Magnetic Nanowires
Abstract
1. Introduction
2. Materials and Methods
3. Results
3.1. Magnetization Reversal Processes in Magnetic Nanowires
3.2. Tunable Magnetic Anisotropy of Magnetic Nanowire Arrays
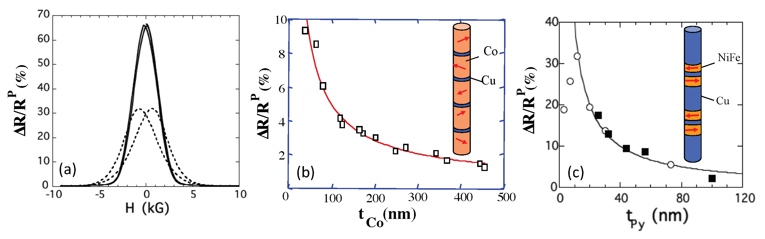
3.3. Spin Transport in Multilayered Nanowires
3.4. Interplay between the Magnetic and Magneto-Transport Properties in Interconnected Nanowire Networks
3.5. Spin Caloritronics in Nanowire Networks
4. Discussion
Funding
Acknowledgments
Conflicts of Interest
References
- Chou, S.Y.; Krauss, P.R.; Kong, L. Nanolithographically defined magnetic structures and quantum magnetic disk (invited). J. Appl. Phys. 1996, 79, 6101–6106. [Google Scholar] [CrossRef]
- Fernandez, A.; Bedrossian, P.J.; Baker, S.L.; Vernon, S.P.; Kania, D.R. Magnetic force microscopy of single-domain cobalt dots patterned using interference lithography. IEEE Trans. Magn. 1996, 32, 4472–4474. [Google Scholar] [CrossRef]
- Savas, T.A.; Farhoud, M.; Smith, H.I.; Hwang, M.; Ross, C.A. Properties of large-area nanomagnet arrays with 100 nm period made by interferometric lithography. J. Appl. Phys. 1999, 85, 6160–6162. [Google Scholar] [CrossRef]
- Whitney, T.M.; Searson, P.C.; Jiang, J.S.; Chien, C.L. Fabrication and Magnetic Properties of Arrays of Metallic Nanowires. Science 1993, 261, 1316. [Google Scholar] [CrossRef] [PubMed]
- Fert, A.; Piraux, L. Magnetic nanowires. J. Magn. Magn. Mater. 1999, 200, 338–358. [Google Scholar] [CrossRef]
- Sun, L.; Hao, Y.; Chien, C.; Searson, P.C. Tuning the properties of magnetic nanowires. IBM J. Res. Dev. 2005, 49, 79–102. [Google Scholar] [CrossRef]
- Pirota, K.R.; Knobel, A.; Hernandez-Velez, M.; Nielsch, K.; Vazquez, M. Magnetic nanowires: Fabrication and characterization. In Handbook of Nanoscience and Technology; Oxford University Press: Oxford, UK, 2010. [Google Scholar]
- Staňo, M.; Fruchart, O.; Brück, E. Chapter 3—Magnetic Nanowires and Nanotubes. In Handbook of Magnetic Materials; Elsevier: Amsterdam, The Netherlands, 2018; Volume 27, pp. 155–267. [Google Scholar] [CrossRef]
- Mohammed, H.; Moreno, J.A.; Kosel, J. Advanced Fabrication and Characterization of Magnetic Nanowires. In Magnetism and Magnetic Materials; IntechOpen: London, UK, 2018. [Google Scholar]
- Piraux, L.; George, J.M.; Despres, J.F.; Leroy, C.; Ferain, E.; Legras, R.; Ounadjela, K.; Fert, A. Giant magnetoresistance in magnetic multilayered nanowires. Appl. Phys. Lett. 1994, 65, 2484–2486. [Google Scholar] [CrossRef]
- Dubois, S.; Marchal, C.; Beuken, J.M.; Piraux, L.; Duvail, J.L.; Fert, A.; George, J.M.; Maurice, J.L. Perpendicular giant magnetoresistance of NiFe/Cu multilayered nanowires. Appl. Phys. Lett. 1997, 70, 396–398. [Google Scholar] [CrossRef]
- Maurice, J.L.; Imhoff, D.; Etienne, P.; Durand, O.; Dubois, S.; Piraux, L.; George, J.M.; Galtier, P.; Fert, A. Microstructure of magnetic metallic superlattices grown by electrodeposition in membrane nanopores. J. Magn. Magn. Mater. 1998, 184, 1–18. [Google Scholar] [CrossRef]
- Dubois, S.; Piraux, L.; George, J.M.; Ounadjela, K.; Duvail, J.L.; Fert, A. Evidence for a short spin diffusion length in permalloy from the giant magnetoresistance of multilayered nanowires. Phys. Rev. B 1999, 60. [Google Scholar] [CrossRef]
- Ferré, R.; Ounadjela, K.; George, J.M.; Piraux, L.; Dubois, S. Magnetization processes in nickel and cobalt electrodeposited nanowires. Phys. Rev. B 1997, 56, 14066–14075. [Google Scholar] [CrossRef]
