrogels Made of Poly-γ-Glutamic Acid (γ-PGA) for Potential Applications as Probiotic-Delivery Vehicles

1
Department of Physical Chemistry and Technology of Polymers, Silesian University of Technology, M. Strzody 9, 44-100 Gliwice, Poland
2
Wolverhampton School of Sciences, Faculty of Science and Engineering, University of Wolverhampton, Wolverhampton WV1 1LY, UK
3
School of Pharmacy, Faculty of Science and Engineering, University of Wolverhampton, Wolverhampton WV1 1LY, UK
*
Author to whom correspondence should be addressed.
Appl. Sci. 2020, 10(8), 2787; https://doi.org/10.3390/app10082787
Submission received: 19 March 2020 / Revised: 9 April 2020 / Accepted: 14 April 2020 / Published: 17 April 2020
(This article belongs to the Section Chemical and Molecular Sciences)

Abstract

Numerous hydrogels made of poly-γ-glutamic acid (γ-PGA) and various cross-linkers have been explored, but only limited data on hydrogels made of γ-PGA and poly(ethylene glycol) (PEG) are available. In this study, γ-PGA, a biodegradable and edible biopolyamide, was successfully cross-linked with selected PEGs to obtain a series of hydrogels. The swelling behaviour of these hydrogels was investigated under various pH conditions. It was also found that the structure of the cross-linker (linear or branched) affected the hydrogels’ swelling behaviour. In addition, in disc diffusion assay, hydrogel discs loaded with antibiotic were tested against Staphylococcus aureus and Escherichia coli. Prolonged activity of hydrogels loaded with antibiotics in comparison to paper discs containing antibiotics was observed. Moreover, the protective effect of hydrogels on entrapped probiotic cells subjected to low pH was investigated. The hydrogel swelling ratio and amount influenced the survival rate of the protected bacteria. Considering potential biomedical applications of hydrogels, cytotoxicity was evaluated towards two cell lines, MSTO and PANC 1.

Graphical Abstract

1. Introduction

Hydrogels are three-dimensional polymer networks that are capable of retaining large amounts of water or biological fluids, and simulating biological tissue [1,2]. Hydrogels have been obtained from various polymers of natural origin, for example, polysaccharides, as well as from numerous synthetic polymers, such as poly(ethylene glycol) [3]. On the basis of the cross-linking mechanism, hydrogels can be classified into two categories, physical and chemical [1]. Physical cross-links have been formed by ionic interaction, hydrogen bonding, or crystallite formation. In chemically cross-linked hydrogels, covalent bonds have been present between polymer chains, e.g., as a result of reactions of functional groups occurring along polymeric chains with bi- or multifunctional cross-linkers [4].
Hydrogels, due to their similarity to natural tissue, are suitable for various biomedical applications, such as drug-delivery systems, scaffolds for tissue engineering, wound dressings, or contact lenses [5,6]. In addition, an important area of hydrogel application is personal-hygiene products such as nappies, sanitary pads, or adult-incontinence products [7]. Moreover, due to their unique properties, hydrogels could also find applications in many other fields, e.g., the food industry [8] or agriculture [9].
Poly-γ-glutamic acid (γ-PGA), a biopolymer produced by bacteria, is made of D- and L-glutamic acid units connected by amide linkages [10]. γ-PGA is produced on an industrial scale (mostly from biomass by microbial fermentation), so it is relatively easily available. This naturally occurring polyamide is water-soluble, biodegradable, nontoxic to humans and the environment, and safe for human consumption [11]. Due to its edibility, γ-PGA has been tested for various food-related applications, e.g., as a texture modifier for baked foods, bitterness-relieving agent, or cryoprotectant for probiotic bacteria [12,13]. γ-PGA has also been used for medical applications, e.g., in tissue engineering [14] or delivery systems [15]. In addition, γ-PGA could be used to prepare hydrogels with properties suitable for pharmaceutical applications [16]. γ-PGA-based hydrogels are not limited to only medical applications; they could also be used to purify turbid water [17] or as electrolytes in organic electrochemical supercapacitors [18].
Poly(ethylene glycol) (PEG) is a water-soluble and nontoxic polymer, approved by the United States Food and Drug Administration (FDA). PEG has been extensively used in a variety of medical applications, such as drug-delivery systems or tissue engineering [19]. Moreover, PEG has been used to obtain hydrogels suitable for biomedical applications, e.g., in delivery systems [20], tissue engineering [21], or wound dressings [22].
Despite intensive research interest in poly-γ-glutamic acid, there are limited literature data on hydrogels made of poly-γ-glutamic acid and poly(ethylene glycol). One of the few examples is hydrogels obtained via photopolymerisation from methacrylated poly(γ-glutamic acid) and poly(ethylene glycol) diacrylate; on the basis of a cytotoxicity assay of these pH-sensitive hydrogels, they were found suitable for biomedical applications (as a matrix for pH-dependent drug release or scaffolding material in tissue engineering) [23]. Another example of γ-PGA–PEG hydrogels was prepared in a reaction between γ-PGA-containing maleimide groups and PEG-containing terminal thiol groups. This γ-PGA–PEG hydrogel has the potential to be used as a drug-delivery system [24]. The synthesis of known γ-PGA–PEG hydrogels was preceded by a modification of γ-PGA biopolymers in which additional functional groups were introduced. The protocol reported in the current study allows to prepare γ-PGA–PEG hydrogels in a one-step method under mild conditions. The hydrogels reported here were synthesised via an esterification reaction between carboxyl groups naturally occurring in γ-PGA, and hydroxyl groups of selected PEG cross-linkers.
The advantage of already known γ-PGA-based hydrogels has been proven in various fields, including medical areas. Taking this into consideration, it seemed reasonable to conduct research on developing γ-PGA-based hydrogels. In this study, a one-step method of obtaining γ-PGA-based hydrogels in a reaction between a γ-PGA biopolymer and selected PEGs as cross-linkers was developed. PEGs were chosen as cross-linkers due to their widespread use in the pharmaceutical and food industries; hence, the human organism has frequent contact with these materials. Well-defined PEGs with desired molecular weights are easily available and relatively cheap. The influence of molecular weight and structure (linear or branched) of the cross-linker on swelling behaviour has been investigated. Moreover, possibilities of using these hydrogels as drug- and probiotic-delivery vehicles were examined. Studies on the cytocompatibility and antimicrobial activity of hydrogels loaded with antibiotics on Gram-positive and -negative bacteria were undertaken. We investigated the protective effect of γ-PGA-based hydrogels on entrapped probiotic cells subjected to low pH. The possibilities of using γ-PGA–PEG hydrogels as probiotic-delivery vehicles had not been investigated until now. Conducting research on γ-PGA–PEG hydrogels in the direction of oral-delivery vehicles seemed reasonable, as both polymers have already been used as food additives.

