Terahertz Single-Pixel Imaging Improved by Using Silicon Wafer with SiO2 Passivation
Abstract
1. Introduction
2. Experimental Setup
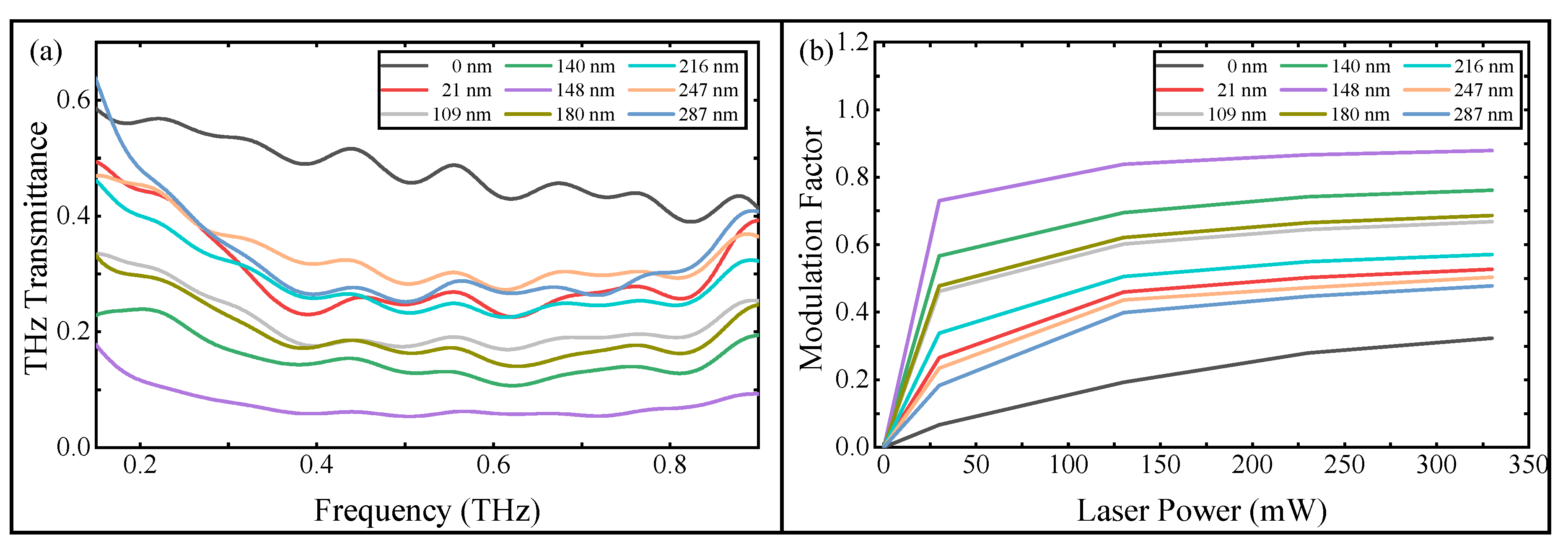
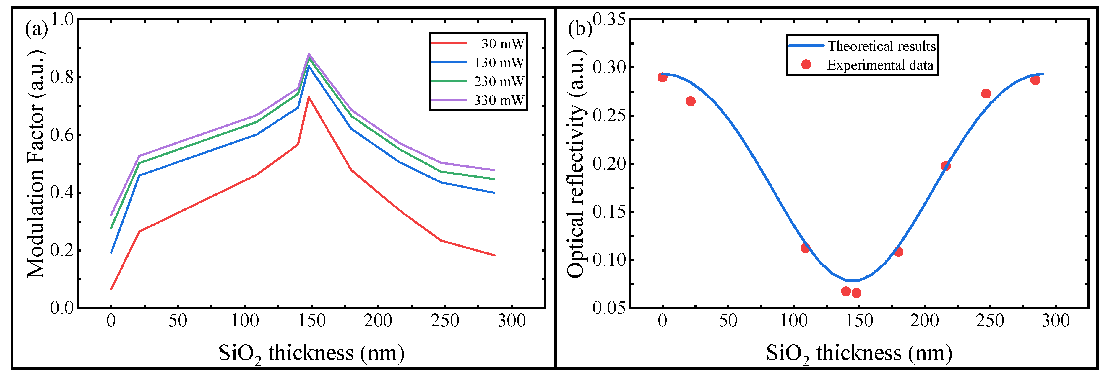
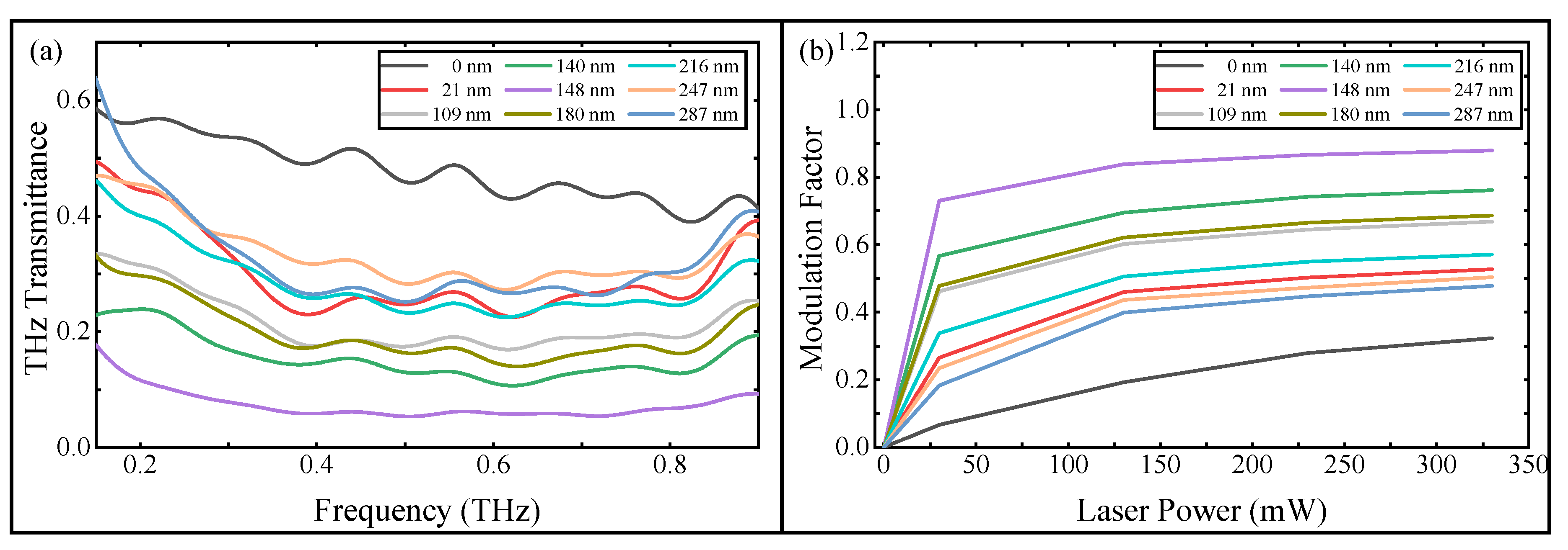
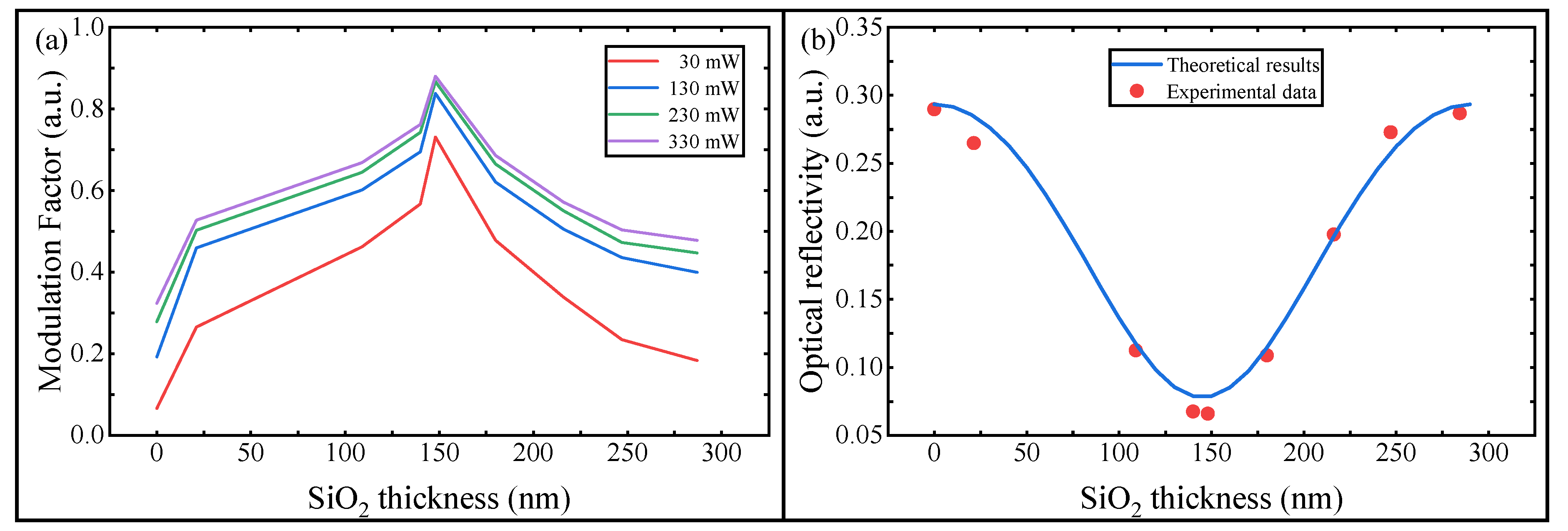
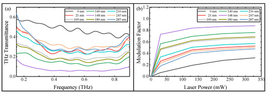
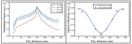
3. THz Photomodulation Experiments
4. THz Single-Pixel Imaging Experiments
5. Conclusions
Author Contributions
Funding
Conflicts of Interest
References
- Duling, I.; Zimdars, D. Terahertz imaging: Revealing hidden defects. Nat. Photonics 2009, 3, 630. [Google Scholar] [CrossRef]
- Jepsen, P.U.; Cooke, D.G.; Koch, M. Terahertz spectroscopy and imaging—Modern techniques and applications. Laser Photon. Rev. 2011, 5, 124. [Google Scholar] [CrossRef]
- Shen, Y.C.; Lo, T.; Taday, P.F.; Cole, B.E.; Tribe, W.R.; Kemp, M.C. Detection and identification of explosives using terahertz pulsed spectroscopic imaging. Appl. Phys. Lett. 2005, 86, 241116. [Google Scholar] [CrossRef]
- Skvortsov, L.A. Standoff Detection of Hidden Explosives and Cold and Fire Arms by Terahertz Time-Domain Spectroscopy and Active Spectral Imaging (Review). J. Appl. Spectrosc. 2014, 81, 725. [Google Scholar] [CrossRef]
- Zhong, H.; Redo-Sanchez, A.; Zhang, X.C. Identification and classification of chemicals using terahertz reflective spectroscopic focal-plane imaging system. Opt. Express 2006, 14, 9130. [Google Scholar] [CrossRef]