- Belliard, L.; Miltat, J.; Thiaville, A.; Dubois, S.; Duvail, J.L.; Piraux, L. Observing magnetic nanowires by means of magnetic force microscopy. J. Magn. Magn. Mater. 1998, 190, 1–16. [Google Scholar] [CrossRef]
- Dubois, S.; Colin, J.; Duvail, J.L.; Piraux, L. Evidence for strong magnetoelastic effects in Ni nanowires embedded in polycarbonate membranes. Phys. Rev. B 2000, 61, 14315–14318. [Google Scholar] [CrossRef]
- Pignard, S.; Goglio, G.; Radulescu, A.; Piraux, L.; Dubois, S.; Declémy, A.; Duvail, J.L. Study of the magnetization reversal in individual nickel nanowires. J. Appl. Phys. 1999, 87, 824–829. [Google Scholar] [CrossRef]
- Ebels, U.; Radulescu, A.; Henry, Y.; Piraux, L.; Ounadjela, K. Spin Accumulation and Domain Wall Magnetoresistance in 35 nm Co Wires. Phys. Rev. Lett. 2000, 84, 983–986. [Google Scholar] [CrossRef] [PubMed]
- Encinas-Oropesa, A.; Demand, M.; Piraux, L.; Huynen, I.; Ebels, U. Dipolar interactions in arrays of nickel nanowires studied by ferromagnetic resonance. Phys. Rev. B 2001, 63, 104415. [Google Scholar] [CrossRef]
- Henry, Y.; Ounadjela, K.; Piraux, L.; Dubois, S.; George, J.M.; Duvail, J.L. Magnetic anisotropy and domain patterns in electrodeposited cobalt nanowires. Eur. Phys. J. Condens. Matter Complex Syst. 2001, 20, 35–54. [Google Scholar] [CrossRef]
- Vila, L.; Piraux, L.; George, J.M.; Faini, G. Multiprobe magnetoresistance measurements on isolated magnetic nanowires. Appl. Phys. Lett. 2002, 80, 3805–3807. [Google Scholar] [CrossRef]
- Elhoussine, F.; Mátéfi-Tempfli, S.; Encinas, A.; Piraux, L. Conductance quantization in magnetic nanowires electrodeposited in nanopores. Appl. Phys. Lett. 2002, 81, 1681–1683. [Google Scholar] [CrossRef]
- Encinas, A.; Demand, M.; Vila, L.; Piraux, L.; Huynen, I. Tunable remanent state resonance frequency in arrays of magnetic nanowires. Appl. Phys. Lett. 2002, 81, 2032–2034. [Google Scholar] [CrossRef]
- Darques, M.; Encinas, A.; Vila, L.; Piraux, L. Tailoring of thec-axis orientation and magnetic anisotropy in electrodeposited Co nanowires. J. Phys. Condens. Matter 2004, 16, S2279–S2286. [Google Scholar] [CrossRef]
- García-Martín, J.M.; Thiaville, A.; Miltat, J.; Okuno, T.; Vila, L.; Piraux, L. Imaging magnetic vortices by magnetic force microscopy: Experiments and modelling. J. Phys. Appl. Phys. 2004, 37, 965–972. [Google Scholar] [CrossRef][Green Version]
- Vila, L.; Vincent, P.; Dauginet-De Pra, L.; Pirio, G.; Minoux, E.; Gangloff, L.; Demoustier-Champagne, S.; Sarazin, N.; Ferain, E.; Legras, R.; et al. Growth and Field-Emission Properties of Vertically Aligned Cobalt Nanowire Arrays. Nano Lett. 2004, 4, 521–524. [Google Scholar] [CrossRef]
- Elhoussine, F.; Vila, L.; Piraux, L.; Faini, G. Multiprobe perpendicular giant magnetoresistance measurements on isolated multilayered nanowires. J. Magn. Magn. Mater. 2005, 290–291, 116–119. [Google Scholar] [CrossRef]
- Mallet, J.; Yu-Zhang, K.; Mátéfi-Tempfli, S.; Mátéfi-Tempfli, M.; Piraux, L. Electrodeposited L10CoxPt1-xnanowires. J. Phys. Appl. Phys. 2005, 38, 909–914. [Google Scholar] [CrossRef]
- Darques, M.; Piraux, L.; Encinas, A.; Bayle-Guillemaud, P.; Popa, A.; Ebels, U. Electrochemical control and selection of the structural and magnetic properties of cobalt nanowires. Appl. Phys. Lett. 2005, 86, 072508. [Google Scholar] [CrossRef]