2. Materials and Methods

2.1. Materials

Poly-γ-glutamic acid (Mw = 200,000–500,000 g/mol) was purchased from Wako Chemicals Europe GmbH (Neuss, Germany). Poly(ethylene glycol) PEG1000 (Mw = 1000 g/mol) and glycerol ethoxylate PEG1000-3-arm (Mn = 1000 g/mol) were purchased from Sigma-Aldrich Chemie GmbH (Steinheim, Germany). Poly(ethylene glycol) PEG400 (Mw = 400 g/mol), poly(ethylene glycol) PEG200 (Mw = 200 g/mol), 1-(3-dimethylaminopropyl)-3-ethylcarbodiimide hydrochloride (EDC), 4-dimethylaminopyridine (DMAP), and phthalate buffer solution (pH = 3.0) were purchased from Acros Organics (Geel, Belgium). DMSO, acetone, phosphate buffered saline (PBS, pH = 7.4) were purchased from Avantor Performance Materials Poland S.A. (Gliwice, Poland). Dialysis membrane Spectra/Por (MWCO 6000–8000) was purchased from Carl Roth (Karlsruhe, Germany). Chloramphenicol powder was purchased from Fisher Scientific UK (Loughborough, UK). Chloramphenicol discs were purchased from Thermo Scientific (Hampshire, UK). Tryptic soy agar (TSA) was purchased from Lab M Ltd. (Heywood, UK). Dulbecco’s Modified Eagle Medium (DMEM) was purchased from Gibco (UK); foetal bovine serum (FBS), L-glutamine, and antibiotic antimycotic (10,000 units/mL penicillin, 10,000 µg/mL streptomycin, and 25 µg/mL amphotericin B) were purchased from Gibco (UK). Thiazolyl blue tetrazolium bromide (MTT) was purchased from Sigma-Aldrich (UK). NaCl (5.8 g/L) and glycine (7.6 g/L), used for preparing Sorensen’s glycine buffer, were purchased from Sigma-Aldrich (UK). MSTO-211H (human mesothelioma, CRL-2081) and PANC 1 (human pancreatic ductal adenocarcinoma, CRL-1469) were purchased from ATCC (UK). Staphylococcus aureus NCIMB 6571 and Escherichia coli NCIMB 9481 were obtained from the University of Wolverhampton culture collection. A mixture of Lactobacillus strains (L. acidophilus, L. casei, and L. rhamnosus) was obtained from Holland and Barrett, Ltd. (Nuneaton, UK).

2.2. Hydrogel Synthesis

γ-PGA (0.25 g) and DMSO (20 ml) were placed inside a round bottom flask equipped with a magnetic stirring bar. After γ-PGA was dissolved, the remaining reagents were added (mol % toward glutamic acid residue of γ-PGA): PEG (30 mol %), EDC (30 mol %), and DMAP (10 mol %) (quantities in Table 1). The reaction mixture was stirred at room temperature. After 6 h, the mixture was precipitated in acetone and centrifuged for 5 min at 7000 rpm. During centrifugation, hydrogel samples were formed into discs. For purification, hydrogel samples were put into dialysis membranes and kept in distilled water overnight. The resultant swollen hydrogels were lyophilised.

2.3. Nuclear-Magnetic-Resonance (NMR) Characterisation

NMR analyses were performed at room temperature using NMR Varian 300 MHz (Palo Alto, CA, USA). Each spectrum was recorded with 32 scans, 1.71 s acquisition time, and 10 s relaxation delay. Before analyses, samples were hydrolysed in a D2O solution of NaOH. Samples of dry hydrogels (10 mg) were put into tubes containing 2.0 mL of D2O solution of NaOH (pH 10.0). The content of the tubes was mixed at 60 °C for 24 h. Trimethylsilylpropanoic acid (TSP) was used as the internal standard. The content of cross-linker X (mol %) of each hydrogel was calculated on the basis of 1H NMR spectra from Equation (1).
X = [(Ad/4n*Ac)]*100,
where Ad is the peak area of cross-linker protons (signal d in Figure 1), n is the number of repeating units in PEG cross-linker, and Ac is the peak area of the γ-proton of PGA (signal c in Figure 1).

2.4. SEM Analysis

Hydrogel morphology was evaluated using a Phenom ProX scanning electron microscope (SEM) using accelerating voltage of 5 kV. Prior to the scanning process, lyophilised samples were sprayed with a 10 nm gold layer using sputter Quorum Q150R ES.

2.5. Swelling Studies

The dried samples (with mass of 5–9 mg each) of the obtained hydrogels were put into 2.5 mL of deionised water, phthalate buffer, and phosphate-buffered saline, and kept for 24 h at room temperature. After incubation in the solutions, swollen samples were placed on a mesh sheet (Flow-Mesh™) to remove excess of water and weighed. Then samples were lyophilised and weighted. Swelling experiments were carried out in triplicate. Swelling ratio (SR; g/g) was calculated according to the following formula.
SR = (Ws − Wd)/Wd,
where Ws is the weight of the swollen hydrogel (g), and Wd is the weight of the dry hydrogel (g).

2.6. Studies on Antimicrobial Activity of Hydrogel Loaded with Antibiotics

The antimicrobial activity of hydrogels loaded with antibiotics was tested in a disc-diffusion assay. A slightly soaked sheet of pure hydrogel was cut into discs with a diameter of 8 mm. Antibiotics were introduced into the discs, and we applied to the centre of each hydrogel disc 200 μL of suspension of chloramphenicol (30 μg) dropwise in Ringer’s solution with a pipette, and it was left to be absorbed. Paper discs containing chloramphenicol (30 μg in each) and pure hydrogel discs were used as controls. The antimicrobial activity of hydrogel discs containing antibiotics was tested against Staphylococcus aureus and Escherichia coli. Overnight cultures of both pathogens were seeded on the surface of TSA plates. Hydrogel discs containing chloramphenicol, paper disc with chloramphenicol, and pure hydrogel discs were aseptically placed on the TSA plates and incubated at 37 °C for 24 h. Then, the diameter of the zones of inhibition was measured, and the discs of the selected hydrogels were transferred onto freshly seeded TSA plates and further incubated at 37 °C. The diameter of the zones of inhibition was measured again after 24 and 96 h. The tests of antimicrobial activity of each hydrogel were carried out in triplicate.

2.7. Probiotic Survival in Acid Environments

The protective effect of the selected γ-PGA-based hydrogels was investigated using mixture of three probiotic strains, L. acidophilus, L. casei, and L. rhamnosus, under pH = 1.5 and pH = 3.0. The hydrogel samples (25 or 50 mg each) absorbed 0.5 mL of the suspension of Lactobacillus in Ringer’s solution. Hydrogels with probiotic bacteria, as well as 0.5 mL of suspension of free cells in Ringer’s solution, were subjected to an acidic solution and incubated at 37 °C. Triplicate samples were withdrawn after 2 and 4 h. Hydrogel samples in Ringer’s solution were shaken on a vortex mixer to release the bacteria. A serial dilution of bacteria suspension was prepared up to 10−6; then, 20 μL of each cell suspension was aseptically plated out in duplicate on the TSA plates. Plates were incubated at 37 °C, and cell viability was determined by counting the CFU/mL.

