On the Utilization of Reversible Colour Transforms for Lossless 2-D Data Compression
Abstract
1. Introduction
2. Burrows–Wheeler Compression Algorithm (BWCA)
3. Reversible Colour Transforms (RCTs)
4. Experimental Setup And Results
- Kodak colour image dataset
- University of Loughborough Uncompressed Colour Image Database (UCID)
- RASTER Maps Images
- Colour Filter Array (CFA) Images
- EEG Images
4.1. Lossless Compression Of Colour Images
4.2. Lossless Compression of RASTER Maps
4.3. Lossless Compression of CFA Images
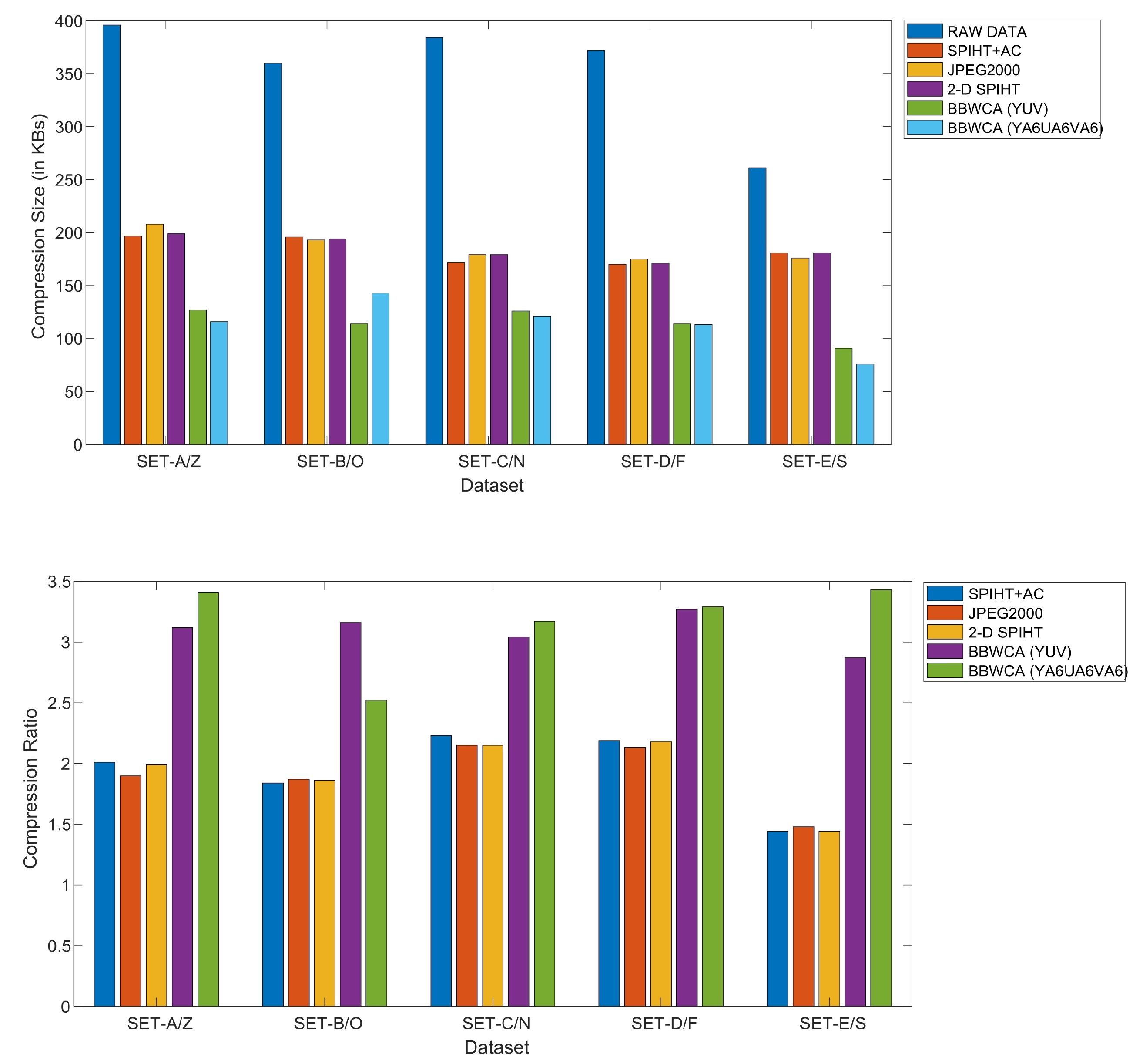
4.4. Lossless Compression of 2-D EEG Data
4.5. Scalability to High Resolution Imagery
5. Conclusions
Author Contributions
Funding
Conflicts of Interest
Appendix A. The Arithmetic Coder

| Symbol | Probability | Range |
|---|---|---|
| a | 0.2 | [0.0, 0.2) |
| e | 0.3 | [0.2, 0.5) |
| i | 0.1 | [0.5, 0.6) |
| o | 0.2 | [0.6, 0.8) |
| u | 0.1 | [0.8, 0.9) |
| ! | 0.1 | [0.9, 1.0) |
| Initially | [0, 1) | |
| After Symbol | e | [0.2, 0.5) |
| a | [0.2, 0.26) | |
| i | [0.23, 0.236) | |
| i | [0.2333, 0.2336) | |
| ! | [0.23354, 0.2336) |
References
- Ouni, T.; Lassoued, A.; Abid, M. Lossless Image Compression Using Gradient Based Space Filling Curves (G-SFC). Signal Image Video Process. 2015, 9, 277–293. [Google Scholar] [CrossRef]
- Anusuya, V.; Raghavan, V.S.; Kavitha, G. Lossless Compression on MRI Images Using SWT. J. Digit. Imag. 2014, 27, 594–600. [Google Scholar] [CrossRef] [PubMed]
- Srinivasan, K.; Dauwels, J.; Reddy, M.R. A Two-Dimensional Approach for Lossless EEG Compression. Biomed. Signal Process. Control. 2011, 6, 387–394. [Google Scholar] [CrossRef]
- Mao, Q.; Zhou, B.; Zou, Q.; Li, Q. Efficient and Lossless Compression of Raster Maps. Signal Image Video Process. 2015, 9, 133–145. [Google Scholar] [CrossRef]
- Sun, W.; Lu, Z.M.; Wen, Y.C.; Yu, F.X.; Shen, R.J. High Performance Reversible Data Hiding For Block Truncation Coding Compressed Images. Signal Image Video Process. 2013, 7, 297–306. [Google Scholar] [CrossRef]