- Piraux, L.; Renard, K.; Guillemet, R.; Mátéfi-Tempfli, S.; Mátéfi-Tempfli, M.; Antohe, V.A.; Fusil, S.; Bouzehouane, K.; Cros, V. Template-Grown NiFe/Cu/NiFe Nanowires for Spin Transfer Devices. Nano Lett. 2007, 7, 2563–2567. [Google Scholar] [CrossRef]
- Torre Medina, J.D.L.; Darques, M.; Piraux, L. Strong low temperature magnetoelastic effects in template grown Ni nanowires. J. Phys. Appl. Phys. 2008, 41, 032008. [Google Scholar] [CrossRef]
- De La Torre Medina, J.; Darques, M.; Blon, T.; Piraux, L.; Encinas, A. Effects of layering on the magnetostatic interactions in microstructures of CoxCu1-x/Cu nanowires. Phys. Rev. B 2008, 77, 014417. [Google Scholar] [CrossRef]
- Vila, L.; Darques, M.; Encinas, A.; Ebels, U.; George, J.M.; Faini, G.; Thiaville, A.; Piraux, L. Magnetic vortices in nanowires with transverse easy axis. Phys. Rev. B 2009, 79, 172410. [Google Scholar] [CrossRef]
- De La Torre Medina, J.; Piraux, L.; Olais Govea, J.M.; Encinas, A. Double ferromagnetic resonance and configuration-dependent dipolar coupling in unsaturated arrays of bistable magnetic nanowires. Phys. Rev. B 2010, 81, 144411. [Google Scholar] [CrossRef]
- De La Torre Medina, J.; Piraux, L.; Encinas, A. Tunable zero field ferromagnetic resonance in arrays of bistable magnetic nanowires. Appl. Phys. Lett. 2010, 96, 042504. [Google Scholar] [CrossRef]
- Darques, M.; Dussaux, A.; Khvalkovskiy, A.V.; De la Torre Medina, J.; Abreu Araujo, F.; Guillemet, R.; Bouzehouane, K.; Fusil, S.; Grollier, J.; Avanesyan, G.G.; et al. Bottom-up approach for the fabrication of spin torque nano-oscillators. J. Phys. Appl. Phys. 2011, 44, 105003. [Google Scholar] [CrossRef]
- Abreu Araujo, F.; Darques, M.; Zvezdin, K.A.; Khvalkovskiy, A.V.; Locatelli, N.; Bouzehouane, K.; Cros, V.; Piraux, L. Microwave signal emission in spin-torque vortex oscillators in metallic nanowires: Experimental measurements and micromagnetic numerical study. Phys. Rev. B 2012, 86, 064424. [Google Scholar] [CrossRef]
- Dmytriiev, O.; Al-Jarah, U.A.S.; Gangmei, P.; Kruglyak, V.V.; Hicken, R.J.; Mahato, B.K.; Rana, B.; Agrawal, M.; Barman, A.; Mátéfi-Tempfli, M.; et al. Static and dynamic magnetic properties of densely packed magnetic nanowire arrays. Phys. Rev. B 2013, 87, 174429. [Google Scholar] [CrossRef]
- Tabasum, M.R.; Zighem, F.; De La Torre Medina, J.; Encinas, A.; Piraux, L.; Nysten, B. Magnetic force microscopy study of the switching field distribution of low density arrays of single domain magnetic nanowires. J. Appl. Phys. 2013, 113, 183908. [Google Scholar] [CrossRef]
- Piraux, L.; Hamoir, G.; Encinas, A.; De La Torre Medina, J.; Abreu Araujo, F. Influence of the packing fraction and host matrix on the magnetoelastic anisotropy in Ni nanowire composite arrays. J. Appl. Phys. 2013, 114, 123907. [Google Scholar] [CrossRef]
- Abreu Araujo, F.; Piraux, L.; Antohe, V.A.; Cros, V.; Gence, L. Single spin-torque vortex oscillator using combined bottom-up approach and e-beam lithography. Appl. Phys. Lett. 2013, 102, 222402. [Google Scholar] [CrossRef]
- Velázquez-Galván, Y.; Martínez-Huerta, J.M.; Medina, J.D.L.T.; Danlée, Y.; Piraux, L.; Encinas, A. Dipolar interaction in arrays of magnetic nanotubes. J. Phys. Condens. Matter 2014, 26, 026001. [Google Scholar] [CrossRef]
