Analysis of an Isolation System with Vertical Spring-viscous Dampers in Horizontal and Vertical Ground Motion
Abstract
1. Introduction
- (1)
- Proposal of a new RIS system with vertical spring-damper for horizontal and vertical vibration improvement;
- (2)
- Derivation of theoretical equations for horizontal and vertical vibrations;
- (3)
- The relationship between the design parameters of the behavior characteristics of the spring-dampers;
- (4)
- The control of resonance and design parameters.
2. Equations of Motion
2.1. Description of Vibration Isolator Model
2.2. Derivation of Equations of Motion
2.3. Natural Frequency Relationships in a Linearized System
2.4. Occurrence Condition of Relative Motion
3. Numerical Analyses
3.1. Contact Stability for Design Parameters
3.2. Steady-State Response for Horizontal Excitation
3.3. Displacement Transfer Ratio for Horizontal Excitation
3.4. Response Characteristics for Vertical Excitation
4. System Response for El Centro Earthquake
5. Conclusions
- (1)
- In the case of the RIS, vertical vibration caused by horizontal vibration occurs, and the control method for large vertical vibration is limited. However, the structure proposed in this study demonstrates effective control of the horizontal and vertical vibrations;
- (2)
- The starting frequency at which relative motion occurs was obtained as a function of the friction coefficient and excitation amplitude. This value increases as the friction coefficient increases and the excitation amplitude decreases. This is the primary design parameter for controlling the relative motion because the displacement transfer ratio can be controlled by the relationship between the natural frequency and the system;
- (3)
- The contact stability chart was obtained in the frequency and acceleration amplitude domains. As the unstable region of the stability chart appears near the resonance frequency where the vibration response is large, the region decreases as the friction coefficient and viscosity coefficient increase. The stability chart can be used to select design parameters to ensure stable contact in the isolator design;
- (4)
- The steady-state response to horizontal excitation indicated that harmonic components of n and 2n orders, which are nonlinear, appear in the vertical and horizontal responses;
- (5)
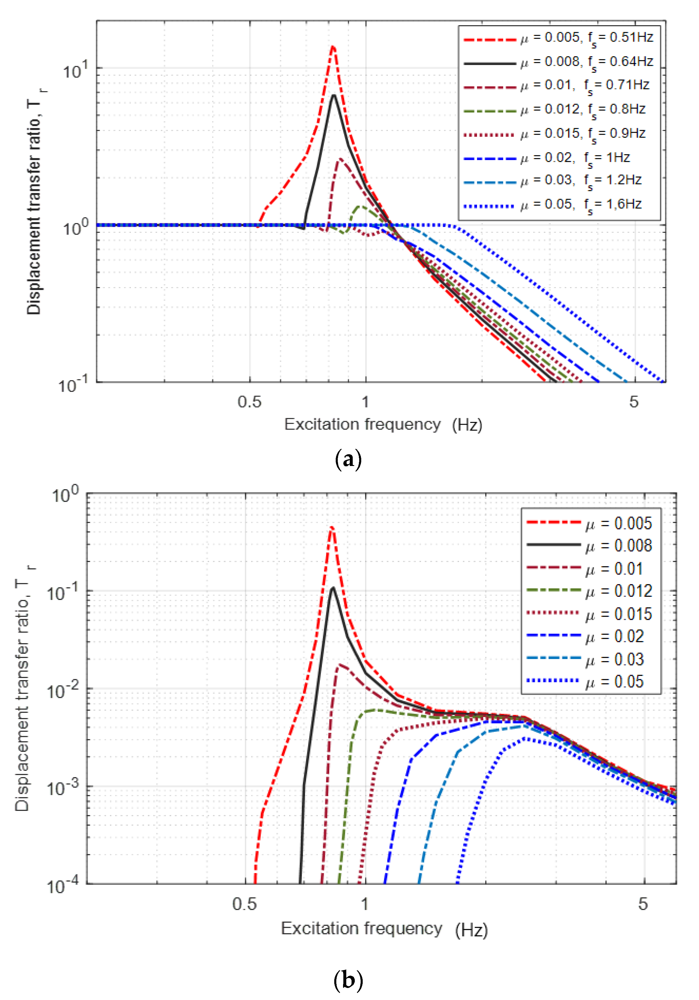
- The displacement transfer ratios were obtained to perceive the characteristics of the isolation system against the design parameters. The relative motion is locked until the excitation frequency is equal to , and a jump occurs as the excitation frequency increases. Furthermore, as approaches the natural frequency, the transfer ratio decreases significantly, and when the frequency is larger than the natural frequency, it becomes 1 or less. Resonance can be avoided or controlled by setting the design factors of the friction and viscous damping coefficients, vertical natural frequency, and interval between dampers;
- (6)
- Considering the above, the design factors were set using actual earthquake data, and effective vertical and horizontal vibration reduction was achieved by the numerical analysis. Therefore, if the spring stiffness and the number of insulators are set properly, the application of the isolation system presented in this study can be applied from light to heavy equipment.