2.8. Cytotoxicity Assays

In vitro cytotoxicity was evaluated after direct contact of the samples of hydrolysed hydrogel with MSTO-211H (human mesothelioma, CRL-2081 from ATCC, UK) and PANC 1 (human pancreatic ductal adenocarcinoma, CRL-1469 from ATCC, UK) cell lines at a ratio of 5 mg of hydrolysate/mL of medium. Before the cytotoxicity assays, two more purification cycles of the hydrogel samples were performed. During one cycle, samples were kept in distilled water overnight and lyophilised. In order to obtain the hydrolysate, hydrogel samples were incubated for 72 h at 37 °C in Dulbecco’s Modified Eagle’s Medium (DMEM) medium. Cell lines were cultured in DMEM containing 4.5 g/L glucose, supplemented with foetal bovine serum (FBS), antibiotic antimycotic, and L-glutamine at 37 °C in a humidity incubator with 5% CO2. Briefly, 5000 cells were seeded per well (96-well plate) for 24 h at 37 °C in a 5% CO2 incubator. The cells were then exposed to the hydrolysate of the hydrogel sample in DMEM for 24 h to investigate the effect on cell viability. Cells in DMEM were used as a control. Cell viability was evaluated following the standard MTT assay, as previously reported [6].

2.9. Statistical Analysis

Experiments were performed in at least triplicate, and data are expressed as mean ± standard deviation; p < 0.05 was considered to be statistically significant. Data recorded in MTT assays were analysed statistically by two-way analysis of variance (ANOVA) with Tukey’s multi comparison test using GraphPad Prism.

3. Results

γ-PGA-based hydrogels were obtained via an esterification reaction between carboxyl groups present along the γ-PGA chain and hydroxyl groups of the selected PEG cross-linkers (Scheme 1). The aim of the study was to establish the influence of cross-linker chain length on the swelling properties of the obtained hydrogels. Poly(ethylene glycol)s with various chain lengths are easily available and relatively cheap diols, so three linear PEGs, PEG200, PEG400 and PEG1000, were selected as cross-linkers in this study. Moreover, the influence of the cross-linker structure on swelling behaviour was investigated by comparing the swelling ratio of the obtained hydrogel using a linear PEG1000 cross-linker with the swelling ratio of the hydrogel with a branched PEG1000 cross-linker (3-arm with total Mn = 1000 g/mol).

3.1. Composition of γ-PGA–PEG Hydrogels

To determine hydrogel composition, the samples were hydrolysed, and obtained mixtures were analysed using 1H NMR. Samples of dried hydrogels were subjected to a D2O solution of NaOH. At the beginning of each experiment, samples significantly swelled and dissolved completely after several hours. The observed dissolution of the samples was the expected effect accompanying the progress of the hydrolysis process, in which ester bonds between the cross-linker and γ-PGA break down. The 1H NMR spectrum of the sample obtained as a result of the hydrolysis of γ-PGA–PEG1000 hydrogel is presented in Figure 1A. In this spectrum, signals corresponding to the protons of the γ-PGA chain (signals a-c), as well as signal corresponding to protons of the PEG cross-linker (signal d), are visible. The cross-linker content of each hydrogel was calculated from 1H NMR spectra on the basis of signals corresponding to cross-linker protons (signal d in Figure 1) and the γ-proton of PGA (signal c in Figure 1). It was established that the cross-linker content was quite similar in all hydrogels (between 10 and 13 mol %). Moreover, it was found that the obtained hydrogels were purified by the byproducts (e.g., isourea byproduct of EDC) or the remaining reagents used in the synthesis. The signals corresponding to protons of DMAP (Figure 1B) and EDC (Figure 1C) were not visible in the spectrum of the hydrolysed hydrogel (Figure 1A).

3.2. Morphology of γ-PGA–PEG Hydrogels

Figure 2 shows the SEM images of the selected γ-PGA-based hydrogels obtained from an esterification reaction between γ-PGA and the selected cross-linkers: PEG200, PEG400, PEG1000 and PEG1000-3arm. For each sample, a porous hydrogel structure with evenly distributed pores was detected. The structure with the biggest pores was visible in the sample of the hydrogel obtained using PEG1000 (Figure 2e,f), the cross-linker with the longest chains among those tested. In the hydrogel obtained using a branched cross-linker with a similar molecular weight, PEG1000-3arm, the smallest pores were observed (Figure 2g,h).

3.3. Hydrogel Swelling Behaviour

Studies on the swelling behaviour of the obtained hydrogels were carried out under various conditions: in deionised water, and in aqueous solutions at pH = 3.0 (phthalate buffer) and pH = 7.4 (phosphate-buffered saline). Samples of the swollen hydrogels, as well as the ones dried in a desiccator, were transparent. For each tested hydrogel, the SR was the highest after soaking in deionised water (see Figure 3). The swelling ratio for each hydrogel soaked in phthalate buffer and in phosphate-buffered saline was significantly lower than the SR achieved in deionised water.
As seen in Figure 3, the highest swelling ratio among all tested hydrogels and conditions, reaching almost 350 g/g (345.7 ± 5.4 g/g), was observed for hydrogels with the PEG1000 cross-linker after soaking in deionised water. The SR of the hydrogel with PEG1000 after incubation in deionised water was more than twice as high as the SR of the hydrogel with PEG400, while using 3-arm PEG1000 cross-linker resulted in hydrogel with the lowest SR under those conditions. For the tested hydrogels, swelling ratio increased with the increase of the molecular weight of the linear cross-linkers. However, for hydrogels containing cross-linkers with the same molecular weight, linear PEG1000 and branched PEG1000, the cross-linker structure seemed to be the determining factor on the swelling behaviour of the hydrogels. A similar influence of cross-linker chain length and structure on hydrogel swelling behaviour was observed under each tested condition. Those results could be linked with the porous structure of the hydrogels observed in SEM images. A hydrogel-containing cross-linker with the longest chains, PEG1000, had the highest SR among the tested hydrogels. As can be seen on SEM images, the γ-PGA–PEG1000 hydrogel had a meshlike structure with the biggest pores. Such a structure provided more space for water than a cross-linker with shorter chains does.
To establish changes in swelling behaviour over soaking time, the SR values of the γ-PGA-based hydrogels soaked in deionised water were measured at different time intervals. The experiment was carried out for 240 min. As seen in Figure 4, in the first part of the experiment, the swelling ratio increased with increasing length of soaking time. Then, between 120 and 150 min, the SR achieved almost constant values, which were similar with the SR values after soaking for 24 h (see Figure 3).

3.4. Antimicrobial Activity of γ-PGA–PEG Hydrogels Loaded with Antibiotics

Studies on the antimicrobial activity of hydrogels loaded with chloramphenicol were carried out against S. aureus and E. coli. After 24 h, pure hydrogel discs exhibited no antimicrobial activity toward the tested pathogens, while paper discs with antibiotics gave larger zones of inhibition than hydrogel discs loaded with antibiotics did (see Table 2).
For the PEG1000-3arm hydrogel, the experiment was continued after the first 24 h, and the tested samples (pure hydrogel, hydrogel loaded with antibiotics, and paper disc) were transferred onto freshly seeded TSA plates. The paper discs with antibiotics showed inhibition zones that were only slightly larger than the diameter of those discs (Table 3). During the last measurement, hydrogel discs loaded with antibiotics exhibited zones of inhibition that were almost similar to the ones measured after 24 h. During the test, hydrogel discs absorbed water from the surroundings, and their volume visibly increased. Between 48 and 120 h, the hydrogel discs were dissolved, so the entire remaining amount of antibiotics could be released. In addition, small zones of inhibition with irregular and hard-to-measure shapes were observed for pure hydrogel discs after 120 h, while, after 48 h, these discs exhibited no antimicrobial activity towards the tested pathogens.

