Graphs Regularized Robust Matrix Factorization and Its Application on Student Grade Prediction
Abstract
1. Introduction
- We propose a new model of matrix factorization, dubbed Graph regularized Robust Matrix Factorization (GRMF), by considering both the robustness to data pollution and the side information from background descriptions.
- We design a workflow by applying GRMF on the problem of SGP, shown in Figure 1, where the real-world data set is collected from our university.
2. Ralated Works
2.1. Student Grade Prediction (SGP)
2.2. Matrix Factorization
3. Double Graph Regularized Robust Matrix Factorization
3.1. Motivation
3.2. Side Information Graph
3.3. The Objective Problem of GRMF
4. GRMF Algorithm
| Algorithm 1: Graph regularized Robust Matrix Factorization (GRMF) by Majorization Minimization |
| Input: , and |
| Output: and |
| Method: |
| Initialize and with using SVD on M; |
| . |
| While not converged when we arrived , do |
| Let t = 1; |
| While not converged, do |
| Update and via LADMPSAP; |
| t = t + 1; |
| End while |
| ; |
| Update and in parallel: |
| Check the convergence coditions, if |
| and |
| End while. |
5. Experimental Results
5.1. Evaluation Metric
5.2. Test on a Toy Data from Movie Dataset
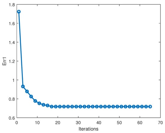
5.2.1. Rating Prediction and Algorithm Convergence
5.2.2. The Effects of Parameters on Rating Prediction
5.3. Evaluation on Image Data Set
5.3.1. Gaussian Noise
5.3.2. Salt-And-Pepper Noise
5.4. Application on Educational Data Set
5.4.1. Educational Data Preprocessing
5.4.2. Implementation Details
5.4.3. Experimental Result and Discussion
6. Discussion and Conclusions
Author Contributions
Funding
Acknowledgments
Conflicts of Interest
Appendix A. Objective Minimization
Appendix A.1. Updating E
Appendix A.2. Updating ΔU
Appendix A.3. Updating ΔV
Appendix A.4. Updating Y and β
| Algorithm A1: Graph Regularized Robust Matrix Factorization (GRMF) by Majorization Minimization |
| Input: , and |
| Output: and |
| Method: |
| Initialize and with using SVD on M; and Besides, |
| . and . |
| While not converged when we arrived , do |
| Let t = 1 and ; |
| While (A20) and (A21) are not satisfied do |
| Update by (A11); |
| Update and via (A14) and (A15); |
| Update by (A16); |
| Update by (A17); |
| t=t+1; |
| End while |
| Update and in parallel: |
| |
| Check the convergence coditions, if |
| and |
| End while. |
References
- Shannon, G.; Kim, T. Research Trends in Mathematics and Statistics; AkiNik Publications: Delhi, India, 2019. [Google Scholar]
- Iqbal, Z.; Qadir, J.; Mian, A.N.; Kamiran, F. Machine learning based student grade prediction: A case study. arXiv 2017, arXiv:1708.08744. [Google Scholar]
- Dietz-Uhler, B.; Hurn, J.E. Using learning analytics to predict (and improve) student success: A faculty perspective. J. Interact. Online Learn. 2013, 12, 17–26. [Google Scholar]
- Zhang, Y.; Dai, H.; Yun, Y.; Shang, X. Student Knowledge Diagnosis on Response Data via the Model of Sparse Factor Learning. In Proceedings of the 12th International Conference on Educational Data Mining (EDM 2019), Montreal, QC, Canada, 2–5 July 2019. [Google Scholar]
- Moreno-Marcos, P.M.; Alario-Hoyos, C.; Muñoz-Merino, P.J.; Kloos, C.D. Prediction in MOOCs: A review and future research directions. IEEE Trans. Learn. Technol. 2018, 12, 384–401. [Google Scholar] [CrossRef]
- Mayilvaganan, M.; Kalpanadevi, D. Comparison of classification techniques for predicting the performance of students academic environment. In Proceedings of the 2014 IEEE International Conference on Communication and Network Technologies, Sivakasi, India, 18–19 December 2014; pp. 113–118. [Google Scholar]
