Experimental Investigations of the Strengthening Effects of CFRP for Thin-Walled Storage Tanks under Dynamic Loads
Abstract
1. Introduction
2. Mechanical Properties of Aluminum, CFRP Layers, and CFRP-Aluminum Lamination
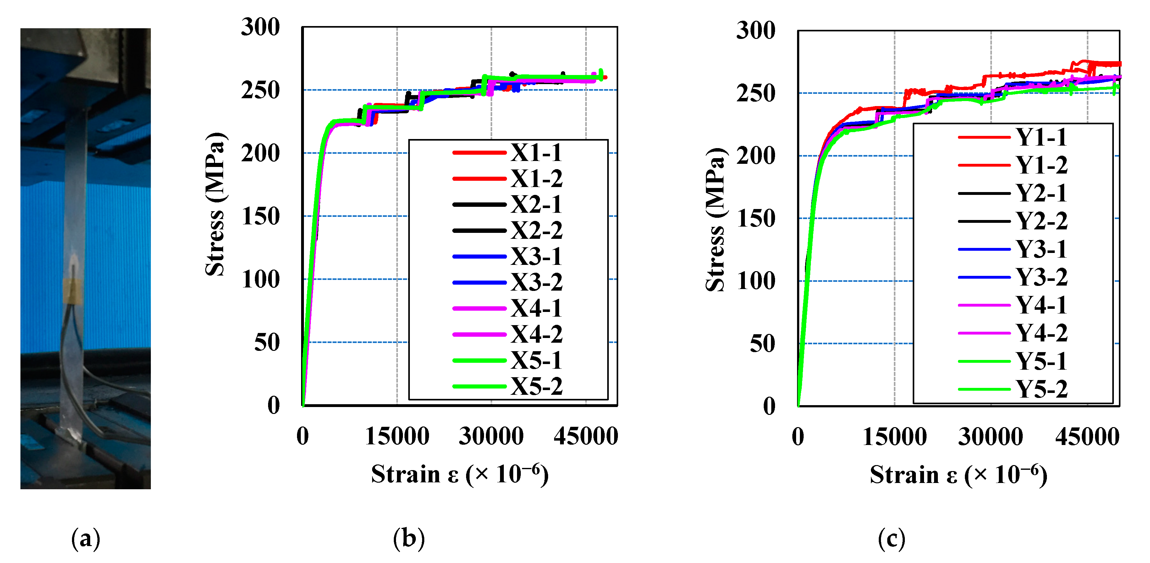
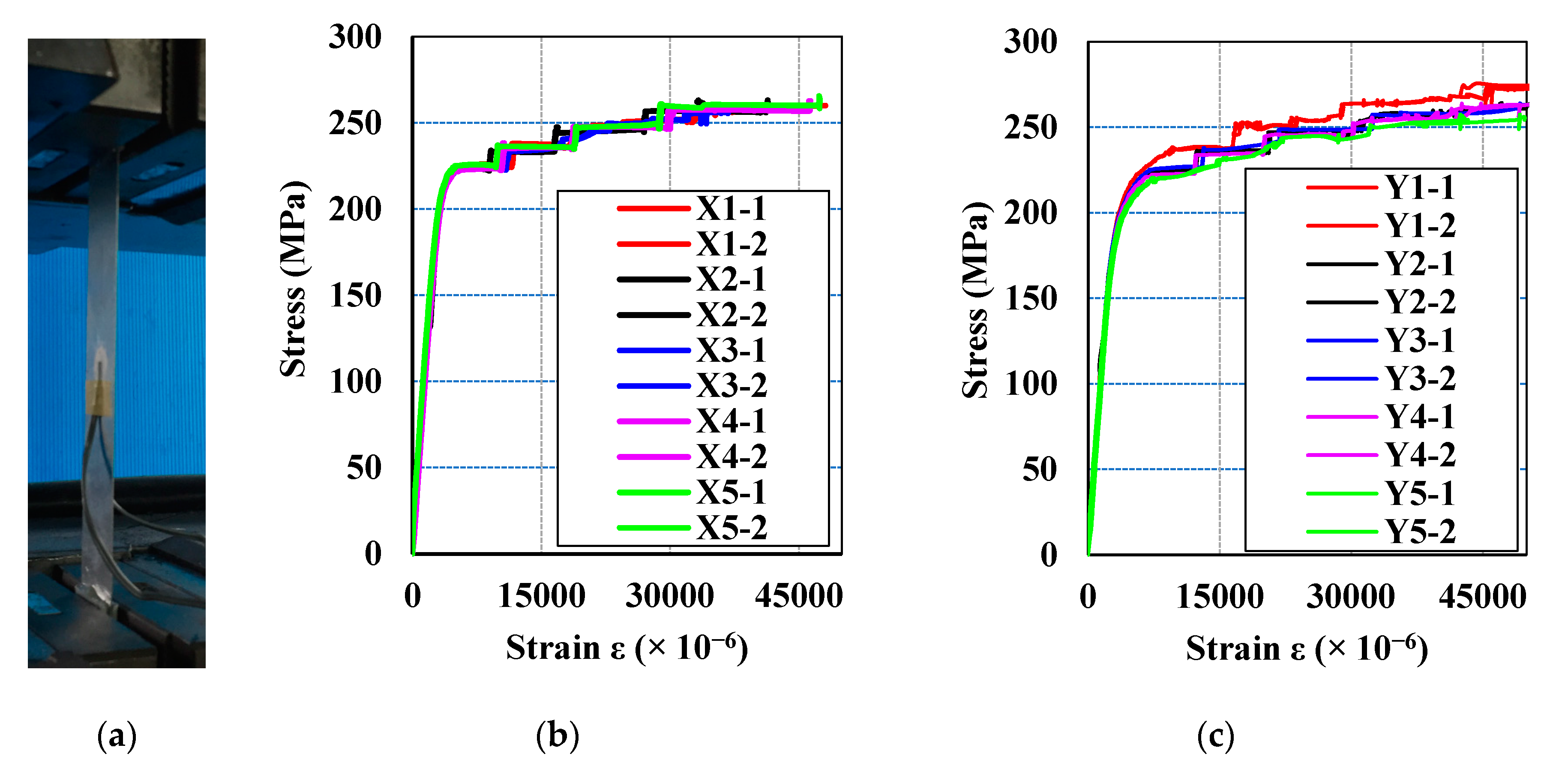
2.1. The Mechanical Properties of Aluminum Plates
2.2. Mechanical Properties of CFRP Layers
2.3. Mechanical Properties of the CFRP-Aluminum Composite Plates
3. Experimental Programme
3.1. Test Ring and Specimen Configurations
3.2. Similarity Rules for Small-Scale Models
3.3. The Suitability of Small-Scale Models Compared to the Full-Scale Prototype of the TSTs
3.4. Molding Process
3.5. Shaking Table System and Dynamic Data Logger
3.6. Testing Procedures
3.7. Applied Dynamic Load
4. Results and Discussion
4.1. Static Hoop Strains and Strengthening Effects of CFRP Layers on the Restraint of Static Strain Values
4.2. Strengthening Effects of the CFRP Layers on the Restraint of Strain Values on the Tanks Under Dynamic Excitation
5. Conclusions
- Small diameter steel balls could be used as a suitable solution to replace a normal liquid in the experiments of small-scale specimens under dynamic loads. Good correspondences were found between static hoop strains obtained from experiments and the values that were calculated using theory. In this way, higher internal pressures could be created for the small-scale tanks containing materials inside. The testing method for small-scale tanks containing a high-density material under a dynamic load was developed with the similarity rules for small-scale models, making the testing easier to perform with small-scale models.
- The CFRP layers could restrain both static and dynamic hoop strains in TSTs, especially for the 0° CFRP layer. The restraint levels of static strains could be up to 65% for the 0° CFRP layer and 62% for the 0°/90° CFRP layer. The restraint of the static strains could be calculated exactly using theoretical equations. Additionally, the 0° CFRP layer had better strengthening effects than the 0°/90° CFRP layer in dynamic tests (a 54% strain restraint compared with 42%).
- Both the 0° and 0°/90° CFRP layers proved the strengthening effects of TSTs under the impact of sloshing by effectively decreasing the dynamic hoop strains. Better strengthening effects were also be found using the 0° CFRP layer.