- Kolo, J.G.; Shanmugam, S.A.; Lim, D.W.G.; Ang, L.M. Fast and Efficient Lossless Adaptive Compression Scheme for Wireless Sensor Networks. Comput. Electr. Eng. 2015, 41, 275–287. [Google Scholar] [CrossRef]
- Kumar, R.; Kumar, A.; Pandey, R.K. Beta Wavelet Based ECG Signal Compression Using Lossless Encoding With Modified Thresholding. Comput. Electr. Eng. 2013, 39, 130–140. [Google Scholar] [CrossRef]
- Nasri, M.; Helali, A.; Sghaier, H.; Maaref, H. Adaptive Image Compression Technique for Wireless Sensor Networks. Comput. Electr. Eng. 2011, 37, 798–810. [Google Scholar] [CrossRef]
- Mukhopadhyay, S.K.; Mitra, S.; Mitra, M. A Lossless ECG Data Compression Technique Using ASCII Character Encoding. Comput. Electr. Eng. 2011, 37, 486–497. [Google Scholar] [CrossRef]
- Karimi, N.; Samavi, S.; Amraee, S.; Shirani, S. Use of Symmetry In Prediction-Error Field For Lossless Compression of 3D MRI images. Multimed. Tools Appl. 2014, 74, 11007–11022. [Google Scholar] [CrossRef]
- Pathan, A.S.K. Skip Block Based Distributed Source Coding for Hyperspectral Image Compression. Multimed. Tools Appl. 2015, 1–23. [Google Scholar] [CrossRef]
- Nian, Y.; Wan, J.; Tang, Y.; Chen, B. Near Lossless Compression of Hyperspectral Images Based On Distributed Source Coding. Sci. China Inf. Sci. 2012, 55, 2646–2655. [Google Scholar] [CrossRef]
- Nian, Y.; He, M.; Wan, J. Distributed Near Lossless Compression Algorithm for Hyperspectral Images. Comput. Electr. Eng. 2014, 40, 1006–1014. [Google Scholar] [CrossRef]
- Khan, A.; Khan, A. Lossless Colour Image Compression Using RCT for Bi-level BWCA. Signal Image Video Process. 2015, 1–7. [Google Scholar] [CrossRef]
- Khan, A.; Khan, A.; Khan, M.; Uzair, M. Lossless Image Compression: Application of Bi-level Burrows Wheeler Compression Algorithm (BBWCA) to 2-D Data. Multimed. Tools Appl. 2017, 76, 12391–12416. [Google Scholar] [CrossRef]