- Shen, Y.C. Terahertz pulsed spectroscopy and imaging for pharmaceutical applications: A review. Int. J. Pharm. 2011, 417, 48. [Google Scholar] [CrossRef]
- Chan, W.L.; Moravec, M.L.; Baraniuk, R.G.; Mittleman, D.M. Terahertz imaging with compressed sensing and phase retrieval. Opt. Lett. 2008, 33, 974. [Google Scholar] [CrossRef]
- Watts, C.M.; Shrekenhamer, D.; Montoya, J.; Lipworth, G.; Hunt, J.; Sleasman, T.; Krishna, S.; Smith, D.R.; Padilla, W.J. Terahertz compressive imaging with metamaterial spatial light modulators. Nat. Photonics 2014, 8, 605. [Google Scholar] [CrossRef]
- Sensale-Rodriguez, B.; Rafique, S.; Yan, R.; Zhu, M.; Protasenko, V.; Jena, D.; Liu, L.; Xing, H.G. Terahertz imaging employing graphene modulator arrays. Opt. Express 2013, 21, 2324. [Google Scholar] [CrossRef]
- Kannegulla, A.; Jiang, Z.; Rahman, S.M.; Shams, M.I.B.; Fay, P.; Xing, H.G.; Cheng, L.J.; Liu, L. Coded-Aperture Imaging Using Photo-Induced Reconfigurable Aperture Arrays for Mapping Terahertz Beams. IEEE Trans. Terahertz Sci. Technol. 2014, 4, 321. [Google Scholar] [CrossRef]
- Shams, M.I.B.; Jiang, Z.; Rahman, S.; Qayyum, J.; Cheng, L.J.; Xing, H.G.; Fay, P.; Liu, L. Approaching real-time terahertz imaging with photo-induced coded apertures and compressed sensing. Electron. Lett. 2014, 50, 801. [Google Scholar] [CrossRef]
- Stantchev, R.I.; Sun, B.; Hornett, S.M.; Hobson, P.A.; Gibson, G.M.; Padgett, M.J.; Hendry, E. Noninvasive, near-field terahertz imaging of hidden objects using a single-pixel detector. Sci. Adv. 2016, 2, e1600190. [Google Scholar] [CrossRef]