3.5. Protective Effect of γ-PGA-Based Hydrogels on Probiotic Cells in Low pH

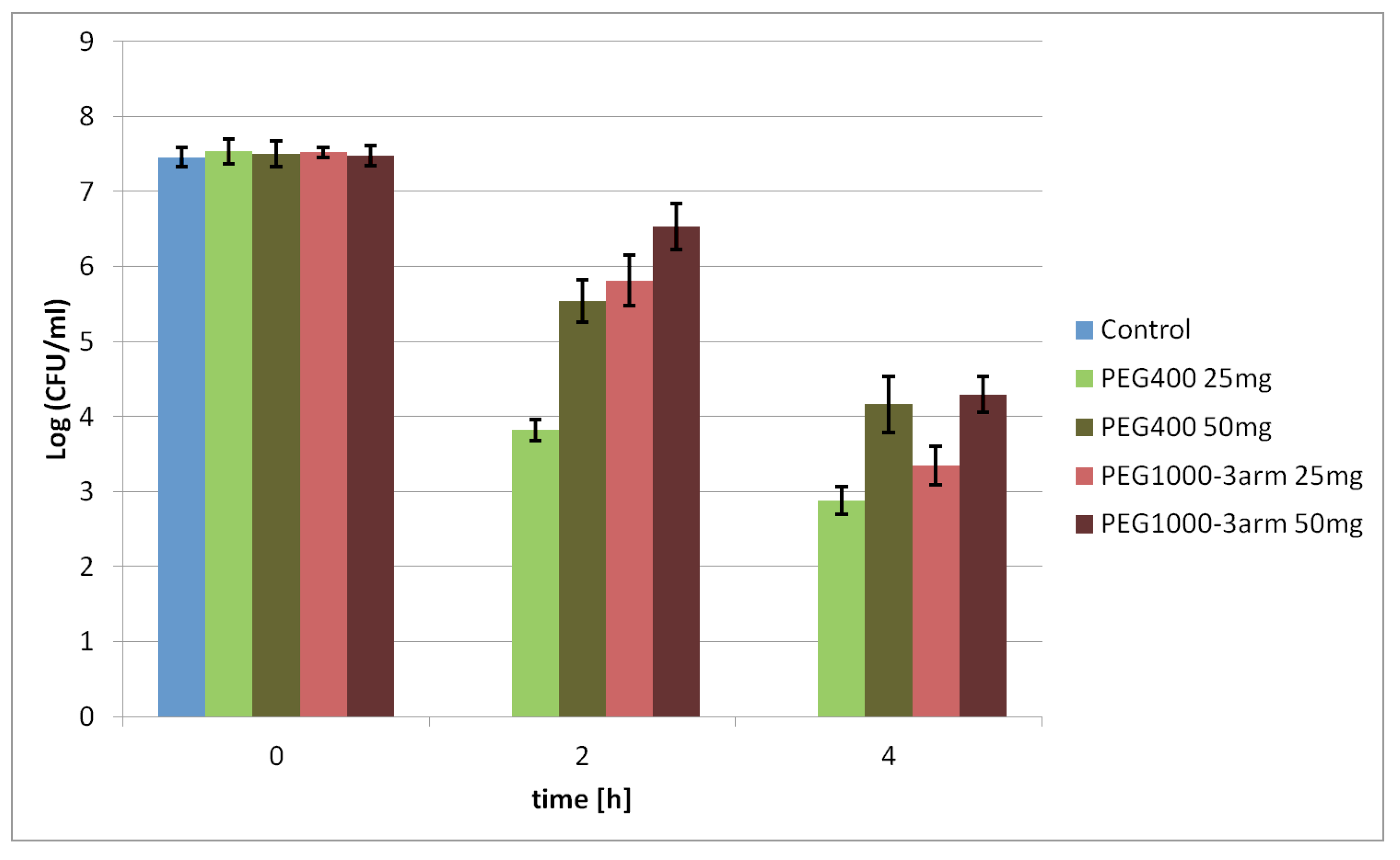
The results of the protective effect of the selected γ-PGA-based hydrogels on probiotic bacteria in pH 3.0 and 1.5, expressed as Log10 CFU/mL, are presented in Figure 5 and Figure 6. For the test carried out in pH 3.0, 25 mg hydrogel samples were used, while the test carried out in pH 1.5 was performed for 25 and 50 mg of the hydrogel samples. For free cells and cells entrapped in the PEG400 and PEG1000 hydrogels, similar loss in cell viability was observed (2.62, 2.58, and 2.66 Log CFU/mL, respectively) after incubation for 2 h at pH 3.0 (Figure 5). At the same time, loss in cell viability for bacteria entrapped in the PEG1000-3arm hydrogel was significantly lower (0.89 Log CFU/mL). After 4 h of the experiment, the viable cell count of the free cells and cells entrapped in the PEG400 and PEG1000 hydrogels further decreased (reaching values of 2.80, 3.84, and 2.86 Log CFU/mL, respectively), although for cells entrapped in the PEG400 hydrogel, the decrease was smaller than that after the first experiment period. Cells entrapped in the PEG1000-3arm hydrogel maintained the highest viability (5.54 Log CFU/mL). Importantly, the survival rate of probiotic bacteria in the PEG400 and PEG1000-3arm hydrogels after exposure to acid conditions for 4 h was higher than that for free cells.
Total loss in viability of free cells was observed after incubation at pH = 1.5 for 2 h, while bacteria entrapped in the hydrogels survived for 4 h under these conditions (Figure 6). After 2 and 4 h, loss in cell viability for bacteria entrapped in 25 mg of the PEG1000-3arm hydrogel was lower than that for bacteria entrapped in 25 mg of the PEG400 hydrogel. Similar results were observed for the test performed at pH = 3.0. Increasing the hydrogel amount to 50 mg per sample visibly improved the cell survival rate, e.g., bacteria entrapped in 50 mg of the PEG1000-3arm hydrogel maintained a cell population of 6.53 Log CFU/mL after incubation for 2 h in pH = 1.5. The viable cell count of cells entrapped in 50 mg of both hydrogels after 4 h of incubation in a solution with pH = 1.5 was higher than 4.0 Log CFU/mL.

3.6. Preliminary Cytotoxicity Assay

The cytotoxicity of the hydrolysed γ-PGA–PEG400 hydrogel was evaluated towards the MSTO and PANC 1 cell lines. Cell viability was determined after 24 h of culture by MTT assay. The MSTO cell line maintained viability of 79% ± 13%, and the PANC 1 cell line with 67% ± 16% cell viability (p = 0.0621; Figure 7). Both the tested human cell lines demonstrated good survival rate, confirming the cytocompatible nature of the γ-PGA–PEG400 hydrogel.