- Zamora, G.; Mitra, S. Lossless Coding of Color Images Using Color Space Transformations. In Proceedings of the 11th IEEE Symposium on Computer-Based Medical Systems, Lubbock, TX, USA, 12 June 1998; pp. 13–18. [Google Scholar]
- Abel, J. Improvements to the Burrows-Wheeler Compression Algorithm: After BWT Stages. ACM Trans. Comput. Syst. 2003. Available online: https://www.semanticscholar.org/paper/Improvements-to-the-Burrows-Wheeler-Compression-BWT-Abel /bff1aa90a397f7ae0f0cf4ff6b4932a431388d63 (accessed on 5 December 2019).
- Abel, J. Post BWT Stages of the Burrows-Wheeler Compression Algorithm. Softw. Pract. Exp. 2010, 40, 751–777. [Google Scholar] [CrossRef]
- Burrows, M.; Wheeler, D. A Block-Sorting Lossless Data Compression Algorithm; SRC Research Report 124; Digital Systems Research Center: Palo Alto, CA, USA, 1994. [Google Scholar]
- Manzini, G. An Analysis of the Burrows-Wheeler Transform. J. ACM 2001, 48, 407–430. [Google Scholar] [CrossRef]
- Si Van, V. Image Compression Using Burrows-Wheeler Transform. Master’s Thesis, Helsinki University of Technology, Helsinki, Finland, 2009. [Google Scholar]
- Abel, J. Incremental Frequency Count—A Post BWT-stage for the Burrows-Wheeler Compression Algorithm. Softw. Pract. Exp. 2007, 37, 247–265. [Google Scholar] [CrossRef]
- Deorowicz, S. Improvements to Burrows-Wheeler Compression Algorithm. Softw. Pract. Exp. 2000, 30, 1465–1483. [Google Scholar] [CrossRef]
- Arnavut, Z.; Arnavut, M. Investigation of Block-sorting of Multiset Permutations. Int. J. Comput. Math. 2004, 81, 1213–1222. [Google Scholar] [CrossRef]
- Schindler, M. A Fast Block-sorting Algorithm for Lossless Data Compression. In Proceedings of the IEEE Data Compression Conference, Snowbird, UT, USA, 31 March 1997. [Google Scholar]
- Balkenhol, B.; Shtarkov, Y. One Attempt of a Compression Algorithm Using the BWT; Sonderforschungsbereich-343. 1999. Available online: http://citeseerx.ist.psu.edu/viewdoc/download?doi=10.1.1.43.1175&rep=rep1&type=pdf (accessed on 10 December 2019).