Author Contributions
Funding
Conflicts of Interest
Nomenclature
| A, B | contact point of the dome and superstructure |
| C | center of curvature of the concave surface |
| mass of the superstructure | |
| radius of the concave surface of the superstructure | |
| friction coefficient between the superstructure and dome | |
| spring constant of the spring damper | |
| viscous damping coefficient | |
| half space between two spring dampers | |
| horizontal relative displacement | |
| vertical displacement | |
| horizontal excitation displacement | |
| vertical excitation displacement | |
| horizontal absolute displacement | |
| The angle between the vertical line and the line passing through the contact point and the center of curvature in static equilibrium. | |
| The angle between the vertical line and the line passing through the contact point and the center of curvature in dynamic equilibrium | |
| displacement of the right (left) dome due to horizontal relative displacement | |
| installation distance ratio, or ratio of the half space between two post-dampers to the radius of the concave surface | |
| natural frequency of y-direction, or vertical natural frequency | |
| natural frequency of x-direction, or horizontal natural frequency | |
| gravitational acceleration | |
| right (left) normal reaction force | |
| force acting on the right (left) spring-viscous damper | |
| static deflection | |
| total deflection of spring, or total deflection of spring-viscous damper | |
| mass normalized force acting on the right (left) spring-viscous damper | |
| angular natural frequency of y-direction, or vertical natural frequency | |
| viscous damping ratio | |
| starting frequency, or frequency at which relative motion starts to occur | |
| amplitude of excitation | |
| excitation frequency | |
| displacement transfer ratio, or ratio of peak-peak value of the steady-state response to that of the excitation displacement |
References
- Esfeh, M.A.; Caldera, H.J.; Heshami, S.; Moshahedi, N.; Wirasinghe, S.C. The severity of earthquake events-statistical analysis and classfication. Int. J. Urban Sci. 2016, 20, 4–24. [Google Scholar] [CrossRef]
- Tsai, C.S. Advanced base isolation systems for light weight equipments. In Earthquake Resistant Structures–Design, Assessment and Rehabilitation; In-Tech: Guangdong, China, 2012; pp. 79–130. [Google Scholar]
- Patil, S.J.; Reddy, G.R. State Of Art Review - Base Isolation Systems For Structures. Int. J. Emerg. Technol. Adv. Eng. 2012, 2, 438–453. [Google Scholar]
- Girish, M.; Pranesh, M. Sliding Isolation Systems: State-of-the-Art Review. IOSR-JMCE 2013, 6, 30–35. [Google Scholar]
- Hosseini, M.; Kangarloo, K. Introducing Orthogonal Roller Pairs as an effective isolating system for low rise buildings. In Seismic Control System; WIT Press: London, UK, 2013; pp. 65–76. [Google Scholar]
- FukahoriQueen, Y. Use of natural rubber (NR) for vibration isolation and earthquake protection of structures. Chem. Manuf. Appl. Nat. Rubber 2014, 1, 371–381. [Google Scholar] [CrossRef]
- Lu, Z.; Chen, X.Y.; Zhou, Y. An equivalent method for optimization of particle tuned mass damper based on experimental parametric study. J. Sound Vib. 2018, 419, 571–584. [Google Scholar] [CrossRef]
- Dai, K.S.; Wang, J.Z.; Mao, R.F.; Lu, Z.; Chen, S.E. Experimental investigation on dynamic characterization and seismic control performance of a TLPD system. Struct. Des. Tall Spec. Build. 2016, 26, e1350. [Google Scholar] [CrossRef]
- Lu, Z.; Chen, X.Y.; Lu, X.L.; Yang, Z. Shaking table test and numerical simulation of an RC frame-core tube structure for earthquake-induced collapse. Earthq. Eng. Struct. Dyn. 2016, 45, 1537–1556. [Google Scholar] [CrossRef]