4. Discussion

γ-PGA–PEG hydrogels were obtained from an esterification reaction between γ-PGA biopolymers and linear PEG cross-linkers with different chain lengths, as well as with a branched PEG cross-linker. The swelling behaviour of the obtained hydrogels was investigated in deionised water, in phthalate buffer at pH = 3.0, and in phosphate-buffered saline at pH = 7.4. The highest swelling ratio was achieved after soaking the hydrogel samples in deionised water. While the SR of each hydrogel soaked in phthalate buffer and in phosphate-buffered saline was significantly lower than the SR achieved after soaking in deionised water, the achieved SR values at both buffers were quite similar. Differences in swelling in deionised water and in the buffers might be associated with the influence of ionic concentration. According to the literature, the swelling behaviour of γ-PGA hydrogels is associated with repulsive forces between -COO groups. The absence of cations in deionised water allows strong electrostatic repulsion between -COO groups, which enables high swelling values. In buffers, the number of additional cations caused weakened electrostatic repulsion between –COO due to the chelation between –COO groups and cations, which presumably lead to a depressed swelling degree [25].
On the basis of the conducted research, we found that the swelling ratio of hydrogels increased with the increase of the cross-linker’s chain length. Such a tendency was observed for each tested condition (deionised water, pH = 3.0, and pH = 7.4). Different cross-linker amounts in each hydrogel might have affected the swelling behaviour. Increasing cross-linker concentration could result in a network with more cross-linking points (higher cross-linking density); therefore, there would be less space for water [26]. However, on the basis of conducted 1H NMR analysis of the hydrolysed hydrogels, the cross-linker amount was similar in all hydrogels. Therefore, it could be assumed that the swelling behaviour of the obtained hydrogels mainly depended on cross-linker chain length. Cross-linker chain length influences swelling behaviour; using a cross-linker with longer chains results in an increase of the hydrogel swelling ratio in comparison to a hydrogel with shorter cross-linker chains [27,28]. Moreover, it was found that the use of a branched cross-linker resulted in obtaining a hydrogel with a lower swelling ratio in comparison to the application of a linear cross-linker with similar molecular weight. The more water that a hydrogel was able to absorb (the higher SR), the larger the pores that were generated during lyophilisation. Thus, in the SEM image of PEG1000, the biggest pores are visible (Figure 2e,f), in the SEM image of the PEG1000-3arm, the smallest pores can be observed (Figure 2g,h), and a rather similar size of pores was observed in PEG200 (Figure 2a,b) and PEG400 (Figure 2c,d). On the basis of the obtained results, we established the influence of the molecular weight of the PEG cross-linker, as well as the cross-linker structure (linear or branched), on the swelling ratio of the γ-PGA-based hydrogels. In the current study, the lowest SR = 6.0 ± 0.4 g/g was achieved after soaking the γ-PGA-based hydrogel with 3-arm PEG1000 cross-linker in phthalate buffer at pH = 3.0. The materials that achieved a low swelling ratio under acidic conditions may be useful for intestine-delivery vehicles. This is because such vehicles are first subjected to highly acidic conditions in the stomach, where contact between the contents of those delivery vehicles and the harmful medium should be limited. Then, the release of the active substance from intestine-delivery vehicles should occur after subjecting them to gradually increasing pH, from pH = 5.5 in the small intestine to about pH = 7.5 in the ileocolonic region [29].
In order to investigate the possibility of using synthesised γ-PGA-based hydrogels as drug-delivery vehicles, studies on the antimicrobial activity of hydrogels loaded with antibiotics were carried out. During a disc-diffusion assay, pure hydrogel discs, hydrogel discs loaded with antibiotics, and a paper disc containing antibiotics were tested against selected pathogens. S. aureus and E. coli were chosen to represent Gram-positive and -negative bacteria. Both pathogens are the most common cause of healthcare-associated infections [30]. Chloramphenicol, an antibacterial agent with a broad spectrum of activity against Gram-positive and -negative bacteria [31], was used as a model drug. Paper discs containing antibiotics and hydrogel discs loaded with antibiotics exhibited antimicrobial activity against E. coli and S. aureus. After 24 h of the experiment, higher antimicrobial activity against both pathogens was observed for antibiotics released from the paper discs. It could be assumed that, during the first period of the experiment, only a small amount of antibiotics was released from the hydrogel discs, and that dose was too low to indicate a similar effect as the antibiotics release from the paper discs. However, after transferring hydrogel discs loaded with antibiotics and paper discs onto freshly seed TSA plates, the hydrogel discs with antibiotics showed noticeably higher antimicrobial activity against the tested pathogens. Along with extending the duration of the experiment, more drugs were released from the hydrogel discs, resulting in observed antibacterial activity up to 120 h. The performed experiment indicated prolonged activity of hydrogels loaded with antibiotics in comparison to paper discs containing antibiotics. Moreover, hydrogel discs dissolved during the experiment, which might be the result of the hydrolysis of ester bonds caused by humidity and/or enzymes produced by bacteria. Such hydrogel behaviour may be desirable for certain applications, such as wound dressing [32]. The antibacterial effect of pure hydrogel discs observed after 120 h could be explained just by the low pH generated by the hydrolysis of the hydrogel.
The developed γ-PGA–PEG hydrogels were tested as probiotic-delivery systems. The protective effect of γ-PGA-based hydrogels on probiotic cells in low pH was determined. Various hydrogels are known as materials that might improve the survivability of probiotic bacteria under gastrointestinal-track conditions, as well as during storage at various temperatures [33]. Moreover, the γ-PGA biopolymer was already successfully tested as a delivery vehicle for probiotic bacteria [12,34]. Those facts encourage further research, during which the suitability of γ-PGA-based hydrogels for applications as probiotic-delivery systems could be investigated. In the human stomach, probiotic bacteria are subjected to gastric acidic with low pH. Immediately after consuming certain food and drinks, gastric pH could be elevated to a value in the range of 3.0–4.0; however, this decreases over time to a value below 2.0 [29]. Therefore, the protective effect of the selected γ-PGA-based hydrogels on probiotic bacteria was tested under various pH values, 3.0 and 1.5, respectively. The viability of the tested probiotic bacteria entrapped in the hydrogels was mostly higher than that of free cells subjected to pH 3.0 and pH 1.5. Certain differences in the viability of bacteria protected by PEG400, PEG1000, and PEG1000-3arm were observed. Those differences might be related to the different swelling behaviours of those hydrogels; the PEG1000-3arm hydrogel had a lower SR under acidic conditions than that of the PEG400 and PEG1000 hydrogels. Less of the harmful medium could penetrate inside a less swollen PEG1000-3arm hydrogel; thus, contact between entrapped probiotic bacteria and acid medium is more limited. This is in contrast to the hydrogel with the linear PEG1000 cross-linker, which had the highest swelling ratio between the tested hydrogels. Presumably, the high SR value is the reason why the viability rate of the bacteria entrapped in this hydrogel was similar to the viability of the free cells. The main differences in the survival level of probiotic bacteria was visible after incubation in pH 1.5; under these conditions, free cells were not able to survive for 2 h, while protected cells could maintain a certain level of viability after 4 h. Moreover, it was found that increasing the hydrogel amount may further improve bacterial survival under acidic conditions. A larger gel amount might provide a thicker barrier between probiotic bacteria and harmful environments, especially for bacteria in the core of hydrogel samples. The obtained results proved the bacterial protective ability of the synthesised γ-PGA-based hydrogels in a solution with low pH. It was established that the hydrogel swelling ratio and amount had noticeable influence on the survival rate of bacteria protected by hydrogels.
Products that claim to contribute to the improvement of intestinal microflora should contain a minimum 106 CFU/mL of probiotic bacteria [35]. Depending on the consumed food and drinks, gastric-residence time could vary between 15 and 194 min [29]. Probiotic bacteria entrapped in 50 mg of the γ-PGA–PEG1000-3arm hydrogel maintained a cell population of 6.53 ± 0.31 Log CFU/mL after incubation for 2 h in pH = 1.5. Despite visible loss in cell viability for bacteria protected by the hydrogels after 4 h of incubation in pH 1.5, the γ-PGA-based hydrogels could be further investigated to develop probiotic-delivery systems. Synthesised hydrogels demonstrated improved viability of the entrapped probiotic bacteria under acidic conditions in comparison to free cells. If a sufficiently high starting dose of bacteria were introduced into the appropriate γ-PGA-based hydrogel amount, and subjected to low pH, such a delivery system could contain the required amount of viable bacteria.
In order to evaluate in vitro cytotoxicity, two cell lines, MSTO and PANC 1, were treated with hydrolysed γ-PGA–PEG400 hydrogel. On the basis of the obtained results, it was observed that the presence of hydrolysis products negatively affected the cellular viability of both tested lines. However, percentages of cell viability in the range of 80%–60% were still recognised as weak cytotoxicity [36].