- Arnavut, Z.; Magliveras, A.S. Lexical Permutation Sorting Algorithm. Comput. J. 1997, 40, 292–295. [Google Scholar] [CrossRef]
- Khan, A.; Asif Ali, M.; Younus Javed, M.; Khanum, A.; Usman AKram, M. Lossless Image Compression: Improvement to Kernel Global Structure Transform (KGST) based Burrows-Wheeler Compression Algorithm (BWCA). In Proceedings of the 2nd International Conference on Machine Vision (ICMV), Hong Kong, China, 20 August 2010. [Google Scholar]
- Skodras, A.; Christopoulos, C.; Ebrahimi, T. The Jpeg 2000 Still Image Compression Standard. IEEE Signal Process. Mag. 2001, 18, 36–58. [Google Scholar] [CrossRef]
- Asif Ali, M.; Khan, A.; Younus Javed, M.; Khanum, A. Lossless Image Compression Using Kernel Based Global Structure Transform (GST). In Proceedings of the 6th International Conference on Emerging Technologies (ICET), Islamabad, Pakistan, 18 October 2010; pp. 170–174. [Google Scholar] [CrossRef]
- Srikanth, S.; Meher, S. Compression Efficiency for Combining Different Embedded Image Compression Techniques with Huffman Encoding. In Proceedings of the 2013 International Conference on Communication and Signal Processing, Melmaruvathur, India, 16 August 2013. [Google Scholar] [CrossRef]
- Mozammel, M.; Chowdhury, H.; Khatun, A. Image Compression Using Discrete Wavelet Transform. Int. J. Comput. Sci. Issues 2012, 9, 327. [Google Scholar]
- Telagarapu, P.; Naveen, V.; Prasanthi, A.; Santhi, G. Image Compression Using DCT and Wavelet Transformations. Int. J. Signal Process. Image Process. Pattern Recognit. 2011, 4, 61–74. [Google Scholar]
- Strutz, T.; Leipnitz, A. Adaptive colour-space selection in high efficiency video coding. In Proceedings of the 2017 25th European Signal Processing Conference (EUSIPCO), Kos, Greece, 2 September 2017; pp. 1534–1538. [Google Scholar]
- Strutz, T. Multiplierless reversible color transforms and their automatic selection for image data compression. IEEE Trans. Circuits Syst. Video Technol. 2013, 23, 1249–1259. [Google Scholar] [CrossRef]
- Gonzalez, R.; Woods, R. Digital Image Processing; Prentice-Hall Inc.: Upper Saddle River, NJ, USA, 2002; Volume 2. [Google Scholar]
- De Queiroz, R.L. On Independent Color Space Transformations for the Compression of CMYK Images. IEEE Trans. Image Process. 1999, 8, 1446–1451. [Google Scholar] [CrossRef]
- Colantoni, P.A. Color Space Transformations. 2004. Available online: https://pdfs.semanticscholar.org/739d/20ce3cc41ee74f3db7748949abd326899537.pdf (accessed on 9 September 2019).
- Chou, C.H.; Liu, K.C. Colour Image Compression Based on the Measure of Just Noticeable Colour Difference. IET Image Process. 2008, 2, 304–322. [Google Scholar] [CrossRef]
- Tiwari, A.K.; Kumar, R.V.R. A Minimum Entropy Based Switched Adaptive Predictor for Lossless Compression of Images. Signal Image Video Process. 2009, 3, 307–318. [Google Scholar] [CrossRef]
- Gormish, M.J.; Schwartz, E.L.; Keith, A.; Boliek, M.; Zandi, A. Lossless and Nearly Lossless Compression for High Quality Images. In SPIE: Very High Resolution and Quality Imaging II; Algazi, V.R., Ono, S., Tescher, A.G., Eds.; SPIE—International Society Optical Engineering: Bellingham, WA, USA, 1997; pp. 62–70. [Google Scholar]