- Tabasum, M.R.; Zighem, F.; Medina, J.D.L.T.; Encinas, A.; Piraux, L.; Nysten, B. Magnetic force microscopy investigation of arrays of nickel nanowires and nanotubes. Nanotechnology 2014, 25, 245707. [Google Scholar] [CrossRef][Green Version]
- Antohe, V.A.; Nysten, E.; Martinez-Huerta, J.M.; Pereira de Sa, P.M.; Piraux, L. Annealing effects on the magnetic properties of highly-packed vertically-aligned nickel nanotubes. RSC Adv. 2017, 7, 18609–18616. [Google Scholar] [CrossRef]
- Abreu Araujo, F.; Piraux, L. Spin-Transfer-Torque Driven Vortex Dynamics in Electrodeposited Nanowire Spin-Valves. SPIN 2017, 07, 1740007. [Google Scholar] [CrossRef]
- Saib, A.; Vanhoenacker-Janvier, D.; Huynen, I.; Encinas, A.; Piraux, L.; Ferain, E.; Legras, R. Magnetic photonic band-gap material at microwave frequencies based on ferromagnetic nanowires. Appl. Phys. Lett. 2003, 83, 2378–2380. [Google Scholar] [CrossRef]
- Saib, A.; Darques, M.; Piraux, L.; Vanhoenacker-Janvier, D.; Huynen, I. Unbiased microwave circulator based on ferromagnetic nanowires arrays of tunable magnetization state. J. Phys. Appl. Phys. 2005, 38, 2759–2763. [Google Scholar] [CrossRef]
- De La Torre Medina, J.; Spiegel, J.; Darques, M.; Piraux, L.; Huynen, I. Differential phase shift in nonreciprocal microstrip lines on magnetic nanowired substrates. Appl. Phys. Lett. 2010, 96, 072508. [Google Scholar] [CrossRef]
- Darques, M.; De la Torre Medina, J.; Piraux, L.; Cagnon, L.; Huynen, I. Microwave circulator based on ferromagnetic nanowires in an alumina template. Nanotechnology 2010, 21, 145208. [Google Scholar] [CrossRef]
- Carreón-González, C.E.; De La Torre Medina, J.; Piraux, L.; Encinas, A. Electrodeposition Growth of Nanowire Arrays with Height Gradient Profiles for Microwave Device Applications. Nano Lett. 2011, 11, 2023–2027. [Google Scholar] [CrossRef]
- Hamoir, G.; Piraux, L.; Huynen, I. Control of Microwave Circulation Using Unbiased Ferromagnetic Nanowires Arrays. IEEE Trans. Magn. 2013, 49, 4261–4264. [Google Scholar] [CrossRef]
- Van Kerckhoven, V.; Piraux, L.; Huynen, I. Substrate integrated waveguide isolator based on ferromagnetic nanowires in porous alumina template. Appl. Phys. Lett. 2014, 105, 183107. [Google Scholar] [CrossRef]
- Kerckhoven, V.V.; Piraux, L.; Huynen, I. A laser-assisted process to produce patterned growth of vertically aligned nanowire arrays for monolithic microwave integrated devices. Nanotechnology 2016, 27, 235301. [Google Scholar] [CrossRef]
- Van Kerckhoven, V.; Piraux, L.; Huynen, I. Fabrication of Microwave Devices Based on Magnetic Nanowires Using a Laser-Assisted Process. Micromachines 2019, 10, 475. [Google Scholar] [CrossRef] [PubMed]
- Piraux, L.; Hamoir, G.; Lee, M.W.; Ferain, E.; Jonas, A.M.; Huynen, I.; Medina, J.D.L.T. Template Approach for Novel Magnetic–Ferroelectric Nanocomposites. Appl. Phys. Express 2011, 4, 115001. [Google Scholar] [CrossRef]
- Sallagoity, D.; Elissalde, C.; Majimel, J.; Maglione, M.; Antohe, V.A.; Abreu Araujo, F.; Pereira de Sá, P.M.; Basov, S.; Piraux, L. Synthesis of dense arrays of multiferroic CoFe2O4–PbZr0.52Ti0.48O3 core/shell nanocables. RSC Adv. 2016, 6, 106716–106722. [Google Scholar] [CrossRef]