- Elbadrawy, A.; Studham, R.S.; Karypis, G. Collaborative multi-regression models for predicting students’ performance in course activities. In Proceedings of the Fifth International Conference on Learning Analytics and Knowledge, Poughkeepsie, NY, USA, 16–20 March 2015; pp. 103–107. [Google Scholar]
- Zhang, Y.P.; Liu, S.H. Ensemble classification based on feature drifting in data streams. Comput. Eng. Sci. 2014, 36, 977–985. [Google Scholar]
- Cortez, P.; Silva, A.M.G. Using Data Mining to Predict Secondary School Student Performance; EUROSIS-ETI, ETI Bvba: Ostend, Belgium, 2008. [Google Scholar]
- Helal, S.; Li, J.; Liu, L.; Ebrahimie, E.; Dawson, S.; Murray, D.J.; Long, Q. Predicting academic performance by considering student heterogeneity. Knowl.-Based Syst. 2018, 161, 134–146. [Google Scholar] [CrossRef]
- Yu, H.F.; Lo, H.Y.; Hsieh, H.P.; Lou, J.K.; McKenzie, T.G.; Chou, J.W.; Chung, P.H.; Ho, C.H.; Chang, C.F.; Wei, Y.H.; et al. Feature engineering and classifier ensemble for KDD cup 2010. In Proceedings of the KDD Cup, Washington, DC, USA, 25 July 2010. [Google Scholar]
- Zhang, Y.; Xiang, M.; Yang, B. Linear dimensionality reduction based on Hybrid structure preserving projections. Neurocomputing 2016, 173, 518–529. [Google Scholar] [CrossRef]
- Wang, T.; Mitrovic, A. Using neural networks to predict student’s performance. In Proceedings of the International Conference on Computers in Education, Auckland, New Zealand, 3–6 December 2002; pp. 969–973. [Google Scholar]
- Yang, T.Y.; Brinton, C.G.; Joe-Wong, C.; Chiang, M. Behavior-based grade prediction for MOOCs via time series neural networks. IEEE J. Sel. Top. Signal Process. 2017, 11, 716–728. [Google Scholar] [CrossRef]
- Su, Y.; Liu, Q.; Liu, Q.; Huang, Z.; Yin, Y.; Chen, E.; Ding, C.; Wei, S.; Hu, G. Exercise-enhanced sequential modeling for student performance prediction. In Proceedings of the Thirty-Second AAAI Conference on Artificial Intelligence, New Orleans, LA, USA, 2–7 February 2018. [Google Scholar]
- Polyzou, A.; Karypis, G. Grade prediction with course and student specific models. In Proceedings of the Pacific-Asia Conference on Knowledge Discovery and Data Mining, Auckland, New Zealand, 19–22 April 2016; pp. 89–101. [Google Scholar]
- Thai-Nghe, N.; Drumond, L.; Horváth, T.; Krohn-Grimberghe, A.; Nanopoulos, A.; Schmidt-Thieme, L. Factorization techniques for predicting student performance. In Educational Recommender Systems and Technologies: Practices and Challenges; IGI Global: Pennsylvania, PA, USA, 2012; pp. 129–153. [Google Scholar]
- Zhang, Y.P.; Chai, Y.M.; Wang, L.M. Method of concept drifting detection based on martingale in data stream. J. Chin. Comput. Syst. 2013, 34, 1787–1792. [Google Scholar]
- Thai-Nghe, N.; Schmidt-Thieme, L. Multi-relational factorization models for student modeling in intelligent tutoring systems. In Proceedings of the 2015 Seventh International Conference on Knowledge and Systems Engineering (KSE), HoChiMinh City, Vietnam, 8–10 October 2015; pp. 61–66. [Google Scholar]
- Koren, Y.; Bell, R.M.; Volinsky, C. Matrix Factorization Techniques for Recommender Systems. IEEE Comput. 2009, 42, 30–37. [Google Scholar] [CrossRef]
- Thainghe, N.; Drumond, L.; Krohngrimberghe, A.; Schmidtthieme, L. Recommender system for predicting student performance. Conf. Recomm. Syst. 2010, 1, 2811–2819. [Google Scholar]
- Hwang, C.S.; Su, Y.C. Unified clustering locality preserving matrix factorization for student performance prediction. IAENG Int. J. Comput. Sci. 2015, 42, 245–253. [Google Scholar]