- Przelaskowski, A. Effective Integer-to-Integer Transforms for JPEG2000 Coder. In Wavelets: Applications in Signal and Image Processing IX; Laine, A.F., Unser, M.A., Aldroubi, A., Eds.; SPIE—International Society Optical Engineering: Bellingham, WA, USA, 2001; Volume 4478, pp. 299–310. [Google Scholar]
- Rabbani, M.; Joshi, R. An Overview of the Jpeg 2000 Still Image Compression Standard. Signal Process. Image Commun. 2002, 17, 3–48. [Google Scholar] [CrossRef]
- Chen, Y.; Hao, P. Integer Reversible Transformation to Make JPEG Lossless. In Proceedings of the 2004 7th International Conference on Signal Processing Proceedings, Beijing, China, 31 August 2004; pp. 835–838. [Google Scholar]
- Starosolski, R. New Simple and Efficient Color Space Transformations for Lossless Image Compression. J. Vis. Commun. Image Represent. 2014, 25, 1056–1063. [Google Scholar] [CrossRef]
- Seyun, K.; Nam Ik, C. A Lossless Color Image Compression Method Based on a New Reversible Color Transform. In Proceedings of the 2012 Visual Communications and Image Processing (VCIP), San Diego, CA, USA, 21 June 2012. [Google Scholar] [CrossRef]
- Wang, L.; Sun, T.; Jeon, G. Quadtree-based Reversible Integer Time-Domain Lapped Transform for Progressive Lossy-to-Lossless Images Compression. Opt. Eng. 2014, 53. [Google Scholar] [CrossRef]
- Akimov, A.; Kolesnikov, A.; Franti, P. Lossless Compression Of Color Map Images By Context Tree Modeling. IEEE Trans. Image Process. 2007, 16, 114–120. [Google Scholar] [CrossRef] [PubMed]
- Ratushnyak, A. GraLIC. 2015. Available online: http://www.who.int/mediacentre/factsheets/fs282/fr/ (accessed on 14 December 2019).
- Lee, D.; Plataniotis, K.N. Lossless Compression Of HDR Color Filter Array Image For The Digital Camera Pipeline. Signal Process. Image Commun. 2012, 27, 637–649. [Google Scholar] [CrossRef]
- Chung, K.H.; Chan, Y.H. A Lossless Compression Scheme For Bayer Color Filter Array Images. IEEE Trans. Image Process. 2008, 17, 134–144. [Google Scholar] [CrossRef] [PubMed]
- Antoniol, G.; Tonella, P. EEG Data Compression Techniques. IEEE Trans. Biomed. Eng. 1997, 44, 105–114. [Google Scholar] [CrossRef]
- Dauwels, J.; Srinivasan, K.; Ramasubba, R.M.; Cichocki, A.; Ieee. Multi-Channel EEG Compression Based on 3D Decompositions. In Proceedings of the 2012 IEEE International Conference on Acoustics, Speech and Signal Processing (ICASSP), Kyoto, Japan, 27 March 2012; pp. 637–640. [Google Scholar]
- Lin, L.; Meng, Y.; Chen, J.P.; Li, Z.B. Multichannel EEG compression based on ICA and SPIHT. Biomed. Signal Process. Control. 2015, 20, 45–51. [Google Scholar] [CrossRef]
- Xu, G.W.; Han, J.; Zou, Y.; Zeng, X.Y. A 1.5-D Multi-Channel EEG Compression Algorithm Based on NLSPIHT. IEEE Signal Process. Lett. 2015, 22, 1118–1122. [Google Scholar] [CrossRef]
- Daou, H.; Labeau, F. Dynamic Dictionary for Combined EEG Compression and Seizure Detection. IEEE J. Biomed. Health Inf. 2014, 18, 247–256. [Google Scholar] [CrossRef]
- Andrzejak, R.; Lehnertz, K.; Rieke, C.; Mormann, F.; Elger, C. Indications of Nonlinear Deterministic and Finite Dimensional Structures in Time Series of Brain Electrical Activity: Dependence on Recording Region and Brain State. Phys. Rev. E 2001, 64, 061907. [Google Scholar] [CrossRef]
- Joseph, B.; Joseph, I.; Frese, D. Pexels, Free 4k Images. 2020. Available online: https://www.pexels.com (accessed on 11 January 2020).