- Basov, S.; Elissalde, C.; Simon, Q.; Maglione, M.; Castro-Chavarria, C.; de Beauvoir, T.H.; Payan, S.; Temst, K.; Lazenka, V.; Andrei Antohe, V.; et al. Simple synthesis and characterization of vertically aligned Ba0.7Sr0.3TiO3–CoFe2O4multiferroic nanocomposites from CoFe2nanopillar arrays. Nanotechnology 2017, 28, 475707. [Google Scholar] [CrossRef]
- Cai, R.; Antohe, V.A.; Hu, Z.; Nysten, B.; Piraux, L.; Jonas, A.M. Multiferroic Nanopatterned Hybrid Material with Room-Temperature Magnetic Switching of the Electric Polarization. Adv. Mater. 2017, 29, 1604604. [Google Scholar] [CrossRef]
- Poddar, S.; de Sa, P.; Cai, R.; Delannay, L.; Nysten, B.; Piraux, L.; Jonas, A.M. Room-Temperature Magnetic Switching of the Electric Polarization in Ferroelectric Nanopillars. ACS Nano 2018, 12, 576–584. [Google Scholar] [CrossRef]
- Araujo, E.; Encinas, A.; Velazquez-Galvan, Y.; Martinez-Huerta, J.M.; Hamoir, G.; Ferain, E.; Piraux, L. Artificially modified magnetic anisotropy in interconnected nanowire networks. Nanoscale 2015, 7, 1485–1490. [Google Scholar] [CrossRef]
- Da Câmara Santa Clara Gomes, T.; De La Torre Medina, J.; Velázquez-Galván, Y.G.; Martínez-Huerta, J.M.; Encinas, A.; Piraux, L. Interplay between the magnetic and magneto-transport properties of 3D interconnected nanowire networks. J. Appl. Phys. 2016, 120, 043904. [Google Scholar] [CrossRef]
- Da Câmara Santa Clara Gomes, T.; De La Torre Medina, J.; Lemaitre, M.; Piraux, L. Magnetic and Magnetoresistive Properties of 3D Interconnected NiCo Nanowire Networks. Nanoscale Res. Lett. 2016, 11, 466. [Google Scholar] [CrossRef]
- De la Torre Medina, J.; da Câmara Santa Clara Gomes, T.; Velázquez Galván, Y.G.; Piraux, L. Large-scale 3-D interconnected Ni nanotube networks with controlled structural and magnetic properties. Sci. Rep. 2018, 8, 14555. [Google Scholar] [CrossRef]
- Da Câmara Santa Clara Gomes, T.; Abreu Araujo, F.; Piraux, L. Making flexible spin caloritronic devices with interconnected nanowire networks. Sci. Adv. 2019, 5, eaav2782. [Google Scholar] [CrossRef] [PubMed]
- Abreu Araujo, F.; da Câmara Santa Clara Gomes, T.; Piraux, L. Magnetic Control of Flexible Thermoelectric Devices Based on Macroscopic 3D Interconnected Nanowire Networks. Adv. Electron. Mater. 2019, 5, 1800819. [Google Scholar] [CrossRef]
- Da Câmara Santa Clara Gomes, T.; Marchal, N.; Abreu Araujo, F.; Piraux, L. Tunable magnetoresistance and thermopower in interconnected NiCr and CoCr nanowire networks. Appl. Phys. Lett. 2019, 115, 242402. [Google Scholar] [CrossRef]
- Marchal, N.; da Câmara Santa Clara Gomes, T.; Abreu Araujo, F.; Piraux, L. Large spin-dependent thermoelectric effects in NiFe-based interconnected nanowire networks. Mater. Res. Lett. 2020. submitted for publication. [Google Scholar]
- Ferain, E.; Legras, R. Track-etch templates designed for micro- and nanofabrication. Nucl. Instruments Methods Phys. Res. Sect. B Beam Interact. Mater. Atoms 2003, 208, 115–122. [Google Scholar] [CrossRef]
- Furneaux, R.C.; Rigby, W.R.; Davidson, A.P. The formation of controlled-porosity membranes from anodically oxidized aluminium. Nature 1989, 337, 147–149. [Google Scholar] [CrossRef]
- Masuda, H.; Fukuda, K. Ordered Metal Nanohole Arrays Made by a Two-Step Replication of Honeycomb Structures of Anodic Alumina. Science 1995, 268, 1466. [Google Scholar] [CrossRef]
- Wang, C.P.; Liu, X.J.; Jiang, M.; Ohnuma, I.; Kainuma, R.; Ishida, K. Thermodynamic database of the phase diagrams in copper base alloy systems. J. Phys. Chem. Solids 2005, 66, 256–260. [Google Scholar] [CrossRef]