5. Conclusions

The γ-PGA-based hydrogels were synthesised using PEGs with different chain lengths as cross-linkers. It was established that the swelling ratio of obtained hydrogels increased with the increasing chain length of cross-linkers. Different swelling behaviour may be required for different applications, so determining the relationship between cross-linker features and swelling ratio is vital for designing hydrogels for selected applications. On the basis of the results, we found that the swelling ratio of γ-PGA–PEG hydrogels could be controlled by applying a PEG cross-linker with appropriate chain length and/or structure. Taking into consideration the availability of PEGs with different chain lengths, as well as with different structures, it can be presumed that there is a broad range of possibilities to obtain γ-PGA–PEG hydrogels with swelling properties tailored for specific applications.
In addition, results of the current research demonstrated the antimicrobial activity of hydrogels loaded with antibiotics against the tested pathogens. Moreover, it was established that the obtained hydrogels improved the viability of entrapped probiotic bacteria under acidic conditions, and are cytocompatible.

Author Contributions

Conceptualisation, I.K. and I.R.; methodology, I.K., A.I.E., A.G., and I.R.; investigation, I.K., D.N., A.I.E., and A.G.; writing—original-draft preparation, I.K.; writing—review and editing, I.K., D.N., A.I.E., A.G., and I.R.; funding acquisition, I.K. All authors have read and agreed to the published version of the manuscript.

Funding

This research was funded by the National Science Centre, Poland (decision no. DEC-2017/24/C/ST5/00162).

Conflicts of Interest

The authors declare no conflict of interest.