- Witten, I.H.; Neal, R.M.; Cleary, J.G. Arithmetic coding for data compression. Commun. ACM 1987, 30, 520–540. [Google Scholar] [CrossRef]











| Transform | Forward RCT | Reverse RCT | Reference |
|---|---|---|---|
| RDgDb | Roman Starosolski et al. [45] | ||
| LDgEb | Roman Starosolski et al. [45] | ||
| LDgDb | Roman Starosolski et al. [45] | ||
| YA2UA2VA2 | Roman Starosolski et al. [45] | ||
| YA6UA6VA6 | Roman Starosolski et al. [45] | ||
| YA7UA7VA7 | Roman Starosolski et al. [45] | ||
| mYA2UA2VA2 | Modular Arithmetic Variant of YA2UA2VA2 | ||
| mRDgDb | Roman Starosolski et al. [45] | ||
| mLDgEb | Roman Starosolski et al. [45] | ||
| mLDgDb | Modular Arithmetic Variant of LDgDb | ||
| RCT | [14,30] | ||
| mRCT | Modular Arithmetic Variant of RCT | [30] | |
| YCoCg-R | JPEG XR Standard [43] | ||
| Image | Existing Compression Schemes | ||||
| FLIC | ZPAQ | FP8 | PAQ8 | STUFF IT | |
| kodim02 | 422 | 461 | 352 | 341 | 391 |
| kodim05 | 517 | 731 | 575 | 549 | 499 |
| kodim07 | 390 | 501 | 350 | 332 | 370 |
| kodim08 | 540 | 723 | 595 | 564 | 507 |
| kodim11 | 425 | 556 | 424 | 404 | 432 |
| kodim13 | 561 | 711 | 585 | 562 | 552 |
| kodim20 | 335 | 411 | 325 | 313 | 421 |
| kodim21 | 455 | 543 | 432 | 435 | 488 |
| kodim22 | 480 | 688 | 523 | 503 | 482 |
| kodim23 | 401 | 620 | 417 | 394 | 404 |
| TOTAL | 4526 | 5945 | 4578 | 4397 | 4546 |
| Image | Existing Compression Schemes | Proposed Compression Scheme | |||
| BMF | GRALIC | BBWCA(RDgDb) | BBWCA(LDgDb) | BBWCA(LDgEb) | |
| kodim02 | 438 | 397 | 700 | 685 | 539 |
| kodim05 | 512 | 480 | 742 | 742 | 847 |
| kodim07 | 395 | 333 | 654 | 653 | 715 |
| kodim08 | 524 | 498 | 681 | 681 | 878 |
| kodim11 | 438 | 401 | 585 | 586 | 703 |
| kodim13 | 565 | 534 | 707 | 708 | 821 |
| kodim20 | 339 | 308 | 506 | 533 | 612 |
| kodim21 | 465 | 474 | 524 | 525 | 690 |
| kodim22 | 485 | 439 | 675 | 681 | 788 |
| kodim23 | 411 | 367 | 635 | 633 | 659 |
| TOTAL | 4572 | 4231 | 6409 | 6427 | 7252 |
| Image | Proposed Compression Scheme | ||||
| BBWCA (YUV) | BBWCA (YUV)BPP for Y | U | V Channel | BBWCA(YA2UA2VA2) | BBWCA(YA7UA7VA7) | BBWCA(YA6UA6VA6) | |
| kodim02 | 372 | 2.73 | 0.58 | 0.56 | 506 | 691 | 294 |
| kodim05 | 398 | 3.02 | 1.79 | 1.09 | 580 | 785 | 441 |
| kodim07 | 387 | 2.77 | 1.45 | 1.25 | 442 | 709 | 374 |
| kodim08 | 437 | 3.06 | 1.67 | 1.70 | 628 | 700 | 537 |
| kodim11 | 375 | 2.79 | 1.56 | 1.23 | 451 | 598 | 497 |
| kodim13 | 472 | 3.11 | 1.46 | 0.96 | 483 | 806 | 458 |
| kodim20 | 492 | 2.42 | 1.27 | 0.74 | 334 | 709 | 205 |
| kodim21 | 419 | 3.17 | 1.48 | 1.53 | 480 | 560 | 545 |
| kodim22 | 478 | 3.00 | 1.43 | 1.18 | 527 | 726 | 428 |
| kodim23 | 493 | 2.56 | 1.38 | 1.20 | 460 | 710 | 420 |