- Lee, D.D.; Seung, H.S. Algorithms for non-negative matrix factorization. In Advances in Neural Information Processing Systems; Massachusetts Institute of Technology Press: Cambridge, MA, USA, 2001; pp. 556–562. [Google Scholar]
- Thai-Nghe, N.; Drumond, L.; Horváth, T.; Nanopoulos, A.; Schmidt-Thieme, L. Matrix and Tensor Factorization for Predicting Student Performance. In Proceedings of the 3rd International Conference on Computer Supported Education (CSEDU 2011), Noordwijkerhout, The Netherlands, 6–9 May 2011; Nguyen, T.-N., Lucas, D., Tomá, H., Alexandros, N., Lars, S.-T., Eds.; 2011; pp. 69–78. [Google Scholar]
- Lorenzen, S.; Pham, N.; Alstrup, S. On predicting student performance using low-rank matrix factorization techniques. In Proceedings of the European Conference on e-Learning, Porto, Portugal, 26–27 October 2017; pp. 326–334. [Google Scholar]
- Lin, Z.; Xu, C.; Zha, H. Robust matrix factorization by majorization minimization. IEEE Trans. Pattern Anal. Mach. Intell. 2018, 40, 208–220. [Google Scholar] [CrossRef]
- Zhang, Y.; Liu, S.; Shang, X.; Xiang, M. Low-rank graph regularized sparse coding. In Proceedings of the Pacific Rim International Conference on Artificial Intelligence, Nanjing, China, 28–31 August 2018; pp. 177–190. [Google Scholar]
- Zhang, Y.; Xiang, M.; Yang, B. Low-rank preserving embedding. Pattern Recognit. 2017, 70, 112–125. [Google Scholar] [CrossRef]
- Rao, N.; Yu, H.F.; Ravikumar, P.K.; Dhillon, I.S. Collaborative filtering with graph information: Consistency and scalable methods. In Advances in Neural Information Processing Systems; Massachusetts Institute of Technology Press: Cambridge, MA, USA, 2015; pp. 2107–2115. [Google Scholar]
- Xu, J.; Moon, K.H.; Van Der Schaar, M. A machine learning approach for tracking and predicting student performance in degree programs. IEEE J. Sel. Top. Signal Process. 2017, 11, 742–753. [Google Scholar] [CrossRef]
- Egalite, A.J. How family background influences student achievement: Can schools narrow the gap? Educ. Next 2016, 16, 70–79. [Google Scholar]
- Liu, S.; Shang, X. Hierarchical similarity network fusion for discovering cancer subtypes. In Proceedings of the International Symposium on Bioinformatics Research and Applications, Beijing, China, 8–11 June 2018; pp. 125–136. [Google Scholar]
- Koprinska, I.; Stretton, J.; Yacef, K. Predicting student performance from multiple data sources. In Proceedings of the International Conference on Artificial Intelligence in Education, Madrid, Spain, 22–26 June 2015; pp. 678–681. [Google Scholar]
- Saa, A.A. Educational data mining & students’ performance prediction. Int. J. Adv. Comput. Sci. Appl. 2016, 7, 212–220. [Google Scholar]
- Févotte, C. Majorization-minimization algorithm for smooth Itakura-Saito nonnegative matrix factorization. In Proceedings of the 2011 IEEE International Conference on Acoustics, Speech and Signal Processing (ICASSP), Prague, Czech Republic, 22–27 May 2011; pp. 1980–1983. [Google Scholar]
- Wei, E.; Ozdaglar, A. Distributed alternating direction method of multipliers. In Proceedings of the 2012 IEEE 51st IEEE Conference on Decision and Control (CDC), Maui, HI, USA, 10–13 December 2012; pp. 5445–5450. [Google Scholar]
- Hwang, C.R. Simulated annealing: Theory and applications. Acta Appl. Math. 1988, 12, 108–111. [Google Scholar]
- Kalofolias, V.; Bresson, X.; Bronstein, M.; Vandergheynst, P. Matrix completion on graphs. arXiv 2014, arXiv:1408.1717. [Google Scholar]
- Brecko, B.N. How family background influences student achievement. In Proceedings of the IRC-2004 TIMSS, Nicosia, Cyprus, 11–13 May 2004; Volume 1, pp. 191–205. [Google Scholar]