References

  1. Maitra, J.; Shukla, V.K. Cross-linking in Hydrogels—A Review. Am. J. Polym. Sci. 2014, 4, 25–31. [Google Scholar] [CrossRef]
  2. Gyles, D.A.; Castro, L.D.; Silva, J.O.C.; Ribeiro-Costa, R.M. A review of the designs and prominent biomedical advances of natural and synthetic hydrogel formulations. Eur. Polym. J. 2017, 88, 373–392. [Google Scholar] [CrossRef]
  3. Gulrez, S.K.H.; Al-Assaf, S.; Phillips, G.O. Hydrogels: Methods of Preparation, Characterisation and Applications. In Progress in Molecular and Environmental Bioengineering—From Analysis and Modeling to Technology Applications; Carpi, A., Ed.; InTech: Rijeka, Croatia, 2011; ISBN 978-953-307-268-5. [Google Scholar]
  4. Hennink, W.E.; van Nostrum, C.F. Novel crosslinking methods to design hydrogels. Adv. Drug Deliv. Rev. 2002, 54, 13–36. [Google Scholar] [CrossRef]
  5. Caló, E.; Khutoryanskiy, V.V. Biomedical applications of hydrogels: A review of patents and commercial products. Eur. Polym. J. 2015, 65, 252–267. [Google Scholar] [CrossRef]
  6. Gupta, A.; Keddie, D.J.; Kannappan, V.; Gibson, H.; Khalil, I.R.; Kowalczuk, M.; Martin, C.; Shuai, X.; Radecka, I. Production and characterisation of bacterial cellulose hydrogels loaded with curcumin encapsulated in cyclodextrins as wound dressings. Eur. Polym. J. 2019, 118, 437–450. [Google Scholar] [CrossRef]
  7. Bashari, A.; Shirvan, A.R.; Shakeri, M. Cellulose-based hydrogels for personal care products. Polym. Adv. Technol. 2018, 29, 2853–2867. [Google Scholar] [CrossRef]
  8. Ali, A.; Ahmed, S. Recent Advances in Edible Polymer Based Hydrogels as a Sustainable Alternative to Conventional Polymers. J. Agric. Food Chem. 2018, 66, 6940–6967. [Google Scholar] [CrossRef]
  9. Guilherme, M.R.; Aouada, F.A.; Fajardo, A.R.; Martins, A.F.; Paulino, A.T.; Davi, M.F.T.; Rubira, A.F.; Muniz, E.C. Superabsorbent hydrogels based on polysaccharides for application in agriculture as soil conditioner and nutrient carrier: A review. Eur. Polym. J. 2015, 72, 365–385. [Google Scholar] [CrossRef]
  10. Buescher, J.M.; Margaritis, A. Microbial Biosynthesis of Polyglutamic Acid Biopolymer and Applications in the Biopharmaceutical, Biomedical and Food Industries. Crit. Rev. Biotechnol. 2007, 27, 1–19. [Google Scholar] [CrossRef] [PubMed]
  11. Luo, Z.; Guo, Y.; Liu, J.; Qiu, H.; Zhao, M.; Zou, W.; Li, S. Microbial synthesis of poly-γ-glutamic acid: Current progress, challenges, and future perspectives. Biotechnol. Biofuels 2016, 9, 134–145. [Google Scholar] [CrossRef] [PubMed]
  12. Bhat, A.R.; Irorere, V.U.; Bartlett, T.; Hill, D.; Kedia, G.; Morris, M.R.; Charalampopoulos, D.; Radecka, I. Bacillus subtilis natto: A non-toxic source of poly-γ-glutamic acid that could be used as a cryoprotectant for probiotic bacteria. AMB Express 2013, 3, 36–44. [Google Scholar] [CrossRef] [PubMed]
  13. Ogunleye, A.; Bhat, A.; Irorere, V.U.; Hill, D.; Williams, C.; Radecka, I. Poly-γ-glutamic acid: Production, properties and applications. Microbiology 2015, 161, 1–17. [Google Scholar] [CrossRef]
  14. Chang, K.Y.; Cheng, L.W.; Ho, G.H.; Huang, Y.P.; Lee, Y.D. Fabrication and characterization of poly(γ-glutamic acid)-graft-chondroitin sulfate/polycaprolactone porous scaffolds for cartilage tissue engineering. Acta Biomater. 2009, 5, 1937–1947. [Google Scholar] [CrossRef] [PubMed]
  15. Sonaje, K.; Chen, Y.J.; Chen, H.L.; Wey, S.P.; Juang, J.H.; Nguyen, H.N.; Hsu, C.W.; Lin, K.J.; Sung, H.W. Enteric-coated capsules filled with freeze-dried chitosan/poly(γ-glutamic acid) nanoparticles for oral insulin delivery. Biomaterials 2010, 31, 3384–3394. [Google Scholar] [CrossRef] [PubMed]
  16. Cho, S.H.; Hong, J.H.; Noh, Y.W.; Lee, E.; Lee, C.S.; Lim, Y.T. Raspberry-like poly(γ-glutamic acid) hydrogel particles for pH-dependent cell membrane passage and controlled cytosolic delivery of antitumor drugs. Int. J. Nanomed. 2016, 11, 5621–5632. [Google Scholar] [CrossRef] [PubMed]
  17. Kunioka, M. Biodegradable water absorbent synthesized from bacterial poly(amino acid)s. Macromol. Biosci. 2004, 4, 324–329. [Google Scholar] [CrossRef]
  18. Perez-Madrigal, M.M.; Edo, M.G.; Diaz, A.; Puiggalí, J.; Aleman, C. Poly-γ-glutamic Acid Hydrogels as Electrolyte for Poly(3,4-ethylenedioxythiophene)-Based Supercapacitors. J. Phys. Chem. C 2017, 121, 3182–3193. [Google Scholar] [CrossRef]
  19. Bhattarai, N.; Ramay, H.R.; Gunn, J.; Matsen, F.A.; Zhang, M. PEG-grafted chitosan as an injectable thermosensitive hydrogel for sustained protein release. J. Control. Release 2005, 103, 609–624. [Google Scholar] [CrossRef]
  20. Chang, F.-C.; Tsao, C.-T.; Lin, A.; Zhang, M.; Levengood, S.L.; Zhang, M. PEG-Chitosan Hydrogel with Tunable Stiffness for Study of Drug Response of Breast Cancer Cells. Polymers 2016, 8, 112. [Google Scholar] [CrossRef]
  21. Parlato, M.; Reichert, S.; Barney, N.; Murphy, W.L. Poly(ethylene glycol) Hydrogels with Adaptable Mechanical and Degradation Properties for Use in Biomedical Applications. Macromol. Biosci. 2014, 14, 687–698. [Google Scholar] [CrossRef]
  22. Chen, S.L.; Fu, R.H.; Liao, S.F.; Liu, S.P.; Lin, S.Z.; Wang, Y.C. A PEG-Based Hydrogel for Effective Wound Care Management. Cell Transplant. 2018, 27, 275–284. [Google Scholar] [CrossRef] [PubMed]
  23. Hu, W.; Feng, X.; Liu, X.; Dai, S.; Zeng, W.; Jiang, Q.; Chen, B.; Quan, C.; Sun, K.; Zhang, C. Poly(γ-glutamic acid) modulates the properties of poly(ethylene glycol) hydrogel for biomedical applications. J. Biomater. Sci. Polym. Ed. 2016, 27, 1775–1787. [Google Scholar] [CrossRef]
  24. Chiang, W.-H.; LO, Y.-W.; Cheng, F.; LU, M.; Chiu, Y.L. Hydrogel Compositions and Drug Delivery Systems Comprising the Same. U.S. Patent 10,398,647, 3 September 2019. [Google Scholar]
  25. Li, Z.; He, G.D.; Hua, J.C.; Wu, M.Q.; Guo, W.; Gong, J.X.; Zhang, J.F.; Qiao, C.S. Preparation of γ-PGA hydrogels and swelling behaviors in salt solutions with different ionic valence numbers. RSC Adv. 2017, 7, 11085–11093. [Google Scholar] [CrossRef]
  26. Wong, R.S.; Ashton, M.; Dodou, K. Effect of Crosslinking Agent Concentration on the Properties of Unmedicated Hydrogels. Pharmaceutics 2015, 7, 305–319. [Google Scholar] [CrossRef]
  27. Mabilleau, G.; Stancu, I.C.; Honore, T.; Legeay, G.; Cincu, C.; Basle, M.F.; Chappard, D. Effects of the length of crosslink chain on poly(2-hydroxyethyl methacrylate) (pHEMA) swelling and biomechanical properties. J. Biomed. Mater. Res. Part A 2006, 77A, 35–42. [Google Scholar] [CrossRef] [PubMed]
  28. Salimi-Kenari, H.; Mollaie, F.; Dashtimoghadam, E.; Imani, M.; Nyström, B. Effects of chain length of the cross-linking agent on rheological and swelling characteristics of dextran hydrogels. Carbohydr Polym. 2018, 181, 141–149. [Google Scholar] [CrossRef] [PubMed]
  29. Maurer, J.M.; Schellekens, R.C.A.; van Rieke, H.M.; Wanke, C.; Iordanov, V.; Stellaard, F.; Wutzke, K.D.; Dijkstra, G.; van der Zee, M.; Woerdenbag, H.J.; et al. Gastrointestinal pH and Transit Time Profiling in Healthy Volunteers Using the IntelliCap System Confirms Ileo-Colonic Release of ColoPulse Tablets. PLoS ONE 2015, 10, e0129076. [Google Scholar] [CrossRef] [PubMed]
  30. Poolman, J.T.; Anderson, A.S. Escherichia coli and Staphylococcus aureus: Leading bacterial pathogens of healthcare associated infections and bacteremia in older-age populations. Expert. Rev. Vaccines 2018, 17, 607–618. [Google Scholar] [CrossRef]
  31. Sykes, J.E.; Papich, M.G. Antibacterial Drugs. In Canine and Feline Infectious Diseases; Sykes, J.E., Ed.; Elsevier Inc.: Amsterdam, The Netherlands, 2014; pp. 66–86. [Google Scholar]
  32. Konieczynska, M.D.; Villa-Camacho, J.C.; Ghobril, C.; Perez-Viloria, M.; Tevis, K.M.; Blessing, W.A.; Nazarian, A.; Rodriguez, E.K.; Grinstaff, M.W. On-Demand Dissolution of a Dendritic Hydrogel-based Dressing for Second-Degree Burn Wounds through Thiol-Thioester Exchange Reaction. Angew. Chem. Int. Ed. Engl. 2016, 16, 9984–9987. [Google Scholar] [CrossRef]
  33. Cook, M.T.; Tzortzis, G.; Charalampopoulos, D.; Khutoryanskiy, V.V. Microencapsulation of probiotics for gastrointestinal delivery. J. Control. Release 2012, 162, 56–67. [Google Scholar] [CrossRef]
  34. Bhat, A.R.; Irorere, V.U.; Bartlett, T.; Hill, D.; Kedia, G.; Charalampopoulos, D.; Nualkaekul, S.; Radecka, I. Improving survival of probiotic bacteria using bacterial poly-γ-glutamic acid. Int. J. Food Microbiol. 2015, 196, 24–31. [Google Scholar] [CrossRef] [PubMed]
  35. Kailasapathy, K.; Chin, J. Survival and therapeutic potential of probiotic organisms with reference to Lactobacillus acidophilus and Bifidobacterium spp. Immunol. Cell Biol. 2000, 78, 80–88. [Google Scholar] [CrossRef] [PubMed]
  36. López-Garcí, J.; Lehocký, M.; Humpolíček, P.; Sáha, P. HaCaT Keratinocytes Response on Antimicrobial Atelocollagen Substrates: Extent of Cytotoxicity, Cell Viability and Proliferation. J. Funct. Biomater. 2014, 5, 43–57. [Google Scholar] [CrossRef] [PubMed]
Figure 1. Obtained sample 1H NMR spectra as result of hydrolysis of (A) γ-PGA–PEG1000 hydrogel, (B) DMAP, and (C) EDC.
Figure 1. Obtained sample 1H NMR spectra as result of hydrolysis of (A) γ-PGA–PEG1000 hydrogel, (B) DMAP, and (C) EDC.
Applsci 10 02787 g001
Scheme 1. Synthesis of γ-PGA-based hydrogels using PEGs as cross-linkers.
Scheme 1. Synthesis of γ-PGA-based hydrogels using PEGs as cross-linkers.
Applsci 10 02787 sch001
Figure 2. SEM images of γ-PGA-based hydrogels with various cross-linkers. (a,b) PEG200; (c,d) PEG400; (e,f); and (g,h) PEG1000-3arm at 5 kV.
Figure 2. SEM images of γ-PGA-based hydrogels with various cross-linkers. (a,b) PEG200; (c,d) PEG400; (e,f); and (g,h) PEG1000-3arm at 5 kV.
Applsci 10 02787 g002
Figure 3. Studies on swelling behaviour of γ-PGA-based hydrogels carried in phthalate buffer at pH = 3.0, deionised water, and phosphate-buffered saline at pH = 7.4 (n = 3; error bars, standard deviation; ns = nonsignificant with p > 0.05).
Figure 3. Studies on swelling behaviour of γ-PGA-based hydrogels carried in phthalate buffer at pH = 3.0, deionised water, and phosphate-buffered saline at pH = 7.4 (n = 3; error bars, standard deviation; ns = nonsignificant with p > 0.05).
Applsci 10 02787 g003
Figure 4. Swelling behaviour of γ-PGA-based hydrogels in deionised water as function of time (n = 3, error bars, standard deviation).
Figure 4. Swelling behaviour of γ-PGA-based hydrogels in deionised water as function of time (n = 3, error bars, standard deviation).
Applsci 10 02787 g004
Figure 5. Viability of probiotic bacteria (free cells = control and cells entrapped in γ-PGA-based hydrogels) exposed to pH = 3.0 (n = 3; error bars, standard deviation).
Figure 5. Viability of probiotic bacteria (free cells = control and cells entrapped in γ-PGA-based hydrogels) exposed to pH = 3.0 (n = 3; error bars, standard deviation).
Applsci 10 02787 g005
Figure 6. Viability of probiotic bacteria (free cells = control and cells entrapped in γ-PGA-based hydrogels) exposed to pH = 1.5 (n = 3; error bars, standard deviation).
Figure 6. Viability of probiotic bacteria (free cells = control and cells entrapped in γ-PGA-based hydrogels) exposed to pH = 1.5 (n = 3; error bars, standard deviation).
Applsci 10 02787 g006
Figure 7. Effect of γ-PGA–PEG400 hydrogel on cellular viability (error bars, standard deviation).
Figure 7. Effect of γ-PGA–PEG400 hydrogel on cellular viability (error bars, standard deviation).
Applsci 10 02787 g007
Table 1. Reagent quantities calculated per 0.25 g of poly-γ-glutamic acid (γ-PGA). Note: DMAP, 4-dimethylaminopyridine; EDC, 1-(3-dimethylaminopropyl)-3-ethylcarbodiimide hydrochloride; PEG, poly(ethylene glycol).
Table 1. Reagent quantities calculated per 0.25 g of poly-γ-glutamic acid (γ-PGA). Note: DMAP, 4-dimethylaminopyridine; EDC, 1-(3-dimethylaminopropyl)-3-ethylcarbodiimide hydrochloride; PEG, poly(ethylene glycol).
Cross-LinkerDMAP (g)EDC (g)
TypeAmount (g)
PEG2000.11630.02360.1110
PEG4000.2326
PEG10000.5814
Table 2. Inhibitory effect of hydrogel discs loaded with antibiotics toward S. aureus and E. coli (n = 3).
Table 2. Inhibitory effect of hydrogel discs loaded with antibiotics toward S. aureus and E. coli (n = 3).
Diameter of Zone of Inhibition (mm)
SampleS. aureusE. coli
AntibioticsHydrogel + AntibioticsAntibioticsHydrogel + Antibiotics
PEG20022.6 ± 2.516.3 ± 2.917.3 ± 1.59.7 ± 2.9
PEG40022.1 ± 1.119.3 ± 0.618.3 ± 0.615.3 ± 0.6
PEG1000-3arm23.6 ± 1.219.0 ± 1.018.6 ± 0.614.7 ± 1.5
Table 3. Inhibitory effect of PEG1000-3arm hydrogel discs loaded with antibiotics toward S. aureus and E. coli (n = 3).
Table 3. Inhibitory effect of PEG1000-3arm hydrogel discs loaded with antibiotics toward S. aureus and E. coli (n = 3).
Diameter of Zone of Inhibition (mm)
Total Time (h)S. aureusE. coli
AntibioticsHydrogel + AntibioticsAntibioticsHydrogel + Antibiotics
2423.6 ± 1.219.0 ± 1.018.6 ± 0.614.7 ± 1.5
48 a5.0 ± 0.113.0 ± 1.05.0 ± 0.1-
120 b5.0 ± 0.118 ± 1.75.0 ± 0.113.7 ± 0.6
After first 24 h, samples were transferred onto freshly seeded tryptic soy agar (TSA) plates, and zones of inhibition were measured again after another 24 h a and 96 h b.