Author Contributions
Funding
Conflicts of Interest
References
- Architectural Institute of Japan (AIJ). Reconnaissance Report on the 2010 Chile Off Maule Earthquake and Reconnaissance report on the 2011 New Zealand Christchurch Earthquake; Architectural Institute of Japan: Tokyo, Japan, 2012. [Google Scholar]
- Architectural Institute of Japan (AIJ). Preliminary Reconnaissance Report of the 2011 Tohoku-Chiho Taiheiyo-Oki Earthquake; Architectural Institute of Japan: Tokyo, Japan, 2012. [Google Scholar]
- American Lifelines Alliance. Seismic Fragility Formulations for Water Systems; ASCE, Part1-Guideline, Part-2 Appendices; American Society of Civil Engineers (ASCE): Reston, VI, USA, 2001. [Google Scholar]
- Architectural Institute of Japan (AIJ). Design Recommendation for Storage Tanks and Their Supports; Architectural Institute of Japan: Tokyo, Japan, 2010. [Google Scholar]
- Maekawa, A. Recent Advances in Seismic Response Analysis of Cylindrical Liquid Storage Tanks. In Earthquake-Resistant Structures - Design, Assessment and Rehabilitation; Abbas, M., Ed.; InTechOpen: London, UK, 2012. [Google Scholar] [CrossRef]
- National Aeronautics and Space Administration. Buckling of Thin-walled Circular Cylinders; NASA Space Vehicle Design Criteria, NASA SP-8007; NASA: Washington, DC, USA, 1968. [Google Scholar]
- Teng, J.G. Buckling of thin shells: Recent advances and trends. Appl. Mech. Rev. 1996, 49, 263–274. [Google Scholar] [CrossRef]
- Moghaddam, H.; Sangi, S. Elephant’s Foot Buckling of Cylindrical Steel Storage Tanks Subjected to Earthquake Excitation. In Proceedings of the 6th National Congress on Civil Engineering, Semnan University, Semnan, Iran, 26–27 April 2011. [Google Scholar]
- Shih, C.F. Failure of Liquid Storage Tanks due to Earthquake Excitation; Earthquake Engineering Research Laboratory – California Institution of Technology: California, CA, USA, 1981. [Google Scholar]
- Handam, F.H. Seismic behavior of cylindrical steel storage tanks. J. Constr. Steel Res. 2000, 53, 307–333. [Google Scholar] [CrossRef]
- Virella, J.C.; Godoy, L.A.; Suárez, L.E. Dynamic buckling of anchored steel tanks subjected to horizontal earthquake excitation. J. Constr. Steel Res. 2006, 62, 521–531. [Google Scholar] [CrossRef]
- Xiao, T.L.; Qui, H.X.; Li, J.L. Seismic Behaviors of Concrete Beams Reinforced with Steel-FRP Composite Bars under Quasi-Static Loading. Appl. Sci. 2018, 8, 1913. [Google Scholar] [CrossRef]
- Guo, R.; Cai, L.; Hino, S.; Wang, B. Experimental Study on Shear Strengthening of RC Beams with an FRP Grid-PCM Reinforcement Layer. Appl. Sci. 2019, 9, 2984. [Google Scholar] [CrossRef]
- Lee, K.S.; Lee, B.Y.; Seo, S.Y. A Seismic Strengthening Technique for Reinforced Concrete Columns Using Sprayed FRP. Polymers 2016, 8, 107. [Google Scholar] [CrossRef] [PubMed]
- Napoli, A.; Realfonzo, R. RC Columns Strengthened with Novel CFRP Systems: An Experimental Study. Polymers 2015, 7, 2044–2060. [Google Scholar] [CrossRef]
- Zhao, X.L.; Zhang, L. State-of-the-art review on FRP strengthened steel structures. Eng. Struct. 2007, 29, 1808–1823. [Google Scholar] [CrossRef]
- Neale, K.W. FRP for structural rehabilitation: A survey of recent progress. Progr. Struct Eng. Mater. 2000, 2, 133–138. [Google Scholar] [CrossRef]
