Modified Silicone-SAPO34 Composite Materials for Adsorption Thermal Energy Storage Systems
Abstract
1. Introduction
2. Materials and Methods
2.1. Sample Preparation
- (1)
- Filler dispersion. Preliminarily SAPO34 zeolite powder was gradually dispersed under vigorous magnetic stirring in the polydimethylsiloxane (PDMS) compound for about 60 s. In order to obtain a homogenous dispersion of the filler and to reduce the solution viscosity, water and ethanol solvents were added to the mixture.
- (2)
- Composite slurry. Afterward, the polymethylhydrosiloxane (PMHS) compound was thoroughly added in the mixture obtained in point 1, always under vigorous magnetic stirring. The stirring was maintained for 60 s until a homogenous composite slurry is obtained.
- (3)
- Reaction activation. The catalyst (diluted in ethanol) is gently added in the composite slurry. A vigorous mixing was applied for about 20 s.
- (4)
- Molding. Immediately, the catalyst activated composite slurry was poured, by using a syringe tool:
- Into a cylindrical open mold (diameter 25 mm).
- Into the cavities of a corrugated cardboard (inner height and base of the cross section respectively equal to 5 mm and 10 mm, channel length equal to 5 cm).
The samples rest open to air at room temperature for about 30 s, to stabilize the mixture in the free surface area of the mold. - (5)
- Foaming. Finally, the foaming process was triggered putting the filled samples into an oven set at 60 °C for 24 h to allow the matrix curing. At the end of the curing process the obtained foams poured in a cylindrical mold were cut in order to get cubic samples with edge of about 20 mm.
2.2. Experimental Equipment and Methodology
2.2.1. Dynamic Water Vapor Adsorption Analyzer
2.2.2. Differential Scanning Calorimetry
- -
- Drying of the foam sample up to 85 °C over night.
- -
- Loading of the dry adsorbent material inside a crucible and sealing it to prevent humidity adsorption.
- -
- Measurement of the specific heat in temperature interval between 30 °C and 70 °C, employing the standard specific heat method against a reference material (sapphire method). The heating rate for specific heat measurement is usually 2 °C min−1.
2.2.3. Other Equipment
3. Results
3.1. Composite Foams Obtained through Almost Free Expansion Process
3.1.1. Morphology and Mechanical Properties
3.1.2. Adsorption Capacity
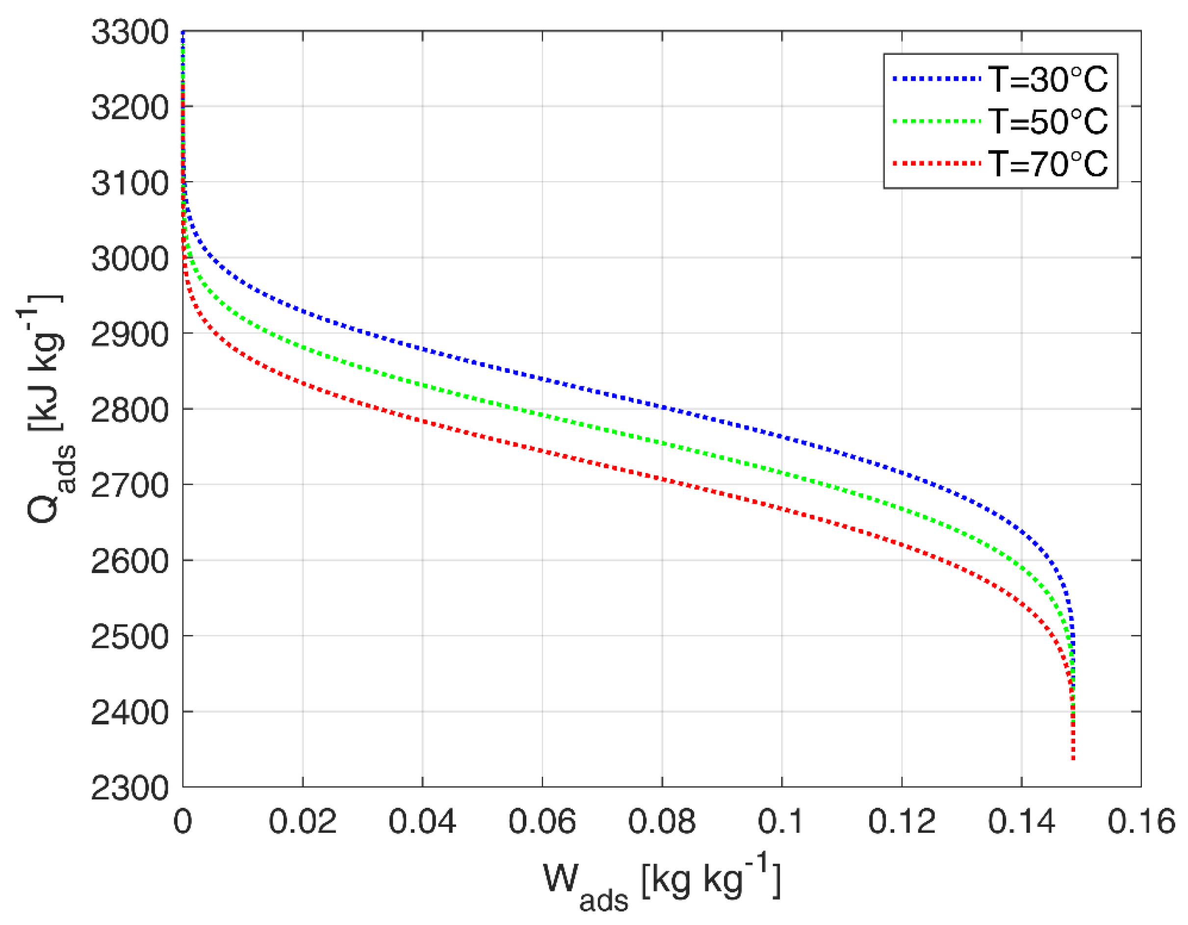
3.1.3. Specific Heat
3.2. Paperboard Foamed Samples