| TOTAL | 4323 | 4891 | 6994 | 4199 | |
| UCID Image No | Original Size BMP | Compression Scheme | ||||||
|---|---|---|---|---|---|---|---|---|
| PNG | FP8 | BMF | FLIC | GRALIC | BBWCA (YUV) | BBWCA (YA6UA6VA6) | ||
| 1 | 578 | 468 | 299 | 522 | 278 | 264 | 378 | 207 |
| 2 | 578 | 486 | 297 | 256 | 276 | 259 | 395 | 210 |
| 3 | 578 | 606 | 363 | 296 | 325 | 307 | 410 | 410 |
| 4 | 578 | 536 | 339 | 297 | 316 | 298 | 342 | 237 |
| 5 | 578 | 576 | 382 | 328 | 346 | 332 | 374 | 241 |
| 6 | 578 | 560 | 367 | 317 | 335 | 321 | 370 | 217 |
| 7 | 578 | 625 | 416 | 336 | 352 | 337 | 334 | 224 |
| 8 | 578 | 544 | 343 | 284 | 307 | 291 | 308 | 201 |
| 9 | 578 | 456 | 265 | 224 | 239 | 227 | 300 | 174 |
| 10 | 578 | 547 | 357 | 303 | 319 | 304 | 368 | 235 |
| 11 | 578 | 565 | 335 | 271 | 299 | 280 | 334 | 171 |
| 12 | 578 | 502 | 329 | 284 | 309 | 288 | 335 | 227 |
| 13 | 578 | 546 | 339 | 280 | 302 | 286 | 309 | 194 |
| 14 | 578 | 568 | 359 | 298 | 319 | 304 | 327 | 242 |
| 15 | 578 | 346 | 217 | 191 | 204 | 195 | 177 | 122 |
| 16 | 578 | 499 | 309 | 256 | 276 | 260 | 275 | 152 |
| 17 | 578 | 581 | 384 | 320 | 338 | 324 | 240 | 206 |
| 18 | 578 | 435 | 279 | 244 | 259 | 247 | 352 | 154 |
| 19 | 578 | 592 | 376 | 306 | 328 | 314 | 209 | 263 |
| 20 | 578 | 583 | 372 | 310 | 339 | 316 | 222 | 270 |
| 21 | 578 | 554 | 332 | 266 | 299 | 278 | 200 | 240 |
| 22 | 578 | 591 | 413 | 367 | 379 | 369 | 212 | 259 |
| 23 | 578 | 595 | 395 | 332 | 359 | 336 | 431 | 230 |
| 24 | 578 | 615 | 424 | 362 | 376 | 364 | 382 | 258 |
| 25 | 578 | 597 | 388 | 335 | 352 | 339 | 245 | 175 |
| Total | 14450 | 13573 | 8679 | 7585 | 7831 | 7440 | 7829 | 5519 |
© 2020 by the authors. Licensee MDPI, Basel, Switzerland. This article is an open access article distributed under the terms and conditions of the Creative Commons Attribution (CC BY) license (http://creativecommons.org/licenses/by/4.0/).
Share and Cite
Waleed, M.; Um, T.-W.; Khan, A.; Khan, A. On the Utilization of Reversible Colour Transforms for Lossless 2-D Data Compression. Appl. Sci. 2020, 10, 937. https://doi.org/10.3390/app10030937
Waleed M, Um T-W, Khan A, Khan A. On the Utilization of Reversible Colour Transforms for Lossless 2-D Data Compression. Applied Sciences. 2020; 10(3):937. https://doi.org/10.3390/app10030937
Chicago/Turabian StyleWaleed, Muhammad, Tai-Won Um, Aftab Khan, and Ali Khan. 2020. "On the Utilization of Reversible Colour Transforms for Lossless 2-D Data Compression" Applied Sciences 10, no. 3: 937. https://doi.org/10.3390/app10030937
APA StyleWaleed, M., Um, T.-W., Khan, A., & Khan, A. (2020). On the Utilization of Reversible Colour Transforms for Lossless 2-D Data Compression. Applied Sciences, 10(3), 937. https://doi.org/10.3390/app10030937