- Stantchev, R.I.; Phillips, D.B.; Hobson, P.; Hornett, S.M.; Padgett, M.J.; Hendry, E. Compressed sensing with near-field THz radiation. Optica 2017, 4, 989. [Google Scholar] [CrossRef]
- She, R.; Wenquan, L.; Lu, Y.; Zhou, Z.; Li, G. Fourier single-pixel imaging in the terahertz regime. Appl. Phys. Lett. 2019, 115, 021101. [Google Scholar] [CrossRef]
- Weis, P.; Garcia-Pomar, J.L.; Höh, M.; Reinhard, B.; Brodyanski, A.; Rahm, M. Spectrally Wide-Band Terahertz Wave Modulator Based on Optically Tuned Graphene. ACS Nano 2012, 6, 9118. [Google Scholar] [CrossRef]
- Cao, Y.; Gan, S.; Geng, Z.; Liu, J.; Yang, Y.; Bao, Q.; Chen, H. Optically tuned terahertz modulator based on annealed multilayer MoS2. Sci. Rep. 2016, 6, 22899. [Google Scholar] [CrossRef]
- Yang, D.S.; Jiang, T.; Cheng, X.A. Optically controlled terahertz modulator by liquid-exfoliated multilayer WS2 nanosheets. Opt. Express 2017, 25, 16364. [Google Scholar] [CrossRef]
- Hooper, I.R.; Grant, N.E.; Barr, L.E.; Hornett, S.M.; Murphy, J.D.; Hendry, E. High efficiency photomodulators for millimeter wave and THz radiation. Sci. Rep. 2019, 9, 18304. [Google Scholar] [CrossRef]
- Liu, W.Q.; Lu, Y.F.; Jiao, G.H.; Chen, X.F.; Li, J.Y.; Chen, S.H.; Dong, Y.M.; Lv, J.C. Terahertz optical properties of the cornea. Opt. Commun. 2016, 359, 344. [Google Scholar] [CrossRef]