3.2.1. Morphology
3.2.2. Adsorption Capacity
4. Comparison with Other Storage Materials
5. Conclusions
Author Contributions
Funding
Conflicts of Interest
References
- Li, T.X.; Wang, R.Z.; Li, H. Progress in the development of solid–gas sorption refrigeration thermodynamic cycle driven by low-grade thermal energy. Prog. Energy Combust. Sci. 2014, 40, 1–58. [Google Scholar] [CrossRef]
- Palomba, V.; Frazzica, A. Recent advancements in sorption technology for solar thermal energy storage applications. Sol. Energy 2019, 192, 69–105. [Google Scholar] [CrossRef]
- Zouaoui, A.; Zili-Ghedira, L.; Nasrallah, S.B. Open solid desiccant cooling air systems: A review and comparative study. Renew. Sustain. Energy Rev. 2016, 54, 889–917. [Google Scholar] [CrossRef]
- Jani, D.B.; Mishra, M.; Sahoo, P.K. Solid desiccant air conditioning—A state of the art review. Renew. Sustain. Energy Rev. 2016, 60, 1451–1469. [Google Scholar] [CrossRef]
- Zheng, X.; Ge, T.S.; Wang, R.Z. Recent progress on desiccant materials for solid desiccant cooling systems. Energy 2014, 74, 280–294. [Google Scholar] [CrossRef]
- Henninger, S.K.; Ernst, S.-J.; Gordeeva, L.G.; Bendix, P.; Fröhlich, D.; Grekova, A.D.; Bonaccorsi, L.; Aristov, Y.; Jaenchen, J. New materials for adsorption heat transformation and storage. Renew. Energy 2017, 110, 59–68. [Google Scholar] [CrossRef]
- Zheng, X.; Wang, R.Z.; Ge, T.S.; Hu, L.M. Performance study of SAPO-34 and FAPO-34 desiccants for desiccant coated heat exchanger systems. Energy 2015, 93, 88–94. [Google Scholar] [CrossRef]
- Freni, A.; Maggio, G.; Sapienza, A.; Frazzica, A.; Restuccia, G.; Vasta, S. Comparative analysis of promising adsorbent/adsorbate pairs for adsorptive heat pumping, air conditioning and refrigeration. Appl. Therm. Eng. 2016, 104, 85–95. [Google Scholar] [CrossRef]
- Intini, M.; Goldsworthy, M.; White, S.; Joppolo, C.M. Experimental analysis and numerical modelling of an AQSOA zeolite desiccant wheel. Appl. Therm. Eng. 2015, 80, 20–30. [Google Scholar] [CrossRef]
- Li, X.H.; Hou, X.H.; Zhang, X.; Yuan, Z.X. A review on development of adsorption cooling—Novel beds and advanced cycles. Energy Convers. Manag. 2015, 94, 221–232. [Google Scholar] [CrossRef]
- Santamaria, S.; Sapienza, A.; Frazzica, A.; Freni, A.; Girnik, I.S.; Aristov, Y.I. Water adsorption dynamics on representative pieces of real adsorbers for adsorptive chillers. Appl. Energy 2014, 134, 11–19. [Google Scholar] [CrossRef]