- Harries, K.; Peck, A.J.; Abraham, E.J. Enhancing stability of structural steel sections using FRP. Thin Wall Struct. 2009, 47, 1092–1101. [Google Scholar] [CrossRef]
- Miller, T.C.; Chajes, M.J.; Mertz, D.R.; Hastings, J.N. Strengthening of a steel bridge girder using CFRP plates. J. Bridge Eng. 2001, 6, 514–522. [Google Scholar] [CrossRef]
- Seica, M.V.; Packer, J.A. FRP materials for the rehabilitation of tubular steel structures for underwater applications. Compos. Struct. 2007, 80, 440–450. [Google Scholar] [CrossRef]
- Cadei, J.M.C.; Stratford, T.J.; Hollaway, L.C.; Duckett, W.H. C595-Strengthening Metallic Structures Using Externally Bonded Fiber-reinforced Composites; CIRIA: London, UK, 2004. [Google Scholar]
- Haedir, J.; Zhao, X.L. Design of short CFRP-reinforced steel tubular columns. J. Constr. Steel Res. 2011, 67, 497–509. [Google Scholar] [CrossRef]
- Al-Azzawi, Z.; Stratford, T.; Rotter, M.; Bisby, L. FRP Shear Strengthening of Thin-Walled Plate Girder Web Panels Subjected to Cyclic Loading. In Proceedings of the PROTECT 2015, East Lansing, MI, USA, 28–30 June 2015; pp. 350–359. [Google Scholar]
- Al-Azzawi, Z.; Stratford, T.; Rotter, M.; Bisby, L. Buckling Strength of Slender Steel Plates Stiffened with Corrugated FRP Panels. In Proceedings of the ACIC 2015, Cambridge, UK, 9–11 September 2015; pp. 201–206. [Google Scholar]
- Khazaei Poula, M.; Nateghi-Alahib, F.; Zhao, X.L. Experimental testing on CFRP strengthened thin steel plates under shear loading. Thin-Walled Struct. 2016, 109, 217–226. [Google Scholar] [CrossRef]
- Bambach, M.R.; Jama, H.H.; Elchalakani, M. Axial capacity and design of thin-walled steel SHS strengthened with CFRP. Thin Wall Struct. 2009, 47, 1112–1121. [Google Scholar] [CrossRef]
- Batikha, M.; Chen, J.F.; Rotter, J.M.; Teng, J.G. Strengthening metallic cylindrical shells against elephant’s foot buckling with FRP. Thin Wall Struct. 2009, 47, 1078–1091. [Google Scholar] [CrossRef]
- Batikha, M. Strengthening of Thin Metallic Cylindrical Shells Using Fiber Reinforced Polymers. Ph.D. Thesis, The University of Edinburgh, Edinburgh, UK, 2008. [Google Scholar]
- Vakili, M.; Showkati, H. Elephant foot buckling and retrofitting of steel thin walled cylindrical shells using FRP composite materials. J. Civ. Environ. Eng. 2016, 45, 109–119. [Google Scholar]
- Bhetwal, K.K.; Yamada, S. Effects of CFRP reinforcements on the buckling behavior of thin-walled steel cylinders under compression. Int. J. Struct. Stab. Dyn. 2012, 12, 131–151. [Google Scholar] [CrossRef]
- Matsumoto, Y.; Matsui, T.; Nakamura, H.; Tsujioka, A.; Hasegawa, C.; Matsuura, S.; Endo, Y. Compressive characteristics of thin-walled steel cylinder strengthened by CFRP. In Proceedings of the 12th International Symposium on Fiber Reinforced Polymers for Reinforced Concrete Structures & the 5th Asia-Pacific Conference on Fiber Reinforced Polymers in Structures, Nanjing, China, 14–16 December 2015. [Google Scholar]
- Nhut, P.V.; Matsumoto, Y. The Effects of Carbon Fiber Reinforced Polymer Strengthening on Cylindrical Steel Storage Tanks under Bending Shear Load. IOP Conf. Ser. Mater. Sci. Eng. 2018, 371, 012025. [Google Scholar] [CrossRef]
- High-Performance Carbon Fiber Torayca, Torayca Cloth. Available online: https://www.torayca.com/en/download/pdf/cloth.pdf (accessed on 4 April 2020).