- Wenglinsky, H. Teacher classroom practices and student performance: How schools can make a difference. ETS Res. Rep. Ser. 2001, 2001, i37. [Google Scholar] [CrossRef]
- Cai, D.; He, X.; Han, J.; Huang, T.S. Graph regularized nonnegative matrix factorization for data representation. IEEE Trans. Pattern Anal. Mach. Intell. 2011, 33, 1548–1560. [Google Scholar]
- Goyal, P.; Ferrara, E. Graph embedding techniques, applications, and performance: A survey. Knowl.-Based Syst. 2018, 151, 78–94. [Google Scholar] [CrossRef]
- Zhang, Y.; Xiang, M.; Yang, B. Graph regularized nonnegative sparse coding using incoherent dictionary for approximate nearest neighbor search. Pattern Recognit. 2017, 70, 75–88. [Google Scholar] [CrossRef]
- Zhang, Y.; Xiang, M.; Yang, B. Hierarchical sparse coding from a Bayesian perspective. Neurocomputing 2018, 272, 279–293. [Google Scholar] [CrossRef]
- Liu, R.; Lin, Z.; Su, Z. Linearized alternating direction method with parallel splitting and adaptive penalty for separable convex programs in machine learning. In Proceedings of the Asian Conference on Machine Learning, Canberra, ACT, Australia, 13–15 November 2013; pp. 116–132. [Google Scholar]
- Rendle, S. Factorization machines. In Proceedings of the 2010 IEEE International Conference on Data Mining, Sydney, Australia, 13–17 December 2010; pp. 995–1000. [Google Scholar]
- Jiang, B.; Lu, Z.; Li, N.; Wu, J.; Jiang, Z. Retweet prediction using social-aware probabilistic matrix factorization. In Proceedings of the International Conference on Computational Science, Wuxi, China, 11–13 June 2018; pp. 316–327. [Google Scholar]
- Wong, N.C.; Lam, C.; Patterson, L.; Shayegan, B. Use of machine learning to predict early biochemical recurrence after robot-assisted prostatectomy. BJU Int. 2019, 123, 51–57. [Google Scholar] [CrossRef]
- Sweeney, M.; Lester, J.; Rangwala, H. Next-term student grade prediction. In Proceedings of the 2015 IEEE International Conference on Big Data (Big Data), Santa Clara, CA, USA, 29 October–1 November 2015; pp. 970–975. [Google Scholar]
- Lin, Z.; Chen, M.; Ma, Y. The augmented lagrange multiplier method for exact recovery of corrupted low-rank matrices. arXiv 2010, arXiv:1009.5055. [Google Scholar]








| Err1 | RMSE | |
|---|---|---|
| GRMF | 0.735 | 0.957 |
| MF | 1.549 | 1.007 |
| GRALS | 0.770 | 1.008 |
| RMF-MM | 0.776 | 1.104 |
| Academic Term | Training Set | Test Set |
|---|---|---|
| 1 | 17,425 | 3189 |
| 2 | 20,779 | 2043 |
| 3 | 22,821 | 2692 |
| 4 | 25,506 | 1473 |
| 5 | 26,949 | 2063 |
| 6 | 29,045 | 219 |
© 2020 by the authors. Licensee MDPI, Basel, Switzerland. This article is an open access article distributed under the terms and conditions of the Creative Commons Attribution (CC BY) license (http://creativecommons.org/licenses/by/4.0/).
Share and Cite
Zhang, Y.; Yun, Y.; Dai, H.; Cui, J.; Shang, X. Graphs Regularized Robust Matrix Factorization and Its Application on Student Grade Prediction. Appl. Sci. 2020, 10, 1755. https://doi.org/10.3390/app10051755
Zhang Y, Yun Y, Dai H, Cui J, Shang X. Graphs Regularized Robust Matrix Factorization and Its Application on Student Grade Prediction. Applied Sciences. 2020; 10(5):1755. https://doi.org/10.3390/app10051755
Chicago/Turabian StyleZhang, Yupei, Yue Yun, Huan Dai, Jiaqi Cui, and Xuequn Shang. 2020. "Graphs Regularized Robust Matrix Factorization and Its Application on Student Grade Prediction" Applied Sciences 10, no. 5: 1755. https://doi.org/10.3390/app10051755
APA StyleZhang, Y., Yun, Y., Dai, H., Cui, J., & Shang, X. (2020). Graphs Regularized Robust Matrix Factorization and Its Application on Student Grade Prediction. Applied Sciences, 10(5), 1755. https://doi.org/10.3390/app10051755