- Freni, A.; Bonaccorsi, L.; Calabrese, L.; Caprì, A.; Frazzica, A.; Sapienza, A. SAPO-34 coated adsorbent heat exchanger for adsorption chillers. Appl. Therm. Eng. 2015, 82, 1–7. [Google Scholar] [CrossRef]
- Bonaccorsi, L.; Calabrese, L.; Freni, A.; Proverbio, E.; Restuccia, G. Zeolites direct synthesis on heat exchangers for adsorption heat pumps. Appl. Therm. Eng. 2013, 50, 1590–1595. [Google Scholar] [CrossRef]
- Girnik, I.S.; Aristov, Y.I. Making adsorptive chillers more fast and efficient: The effect of bi-dispersed adsorbent bed. Appl. Therm. Eng. 2016, 106, 254–256. [Google Scholar] [CrossRef]
- Bauer, J.; Herrmann, R.; Mittelbach, W.; Schwieger, W. Zeolite/aluminum composite adsorbents for application in adsorption refrigeration. Int. J. Energy Res. 2009, 33, 1233–1249. [Google Scholar] [CrossRef]
- De Antonellis, S.; Joppolo, C.M.; Molinaroli, L. Simulation, performance analysis and optimization of desiccant wheels. Energy Build. 2010, 42, 1386–1393. [Google Scholar] [CrossRef]
- Zhang, Y.; Wang, R. Sorption thermal energy storage: Concept, process, applications and perspectives. Energy Storage Mater. 2020, 27, 352–369. [Google Scholar] [CrossRef]
- De Antonellis, S.; Colombo, L.; Freni, A.; Joppolo, C. Feasibility study of a desiccant packed bed system for air humidification. Energy 2021, 214. [Google Scholar] [CrossRef]
- Aristov, Y.I. Concept of adsorbent optimal for adsorptive cooling/heating. Appl. Therm. Eng. 2014, 72, 166–175. [Google Scholar] [CrossRef]
- Calabrese, L.; Bonaccorsi, L.; Bruzzaniti, P.; Frazzica, A.; Freni, A.; Proverbio, E. Adsorption performances of SAPO34 silicone composite foams for adsorption heat pump applications. Mater. Renew. Sustain. Energy 2018, 7, 24. [Google Scholar] [CrossRef]
- Calabrese, L.; Bonaccorsi, L.; Freni, A.; Proverbio, E. Silicone composite foams for adsorption heat pump applications. Sustain. Mater. Technol. 2017, 12, 27–34. [Google Scholar] [CrossRef]
- Bonaccorsi, L.; Calabrese, L.; De Antonellis, S.; Freni, A.; Joppolo, C.; Motta, M. Composite silicone-SAPO-34 foams: Experimental characterization for open cycle applications. In Proceedings of the 13th REHVA World Congress, CLIMA 2019, Bucharest, Romania, 26–29 May 2019; Volume 111, pp. 1–4. [Google Scholar]
- Chruściel, J.J.; Leśniak, E. Preparation of flexible, self-extinguishing silicone foams. J. Appl. Polym. Sci. 2011, 119, 1696–1703. [Google Scholar] [CrossRef]