- Mieda, G.; Nakamura, H.; Matsui, T.; Ochi, Y.; Matsumoto, Y. Mechanical behavior of CFRP on steel surface molded and bonded by vacuum-assisted resin transfer molding technology. SN Appl. Sci. 2019, 1, 601. [Google Scholar] [CrossRef]
- Kaw, K.A. Mechanics of Composite Materials; CRC Taylor & Francis: Boca Raton, FL, USA, 2006. [Google Scholar]
- American Petroleum Institute. API 650: Welded Steel Tanks for Oil Storage; American Petroleum Institute-195.132(b)(3): Washington, DC, USA, 2012. [Google Scholar]
- ITTC-Recommended Procedures and Guidelines. ITTC Quality System Manual-Recommended Procedures and Guidelines – Sloshing Model Tank; ITTC: Zürich, Switzerland, 2017. [Google Scholar]
- Heller, V. Scale effects in physical hydraulic engineering models. J. Hydraul. Res. 2011, 49, 293–306. [Google Scholar] [CrossRef]
- Praveen, K.M.; Thomas, W.; Martin, W. Simple Procedure for Seismic Analysis of Liquid-Storage Tanks. Struct. Eng. Int. 2000, 10, 197–201. [Google Scholar] [CrossRef]
- Uddin, N.; Vaidya, U.; Shohel, M.; Perez, J.C.S. Cost-effective bridge girder strengthening using vacuum-assisted resin transfer molding (VARTM). Adv. Compos. Mat. 2004, 13, 255–281. [Google Scholar] [CrossRef]
- Abusrea, M.R.; Han, S.W.; Arakawa, K.; Choi, N.S. Bending strength of CFRP laminated adhesive joints fabricated by vacuum-assisted resin transfer molding. Compos. Part B 2019, 156, 8–16. [Google Scholar] [CrossRef]
- Yalcinkaya, M.A.; Sozer, E.M.; Altan, M.C. Fabrication of high quality composites laminates by pressurized and heated-VARTM. Compos. Part A 2017, 102, 336–346. [Google Scholar] [CrossRef]
- SPT3D Series [3-Axis Simultaneous Seismic Shaking Table], San-Esu Co, Ltd., Japan. Available online: http://www.san-esu.com/product040.html (accessed on 4 April 2020).
- Multi-Channel Dynamic Strainmeter DS-50A, Tokyo Measuring Instruments Laboratory Co., Ltd., Tokyo, Japan. Available online: https://tml.jp/e/product/instrument/digitaltype.html (accessed on 4 April 2020).






















| Specimen | X1 | X2 | X3 | X4 | X5 | Average value |
|---|---|---|---|---|---|---|
| Elastic modulus (MPa) | 67,215.4 | 70,373.6 | 68,931.4 | 68,851.1 | 68,935.7 | 68,861.5 |
| Specimen | Y1 | Y2 | Y3 | Y4 | Y5 | Average value |
|---|---|---|---|---|---|---|
| Elastic modulus (MPa) | 69,620.6 | 70,307.2 | 70,684.1 | 68,923.6 | 66,252.4 | 69,157.6 |
| Type | Direction of Fiber (°) | Sheet Thickness (mm) | Fiber Weight (gr/m2) | Density (gr/cm3) | Elastic Modulus (GPa) | Tensile Strength (GPa) |
|---|---|---|---|---|---|---|
| BT70-20 | 0 | 0.056 | 100 | 1.8 | 245 | 2.9 |
| 90 | 0.056 | 100 | 1.8 | 245 | 2.9 | |
| UT70-20 | 0 | 0.111 | 200 | 1.8 | 245 | 3.4 |
| CFRP Layer | tf (mm) | tm (mm) | tc (mm) | Ex (MPa) | Ey (MPa) | Gxy (MPa) | Poisson’s Ratio | ||
|---|---|---|---|---|---|---|---|---|---|
| 0° | 0.111 | 0.139 | 0.25 | 44.4 | 55.6 | 110448 | 5343 | 1951 | 0.34 |
| 0°/90° | 0.112 | 0.118 | 0.23 | 48.7 | 51.3 | 63601 | 63601 | 2111 | 0.031 |
| CFRP-Aluminum Lamination | E′x (MPa) | E′y (MPa) | G′xy (MPa) | Poisson’s Ratio |