- Liu, Z.; Xia, G.; Zhu, F.; Kim, S.; Markovic, N.; Chien, C.L.; Searson, P.C. Exploiting finite size effects in a novel core/shell microstructure. J. Appl. Phys. 2008, 103, 064313. [Google Scholar] [CrossRef]
- Wegrowe, J.E.; Kelly, D.; Franck, A.; Gilbert, S.E.; Ansermet, J.P. Magnetoresistance of Ferromagnetic Nanowires. Phys. Rev. Lett. 1999, 82. [Google Scholar] [CrossRef]
- Rauber, M.; Alber, I.; Müller, S.; Neumann, R.; Picht, O.; Roth, C.; Schökel, A.; Toimil-Molares, M.E.; Ensinger, W. Highly-Ordered Supportless Three-Dimensional Nanowire Networks with Tunable Complexity and Interwire Connectivity for Device Integration. Nano Lett. 2011, 11, 2304–2310. [Google Scholar] [CrossRef] [PubMed]
- Chen, T.; Cavallotti, P. Electroplated cobalt film for perpendicular magnetic recording medium. Appl. Phys. Lett. 1982, 41, 205–207. [Google Scholar] [CrossRef]
- Cohen-Hyams, T.; Kaplan, W.D.; Yahalom, J. Structure of electrodeposited cobalt. Electrochem. Solid-State Lett. 2002, 5, C75–C78. [Google Scholar] [CrossRef]
- Blondel, A.; Meier, J.P.; Doudin, B.; Ansermet, J. Giant magnetoresistance of nanowires of multilayers. Appl. Phys. Lett. 1994, 65, 3019–3021. [Google Scholar] [CrossRef]
- Liu, K.; Nagodawithana, K.; Searson, P.C.; Chien, C.L. Perpendicular giant magnetoresistance of multilayered Co/Cu nanowires. Phys. Rev. B 1995, 51, 7381–7384. [Google Scholar] [CrossRef] [PubMed]
- Piraux, L.; Dubois, S.; Fert, A.; Belliard, L. The temperature dependence of the perpendicular giant magnetoresistance in Co/Cu multilayered nanowires. Eur. Phys. J. B Condens. Matter Complex Syst. 1998, 4, 413–420. [Google Scholar] [CrossRef]
- Doudin, B.; Blondel, A.; Ansermet, J.P. Arrays of multilayered nanowires (invited). J. Appl. Phys. 1996, 79, 6090–6094. [Google Scholar] [CrossRef]
- Voegeli, B.; Blondel, A.; Doudin, B.; Ansermet, J.P. Electron transport in multilayered Co/Cu nanowires. J. Magn. Magn. Mater. 1995, 151, 388–395. [Google Scholar] [CrossRef]
- Schwarzacher, W.; Attenborough, K.; Michel, A.; Nabiyouni, G.; Meier, J.P. Electrodeposited nanostructures. J. Magn. Magn. Mater. 1997, 165, 23–29. [Google Scholar] [CrossRef]
- Shakya, P.; Cox, B.; Davis, D. Giant Magnetoresistance and Coercivity of electrodeposited multilayered FeCoNi/Cu and CrFeCoNi/Cu. J. Magn. Magn. Mater. 2012, 324, 453–459. [Google Scholar] [CrossRef]
- Valet, T.; Fert, A. Theory of the perpendicular magnetoresistance in magnetic multilayers. Phys. Rev. B 1993, 48, 7099–7113. [Google Scholar] [CrossRef] [PubMed]
- Fert, A.; Valet, T.; Barnas, J. Perpendicular magnetoresistance in magnetic multilayers: Theoretical model and discussion (invited). J. Appl. Phys. 1994, 75, 6693–6698. [Google Scholar] [CrossRef]
- Bass, J.; Pratt, W. Current-perpendicular (CPP) magnetoresistance in magnetic metallic multilayers. J. Magn. Magn. Mater. 1999, 200, 274–289. [Google Scholar] [CrossRef]
- De la Torre Medina, J.; Hamoir, G.; Velázquez-Galván, Y.; Pouget, S.; Okuno, H.; Vila, L.; Encinas, A.; Piraux, L. Large magnetic anisotropy enhancement in size controlled Ni nanowires electrodeposited into nanoporous alumina templates. Nanotechnology 2016, 27, 145702. [Google Scholar] [CrossRef] [PubMed]