- Jawhar, M.-C.D.; Blanc, D.; Chaumont, P.; Cassagnau, P. Study of the Coalescence Mechanisms During Silicone Foaming. Macromol. Mater. Eng. 2013, 299, 336–343. [Google Scholar] [CrossRef]
- Ruthven, D.M. Principles of Adsorption and Adsorption Processes; John Wiley & Sons: Hoboken, NJ, USA, 1984. [Google Scholar]
- Nienborg, B.; Helling, T.; Fröhlich, D.; Horn, R.; Munz, G.; Schossig, P. Closed Adsorption Heat Storage—A Life Cycle Assessment on Material and Component Levels. Energies 2018, 11, 3421. [Google Scholar] [CrossRef]
- Brancato, V.; Frazzica, A. Characterisation and comparative analysis of zeotype water adsorbents for heat transformation applications. Sol. Energy Mater. Sol. Cells 2018, 180, 91–102. [Google Scholar] [CrossRef]
- Kakiuchi, H.; Shimooka, S.; Iwade, M.; Oshima, K.; Yamazaki, M.; Terada, S.; Watanabe, H.; Takewaki, T. Novel Water Vapor Adsorbent FAM-Z01 and its Applicability to an Adsorption Heat Pump. Kagaku Kogaku Ronbunshu 2005, 31, 361–364. [Google Scholar] [CrossRef]
- Calabrese, L.; Brancato, V.; Palomba, V.; Frazzica, A.; Cabeza, L.F. Assessment of the hydration/dehydration behaviour of MgSO4∙7H2O filled cellular foams for sorption storage applications through morphological and thermo-gravimetric analyses. Sustain. Mater. Technol. 2018, 17, 00073. [Google Scholar] [CrossRef]
- Calabrese, L.; Bonaccorsi, L.; Bruzzaniti, P.; Freni, A.; Proverbio, E. Morphological and functional aspects of zeolite filled siloxane composite foams. J. Appl. Polym. Sci. 2018, 135, 45683. [Google Scholar] [CrossRef]
- Vasta, S.; Brancato, V.; La Rosa, D.; Palomba, V.; Restuccia, G.; Sapienza, A.; Frazzica, A. Adsorption Heat Storage: State-of-the-Art and Future Perspectives. Nanomaterials 2018, 8, 522. [Google Scholar] [CrossRef]








| Component | Z0 | Z20 | Z40 | Z60 |
|---|---|---|---|---|
| PDMS—Siloxane | 42.6% | 37.4% | 29.8% | 21.7% |
| PMHS—Siloxane | 21.3% | 18.7% | 14.9% | 10.9% |
| Ethanol—Solvent | 14.9% | 12.3% | 10.3% | 7.6% |
| Water—Solvent | 10.6% | 8.7% | 7.4% | 5.4% |
| Sn(II)—Catalyst | 10.6% | 8.7% | 7.4% | 5.4% |
| Zeolite—Filler | 0% | 14.2% | 30.2% | 48.9% |
| Zeolite/Foam | 0% | 20% | 40% | 60% |
| Component | Z0 | Z20 | Z40 | Z60 | |
|---|---|---|---|---|---|
| Apparent Density (g cm3) | average | 0.27 | 0.30 | 0.37 | 0.91 |
| Stand. Dev. | 0.021 | 0.033 | 0.058 | 0.127 | |
| Average diameter (mm) | average | 1.21 | 1.07 | 0.66 | 0.26 |
| Stand. Dev. | 0.97 | 0.85 | 0.55 | 0.18 | |
| Elastic Modulus (MPa) | average | 0.031 | 0.050 | 0.055 | 1.552 |