- Zhao, J.; Wang, A.; Green, M.A. 24.5% Efficiency Silicon PERT Cells on MCZ Substrates and 24.7% Efficiency PERL Cells on FZ Substrates. Prog. Photovolt Res. Appl. 1999, 7, 471. [Google Scholar] [CrossRef]
- Chan, W.L.; Charan, K.; Takhar, D.; Kelly, K.F.; Baraniuk, R.G.; Mittleman, D.M. A single-pixel terahertz imaging system based on compressed sensing. Appl. Phys. Lett. 2008, 93, 121105. [Google Scholar] [CrossRef]
- Valova, I.; Kosugi, Y. Hadamard-based image decomposition and compression. IEEE Trans. Inf. Technol. Biomed. 2000, 4, 306. [Google Scholar] [CrossRef] [PubMed]
- Neu, J.; Schmuttenmaer, C.A. Tutorial: An introduction to terahertz time domain spectroscopy (THz-TDS). J. Appl. Phys. 2018, 124, 231101. [Google Scholar] [CrossRef]
- Wang, G.; Zhang, B.; Ji, H.; Liu, X.; He, T.; Lv, L.; Hou, Y.; Shen, J. Monolayer graphene based organic optical terahertz modulator. Appl. Phys. Lett. 2017, 110, 023301. [Google Scholar] [CrossRef]
- Shrekenhamer, D.; Watts, C.M.; Padilla, W.J. Terahertz single pixel imaging with an optically controlled dynamic spatial light modulator. Opt. Express 2013, 21, 012507. [Google Scholar] [CrossRef]
- Blakers, A.W.; Wang, A.; Milne, A.M.; Zhao, J.; Green, M.A. 22.8% efficient silicon solar cell. Appl. Phys. Lett. 1989, 55, 1363. [Google Scholar] [CrossRef]
- Chen, S.C.; Du, L.H.; Meng, K.; Li, J.; Zhai, Z.H.; Shi, Q.W.; Li, Z.R.; Zhu, L.G. Terahertz wave near-field compressive imaging with a spatial resolution of over λ/100. Opt. Lett. 2019, 44, 21. [Google Scholar] [CrossRef]