- Lin, T.W.; Chern, C.C.; Hone, C.C. Experimental study of base isolation by free rolling rods. Earthq. Eng. Struct. Dyn. 1995, 24, 1645–1650. [Google Scholar] [CrossRef]
- Lin, T.W.; Hone, C.C. Base isolation by free rolling rods under basement. Earthq. Eng. Struct. Dyn. 1993, 22, 261–273. [Google Scholar] [CrossRef]
- Mosleh, A.; Rodrigues, H.; Varum, H.; Costa, A.; Arêde, A. Seismic behavior of RC building structures designed according to current codes. Structures 2016, 7, 1–13. [Google Scholar] [CrossRef]
- Mosleh, A.; Varum, H.; Jara, J.; Razzaghi, M.S. Development of fragility curves for RC bridges subjected to reverse and strike-slip seismic sources. Eng. Struct. 2016, 11, 517–538. [Google Scholar] [CrossRef]
- Tsai, M.H.; Wu, S.Y.; Chang, K.C.; Lee, G.C. Shaking table tests of a scale bridge model with rolling-type seismic isolation bearings. Eng. Struct. 2007, 29, 694–704. [Google Scholar] [CrossRef]
- Krishnamoorthy, A. Seismic Control of Continuous Bridges Using Variable Radius Friction Pendulum Systems and Viscous Fluid Dampers. Int. J. Acoust. Vib. 2015, 20, 24–60. [Google Scholar] [CrossRef]
- Krishnamoorthy, A. Variable curvature pendulum isolator and viscous fluid damper for seismic isolation of structures. Int. J. Vib. Control 2011, 17, 1779–1790. [Google Scholar] [CrossRef]
- Krishnamoorthy, A. Seismic isolation of bridges using variable frequency and variable friction pendulum isolator system. Struct. Eng. Int. 2010, 20, 178–184. [Google Scholar] [CrossRef]
- Hong, S.C.; Hur, D.-J. Dynamic Behavior of a Simple Rolling Seismic Isolator with a Position Restoring Device. Appl. Sci. 2018, 8, 1910. [Google Scholar] [CrossRef]
- Shaikhzadeh, A.A.; Karamodin, A. Effectiveness of sliding isolators with variable curvature in near-fault ground motions. Struct. Design Tall Spec. Build. 2016, 25, 278–296. [Google Scholar] [CrossRef]
- Harvey, P.S., Jr.; Gavin, H.P. The nonholonomic and chaotic nature of a rolling isolation system. J. Sound Vib. 2013, 332, 3535–3551. [Google Scholar] [CrossRef]
- Cross, R. Energy losses in a rolling ball. Eur. J. Phys. 2019, 40. [Google Scholar] [CrossRef]
- Sui, J.Y.; Gong, Y.W.; Liu, W.F. Research on a New Type of Rolling Ball Isolator. Adv. Mater. Res. 1929, 194–196, 1929–1932. [Google Scholar] [CrossRef]
- Guerreiro, L.; Azevedo, J.; Muhr, A. Seismic Tests and Numerical Modeling of a Rolling-ball Isolation System. J. Earthq. Eng. 2007, 11, 49–66. [Google Scholar] [CrossRef]
- Pranesh, M.; Sinha, R. VFPI: An isolation device for aseismic design. Earthq. Eng. Struct. Dyn. 2000, 29, 603–627. [Google Scholar] [CrossRef]
- Tsai, C.S.; Chiang, T.C.; Chen, B.J. Finite element formulations and theoretical study for variable curvature friction pendulum system. Eng. Struct. 2003, 25, 1719–1730. [Google Scholar] [CrossRef]
- Kelly, J.M.; Konstantinidis, D.A. Mechanics of Rubber Bearings for Seismic and Vibration Isolation; John Wiley & Sons, Ltd.: Hoboken, NJ, USA, 2011. [Google Scholar]
- Menga, N.; Bottiglione, F.; Carbone, G. The nonlinear dynamic behavior of a Rubber-Layer Roller Bearing (RLRB) for vibration isolation. J. Sound Vib. 2019, 463. [Google Scholar] [CrossRef]
- Martini, A.; Troncossi, M.; Vincenzi, N. Structural and elastodynamic analysis of rotary transfer machines by Finite Element model. J. Serb. Soc. Comput. Mech. 2017, 11, 1–16. [Google Scholar] [CrossRef]
- Martini, A.; Bellani, G.; Fragassa, C. Numerical assessment of a new hydro-pneumatic suspension system for motorcycles. Int. J. Automot. Mech. Eng. 2018, 15, 5308–5325. [Google Scholar] [CrossRef]