| Stand. Dev. | 0.005 | 0.006 | 0.009 | 0.274 | |
| Comp. Stress (30% Strain) (MPa) | average | 0.005 | 0.006 | 0.014 | 0.340 |
| Stand. Dev. | 5 × 10−4 | 5 × 10−4 | 5 × 10−3 | 0.098 |
| Silica Gels | Zeolites | AlPOs/SAPOs | Composites | MOFs | Activated Carbons | Z60 | |
|---|---|---|---|---|---|---|---|
| Adsorption heat (kJ/kg) | 160/180 * | 50/300 * | 250/300 * | 50/250 * | 20/200 ** | 45/900 *** | 375/450 * |
| Typical desorption temperatures (°C) | 50/80 | 70/350 | 60/90 | 60/90 | 60/150 | 80/200 | 60/80 |
| Density (kg/m3) | 650/700 | 650/900 | 800/900 | 300/600 | 1000/2000 | 700/750 | 780/1030 |
| Specific heat (kJ/(kg °C)) | 0.8/0.9 | 0.85/0.95 | 0.85/0.95 | 0.95/1.05 | 0.8/1.2 | 0.8/1.5 | 0.8/1.5 |
| Thermal conductivity (W/(m °C)) | 0.15/0.20 | 0.15/0.25 | 0.15/0.25 | 0.15/0.30 | 0.10/015 | 0.15/0.75 | 0.15/0.25 |
| Possible refrigerants | water | water | water | water, methanol, ethanol | water, methanol, ethanol | methanol, ethanol, ammonia | water |
| Amount of uptake exchanged in a typical cycle (kg/kg) | 0.03/0.10 | up to 0.2 | up to 0.25 | up to 0.8 | 0.16/0.40 | 015/0.60 | up to 0.25 |
Publisher’s Note: MDPI stays neutral with regard to jurisdictional claims in published maps and institutional affiliations. |
© 2020 by the authors. Licensee MDPI, Basel, Switzerland. This article is an open access article distributed under the terms and conditions of the Creative Commons Attribution (CC BY) license (http://creativecommons.org/licenses/by/4.0/).
Share and Cite
Calabrese, L.; De Antonellis, S.; Vasta, S.; Brancato, V.; Freni, A. Modified Silicone-SAPO34 Composite Materials for Adsorption Thermal Energy Storage Systems. Appl. Sci. 2020, 10, 8715. https://doi.org/10.3390/app10238715
Calabrese L, De Antonellis S, Vasta S, Brancato V, Freni A. Modified Silicone-SAPO34 Composite Materials for Adsorption Thermal Energy Storage Systems. Applied Sciences. 2020; 10(23):8715. https://doi.org/10.3390/app10238715
Chicago/Turabian StyleCalabrese, Luigi, Stefano De Antonellis, Salvatore Vasta, Vincenza Brancato, and Angelo Freni. 2020. "Modified Silicone-SAPO34 Composite Materials for Adsorption Thermal Energy Storage Systems" Applied Sciences 10, no. 23: 8715. https://doi.org/10.3390/app10238715
APA StyleCalabrese, L., De Antonellis, S., Vasta, S., Brancato, V., & Freni, A. (2020). Modified Silicone-SAPO34 Composite Materials for Adsorption Thermal Energy Storage Systems. Applied Sciences, 10(23), 8715. https://doi.org/10.3390/app10238715