- Shchelokova, A.V.; Slobozhanyuk, A.P.; Melchakova, I.V.; Glybovski, S.B.; Webb, A.G.; Kivshar, Y.S.; Belov, P.A. Locally Enhanced Image Quality with Tunable Hybrid Metasurfaces. Phys. Rev. Appl. 2018, 9, 014020. [Google Scholar] [CrossRef]





| Sample | S1 | S2 | S3 | S4 | S5 | S6 | S7 | S8 | S9 |
| Thickness (nm) | 0 | 21 | 109 | 140 | 148 | 180 | 216 | 247 | 287 |
© 2020 by the authors. Licensee MDPI, Basel, Switzerland. This article is an open access article distributed under the terms and conditions of the Creative Commons Attribution (CC BY) license (http://creativecommons.org/licenses/by/4.0/).
Share and Cite
She, R.; Liu, W.; Wei, G.; Lu, Y.; Li, G. Terahertz Single-Pixel Imaging Improved by Using Silicon Wafer with SiO2 Passivation. Appl. Sci. 2020, 10, 2427. https://doi.org/10.3390/app10072427
She R, Liu W, Wei G, Lu Y, Li G. Terahertz Single-Pixel Imaging Improved by Using Silicon Wafer with SiO2 Passivation. Applied Sciences. 2020; 10(7):2427. https://doi.org/10.3390/app10072427
Chicago/Turabian StyleShe, Rongbin, Wenquan Liu, Guanglu Wei, Yuanfu Lu, and Guangyuan Li. 2020. "Terahertz Single-Pixel Imaging Improved by Using Silicon Wafer with SiO2 Passivation" Applied Sciences 10, no. 7: 2427. https://doi.org/10.3390/app10072427
APA StyleShe, R., Liu, W., Wei, G., Lu, Y., & Li, G. (2020). Terahertz Single-Pixel Imaging Improved by Using Silicon Wafer with SiO2 Passivation. Applied Sciences, 10(7), 2427. https://doi.org/10.3390/app10072427