- Muhamad, F.I.; Kang, H.S.; Lee, K.Q.; Siow, C.L. Experimental analysis on variable stiffness and variable damping device. In Proceedings of the 2nd Multidisciplinary Conference on Mechanical Engineering, Skudai, Malaysia, 16 October 2017; pp. 269–277. [Google Scholar]
- Hu, Y.; Liu, L.; Rahimi, S. Seismic Vibration Control of 3D Steel Frames with Irregular Plans Using Eccentrically Placed MR Damper. Sustainability 2017, 9, 1255. [Google Scholar] [CrossRef]
- Shin, Z.; Cheng, Z.; Xiang, H. Seismic isolation foundations with effective attenuation zones. Int. J. Soil Dyn. Earthq. Eng. 2014, 57, 143–151. [Google Scholar]
- Castaldo, P.; Palazzo, B.; Vecchia, P.D. Seismic reliability of base-isolated structures with friction pendulum bearings. Eng. Struct. 2015, 95, 80–93. [Google Scholar] [CrossRef]
- Kanyilmaz, A.; Castiglioni, C.A. Reducing the seismic vulnerability of existing elevated silos by means of base isolation devices. Eng. Struct. 2017, 143, 477–497. [Google Scholar] [CrossRef]
- Kohjiya, S. Improving the sustainable development of natural rubber (NR). Chem. Manuf. Appl. Nat. Rubber 2014, 1, 385–394. [Google Scholar] [CrossRef]
- Wei, B.; Wang, P.; He, X.; Jiang, L. Seismic response of spring-damper-rolling systems with concave friction distribution. Earthq. Struct. 2016, 11, 25–43. [Google Scholar] [CrossRef]
- Wei, B.; Zhuo, Y.; Li, C.; Yang, M. Parameter Optimization of a Vertical Spring-Viscous Damper-Coulomb Friction System. Shock Vib. 2019, 2019. [Google Scholar] [CrossRef]
- Wei, B.; Wang, P.; He, X.; Jiang, L. The Impact of the Convex Friction Distribution on the Seismic Response of a Spring-friction Isolation System. KSCE J. Civ. Eng. 2018, 22, 1203–1213. [Google Scholar] [CrossRef]
- Inman, D.J. Engineering Vibration, 4th ed.; Pearson India: Bengaluru, India, 2013. [Google Scholar]
- Najar, B.A.; Najar, I.A. Comparative Seismic Analysis of EL Centro and Japan Earthquakes using Response Spectra Method. Int. J. Curr. Eng. Technol. 2016, 6, 1–6. [Google Scholar]






: unstable contact zone,
: stable contact zone): (a) Hz. (b) Hz. (c) Hz. (d) Hz.
: unstable contact zone,
: stable contact zone): (a) Hz. (b) Hz. (c) Hz. (d) Hz.












| Parameters | Dimensions |
|---|---|
| 0.6 m (0.3~0.9 m) | |
| 0.1~0.3 | |
| 2~10 Hz | |
| 0.005~0.05 | |
| 0.3 |
| El Centro Earthquake | Isolator (I) (Figure 7a) | Isolator (II) (Figure 7b) | ||
|---|---|---|---|---|
| Maximum absolute acceleration | Horizontal direction | 0.335 g | 0.185 g (▼0.15 g) | 0.273 g (▼0.131 g) |
| Vertical direction | 0.226 g | 0.135 g (▼0.091 g) | 0.187 g (▼0.039 g) | |
| Maximum relative displacement | Horizontal direction | - | 7.98 cm | 9.24 cm |
| Vertical direction | - | 9.09 cm | 9.2 cm |
© 2020 by the authors. Licensee MDPI, Basel, Switzerland. This article is an open access article distributed under the terms and conditions of the Creative Commons Attribution (CC BY) license (http://creativecommons.org/licenses/by/4.0/).
Share and Cite
Hur, D.-J.; Hong, S.-C. Analysis of an Isolation System with Vertical Spring-viscous Dampers in Horizontal and Vertical Ground Motion. Appl. Sci. 2020, 10, 1411. https://doi.org/10.3390/app10041411
Hur D-J, Hong S-C. Analysis of an Isolation System with Vertical Spring-viscous Dampers in Horizontal and Vertical Ground Motion. Applied Sciences. 2020; 10(4):1411. https://doi.org/10.3390/app10041411
Chicago/Turabian StyleHur, Deog-Jae, and Sung-Chul Hong. 2020. "Analysis of an Isolation System with Vertical Spring-viscous Dampers in Horizontal and Vertical Ground Motion" Applied Sciences 10, no. 4: 1411. https://doi.org/10.3390/app10041411
APA StyleHur, D.-J., & Hong, S.-C. (2020). Analysis of an Isolation System with Vertical Spring-viscous Dampers in Horizontal and Vertical Ground Motion. Applied Sciences, 10(4), 1411. https://doi.org/10.3390/app10041411