Share and Cite

MDPI and ACS Style

Kwiecień, I.; Niewolik, D.; Ekere, A.I.; Gupta, A.; Radecka, I. Synthesis of Hydrogels Made of Poly-γ-Glutamic Acid (γ-PGA) for Potential Applications as Probiotic-Delivery Vehicles. Appl. Sci. 2020, 10, 2787. https://doi.org/10.3390/app10082787

AMA Style

Kwiecień I, Niewolik D, Ekere AI, Gupta A, Radecka I. Synthesis of Hydrogels Made of Poly-γ-Glutamic Acid (γ-PGA) for Potential Applications as Probiotic-Delivery Vehicles. Applied Sciences. 2020; 10(8):2787. https://doi.org/10.3390/app10082787

Chicago/Turabian Style

Kwiecień, Iwona, Daria Niewolik, Anabel Itohowo Ekere, Abhishek Gupta, and Izabela Radecka. 2020. "Synthesis of Hydrogels Made of Poly-γ-Glutamic Acid (γ-PGA) for Potential Applications as Probiotic-Delivery Vehicles" Applied Sciences 10, no. 8: 2787. https://doi.org/10.3390/app10082787

APA Style

Kwiecień, I., Niewolik, D., Ekere, A. I., Gupta, A., & Radecka, I. (2020). Synthesis of Hydrogels Made of Poly-γ-Glutamic Acid (γ-PGA) for Potential Applications as Probiotic-Delivery Vehicles. Applied Sciences, 10(8), 2787. https://doi.org/10.3390/app10082787

Note that from the first issue of 2016, this journal uses article numbers instead of page numbers. See further details here.

Article Metrics

Back to TopTop