|---|---|---|---|---|
| UT0 | 85,042 | 45,211 | 17,119 | 0.3 |
| BT0/90 | 68,145 | 67,956 | 16,952 | 0.205 |
| Parameters | Similarity Rules in 1 g (Model/Prototype) | ||
|---|---|---|---|
| Scale: 1/λ | Scale: 1/10 | Scale: 1/40 | |
| Elastic modulus | 0.46 | 0.12 | |
| Pressure | 0.46 | 0.12 | |
| Acceleration | 1 | 1 | 1 |
| Parameters | Notation | Small-Scale Model | Real-World Prototype |
|---|---|---|---|
| Mass of water/steel balls (kg) | 600 | 2,510,000 | |
| Mass of roof and tank wall (kg) | 14.37 | 68,000 | |
| Ratio | 41.8 | 36.9 |
| Name of Specimen | CFRP Layer | Height Level of the Steel Balls (mm) | Testing Condition | Number of Tests |
|---|---|---|---|---|
| SNS | ---- | 530 | Static | 1 |
| SUT0 | 0° | 530 | Static | 1 |
| SBT0/90 | 0°/90° | 530 | Static | 1 |
| DNS-530 | --- | 530 | Dynamic | 3 |
| DUT0-530 | 0° | 530 | Dynamic | 3 |
| DBT0/90-530 | 0°/90° | 530 | Dynamic | 3 |
| DNS-265 | --- | 265 | Dynamic | 3 |
| DUT0-265 | 0° | 265 | Dynamic | 3 |
| DBT0/90-265 | 0°/90° | 265 | Dynamic | 3 |
| z (mm) | Strain Decrease Level of Each Specimen | |||||
|---|---|---|---|---|---|---|
| SUT0 | SBT0/90 | DUT0-530 | DBT0/90-530 | DUT0-265 | DBT0/90-265 | |
| 450 | 65.28% | 62.22% | 54.43% | 36.49% | ||
| 420 | 64.47% | 50.79% | 52.42% | 34.95% | ||
| 375 | 49.44% | 42.70% | 51.66% | 37.14% | ||
| 330 | 57.39% | 40.87% | 55.76% | 40.71% | ||
| 285 | 53.85% | 46.38% | 56.42% | 42.36% | ||
| 240 | 48.92% | 27.95% | 50.22% | 41.06% | 43.23% | 29.71% |
| 195 | 51.15% | 35.52% | 46.64% | 39.64% | 38.36% | 27.42% |
| 150 | 47.57% | 44.86% | 43.34% | 44.74% | 38.86% | 32.77% |
| 105 | 55.23% | 46.65% | 42.22% | 41.99% | 38.21% | 27.18% |
| 60 | 37.79% | 17.83% | 35.83% | 38.95% | 30.48% | 25.18% |
| 15 | 45.40% | 24.87% | 22.78% | 29.38% | 32.40% | 19.47% |
© 2020 by the authors. Licensee MDPI, Basel, Switzerland. This article is an open access article distributed under the terms and conditions of the Creative Commons Attribution (CC BY) license (http://creativecommons.org/licenses/by/4.0/).
Share and Cite
Phan Viet, N.; Kitano, Y.; Matsumoto, Y. Experimental Investigations of the Strengthening Effects of CFRP for Thin-Walled Storage Tanks under Dynamic Loads. Appl. Sci. 2020, 10, 2521. https://doi.org/10.3390/app10072521
Phan Viet N, Kitano Y, Matsumoto Y. Experimental Investigations of the Strengthening Effects of CFRP for Thin-Walled Storage Tanks under Dynamic Loads. Applied Sciences. 2020; 10(7):2521. https://doi.org/10.3390/app10072521
Chicago/Turabian StylePhan Viet, Nhut, Yukio Kitano, and Yukihiro Matsumoto. 2020. "Experimental Investigations of the Strengthening Effects of CFRP for Thin-Walled Storage Tanks under Dynamic Loads" Applied Sciences 10, no. 7: 2521. https://doi.org/10.3390/app10072521
APA StylePhan Viet, N., Kitano, Y., & Matsumoto, Y. (2020). Experimental Investigations of the Strengthening Effects of CFRP for Thin-Walled Storage Tanks under Dynamic Loads. Applied Sciences, 10(7), 2521. https://doi.org/10.3390/app10072521