- Tóth, B.G.; Péter, L.; Révész, Á.; Pádár, J.; Bakonyi, I. Temperature dependence of the electrical resistivity and the anisotropic magnetoresistance (AMR) of electrodeposited Ni-Co alloys. Eur. Phys. J. B 2010, 75, 167–177. [Google Scholar] [CrossRef]
- Myung, N.V.; Nobe, K. Electrodeposited Iron Group Thin-Film Alloys: Structure-Property Relationships. J. Electrochem. Soc. 2001, 148, C136–C144. [Google Scholar] [CrossRef]
- McGuire, T.; Potter, R. Anisotropic magnetoresistance in ferromagnetic 3d alloys. IEEE Trans. Magn. 1975, 11, 1018–1038. [Google Scholar] [CrossRef]
- He, J.; Tritt, T.M. Advances in thermoelectric materials research: Looking back and moving forward. Science 2017, 357. [Google Scholar] [CrossRef]
- Bauer, G.E.W.; Saitoh, E.; van Wees, B.J. Spin caloritronics. Nat. Mater. 2012, 11, 391–399. [Google Scholar] [CrossRef]
- Boona, S.R.; Myers, R.C.; Heremans, J.P. Spin caloritronics. Energy Environ. Sci. 2014, 7, 885–910. [Google Scholar] [CrossRef]
- Uchida, K.; Xiao, J.; Adachi, H.; Ohe, J.; Takahashi, S.; Ieda, J.; Ota, T.; Kajiwara, Y.; Umezawa, H.; Kawai, H.; et al. Spin Seebeck insulator. Nat. Mater. 2010, 9, 894–897. [Google Scholar] [CrossRef] [PubMed]
- Jaworski, C.M.; Yang, J.; Mack, S.; Awschalom, D.D.; Heremans, J.P.; Myers, R.C. Observation of the spin-Seebeck effect in a ferromagnetic semiconductor. Nat. Mater. 2010, 9, 898–903. [Google Scholar] [CrossRef] [PubMed]
- Slachter, A.; Bakker, F.L.; Adam, J.P.; van Wees, B.J. Thermally driven spin injection from a ferromagnet into a non-magnetic metal. Nat. Phys. 2010, 6, 879–882. [Google Scholar] [CrossRef]
- Hatami, M.; Bauer, G.E.W.; Zhang, Q.; Kelly, P.J. Thermal Spin-Transfer Torque in Magnetoelectronic Devices. Phys. Rev. Lett. 2007, 99, 066603. [Google Scholar] [CrossRef] [PubMed]
- Pushp, A.; Phung, T.; Rettner, C.; Hughes, B.P.; Yang, S.H.; Parkin, S.S.P. Giant thermal spin-torque–assisted magnetic tunnel junction switching. Proc. Natl. Acad. Sci. USA 2015, 112, 6585–6590. [Google Scholar] [CrossRef] [PubMed]
- Blatt, F.J.; Schroeder, P.A.; Foiles, C.L.; Greig, D. Thermoelectric Power of Metals; Springer: Boston, MA, USA, 1976. [Google Scholar]
- Watzman, S.J.; Duine, R.A.; Tserkovnyak, Y.; Boona, S.R.; Jin, H.; Prakash, A.; Zheng, Y.; Heremans, J.P. Magnon-drag thermopower and Nernst coefficient in Fe, Co, and Ni. Phys. Rev. B 2016, 94, 144407. [Google Scholar] [CrossRef]
- Vandaele, K.; Watzman, S.J.; Flebus, B.; Prakash, A.; Zheng, Y.; Boona, S.R.; Heremans, J.P. Thermal spin transport and energy conversion. Mater. Today Phys. 2017, 1, 39–49. [Google Scholar] [CrossRef]
- MacDonald, D.K.C. THermoelectricity: An Introduction to the Principles; Wiley: Hoboken, NJ, USA, 1962. [Google Scholar]
- Yamashita, O.; Tomiyoshi, S.; Makita, K. Bismuth telluride compounds with high thermoelectric figures of merit. J. Appl. Phys. 2002, 93, 368–374. [Google Scholar] [CrossRef]
- Bubnova, O.; Khan, Z.U.; Malti, A.; Braun, S.; Fahlman, M.; Berggren, M.; Crispin, X. Optimization of the thermoelectric figure of merit in the conducting polymer poly(3,4-ethylenedioxythiophene). Nat. Mater. 2011, 10, 429–433. [Google Scholar] [CrossRef]
- Lee, S.F.; Pratt, W.P.; Loloee, R.; Schroeder, P.A.; Bass, J. “Field-dependent interface resistance” of Ag/Co multilayers. Phys. Rev. B 1992, 46, 548–551. [Google Scholar] [CrossRef]
- Bass, J. CPP magnetoresistance of magnetic multilayers: A critical review. J. Magn. Magn. Mater. 2016, 408, 244–320. [Google Scholar] [CrossRef]
- Farrell, T.; Greig, D. The thermoelectric power of nickel and its alloys. J. Phys. Solid State Phys. 1970, 3, 138. [Google Scholar] [CrossRef]
- Cadeville, M.C.; Roussel, J. Thermoelectric power and electronic structure of dilute alloys of nickel and cobalt with d transition elements. J. Phys. F Met. Phys. 1971, 1, 686. [Google Scholar] [CrossRef]
- Shi, J.; Parkin, S.S.P.; Xing, L.; Salamon, M.B. Giant magnetoresistance and magnetothermopower in Co/Cu multilayers. J. Magn. Magn. Mater. 1993, 125, L251–L256. [Google Scholar] [CrossRef]
- Dejene, F.K.; Flipse, J.; van Wees, B.J. Spin-dependent Seebeck coefficients of Ni80Fe20 and Co in nanopillar spin valves. Phys. Rev. B 2012, 86, 024436. [Google Scholar] [CrossRef]
- Campbell, I.A.; Fert, A.; Jaoul, O. The spontaneous resistivity anisotropy in Ni-based alloys. J. Phys. Solid State Phys. 1970, 3, S95. [Google Scholar] [CrossRef]
- Jaoul, O.; Campbell, I.; Fert, A. Spontaneous resistivity anisotropy in Ni alloys. J. Magn. Magn. Mater. 1977, 5, 23–34. [Google Scholar] [CrossRef]
- Campbell, I.; Fert, A. Transport properties of ferromagnets. Handb. Ferromagn. Mater. 1982, 3, 747–804. [Google Scholar] [CrossRef]
- Hultgren, A.; Tanase, M.; Chen, C.S.; Meyer, G.J.; Reich, D.H. Cell manipulation using magnetic nanowires. J. Appl. Phys. 2003, 93, 7554–7556. [Google Scholar] [CrossRef]
- Choi, D.; Fung, A.; Moon, H.; Ho, D.; Chen, Y.; Kan, E.; Rheem, Y.; Yoo, B.; Myung, N. Transport of living cells with magnetically assembled nanowires. Biomed. Microdevices 2007, 9, 143–148. [Google Scholar] [CrossRef]
- Choi, D.S.; Park, J.; Kim, S.; Gracias, D.H.; Cho, M.K.; Kim, Y.K.; Fung, A.; Lee, S.E.; Chen, Y.; Khanal, S.; et al. Hyperthermia with Magnetic Nanowires for Inactivating Living Cells. J. Nanosci. Nanotechnol. 2008, 8, 2323–2327. [Google Scholar] [CrossRef] [PubMed]
- Gao, N.; Wang, H.; Yang, E.H. An experimental study on ferromagnetic nickel nanowires functionalized with antibodies for cell separation. Nanotechnology 2010, 21, 105107. [Google Scholar] [CrossRef] [PubMed]
- Zhang, L.; Petit, T.; Peyer, K.E.; Nelson, B.J. Targeted cargo delivery using a rotating nickel nanowire. Nanomed. Nanotechnol. Biol. Med. 2012, 8, 1074–1080. [Google Scholar] [CrossRef] [PubMed]
- Martínez-Banderas, A.I.; Aires, A.; Teran, F.J.; Perez, J.E.; Cadenas, J.F.; Alsharif, N.; Ravasi, T.; Cortajarena, A.L.; Kosel, J. Functionalized magnetic nanowires for chemical and magneto-mechanical induction of cancer cell death. Sci. Rep. 2016, 6, 35786. [Google Scholar] [CrossRef]

















© 2020 by the author. Licensee MDPI, Basel, Switzerland. This article is an open access article distributed under the terms and conditions of the Creative Commons Attribution (CC BY) license (http://creativecommons.org/licenses/by/4.0/).
Share and Cite
Piraux, L. Magnetic Nanowires. Appl. Sci. 2020, 10, 1832. https://doi.org/10.3390/app10051832
Piraux L. Magnetic Nanowires. Applied Sciences. 2020; 10(5):1832. https://doi.org/10.3390/app10051832
Chicago/Turabian StylePiraux, Luc. 2020. "Magnetic Nanowires" Applied Sciences 10, no. 5: 1832. https://doi.org/10.3390/app10051832
APA StylePiraux, L. (2020). Magnetic Nanowires. Applied Sciences, 10(5), 1832. https://doi.org/10.3390/app10051832

