Leaching Characteristics of Wood Biomass Fly Ash Cement Composites
Abstract
1. Introduction
2. Materials and Methods
2.1. Materials
2.2. Specimen Preparation and Testing Methods
3. Results and Discussion
3.1. Discussion of the Application of WBA in Agriculture
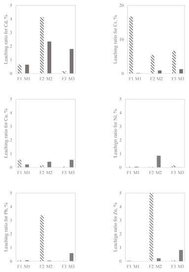
3.2. Leaching from the WBA and Crushed Cement Composites with 15% WBA as Cement Replacement
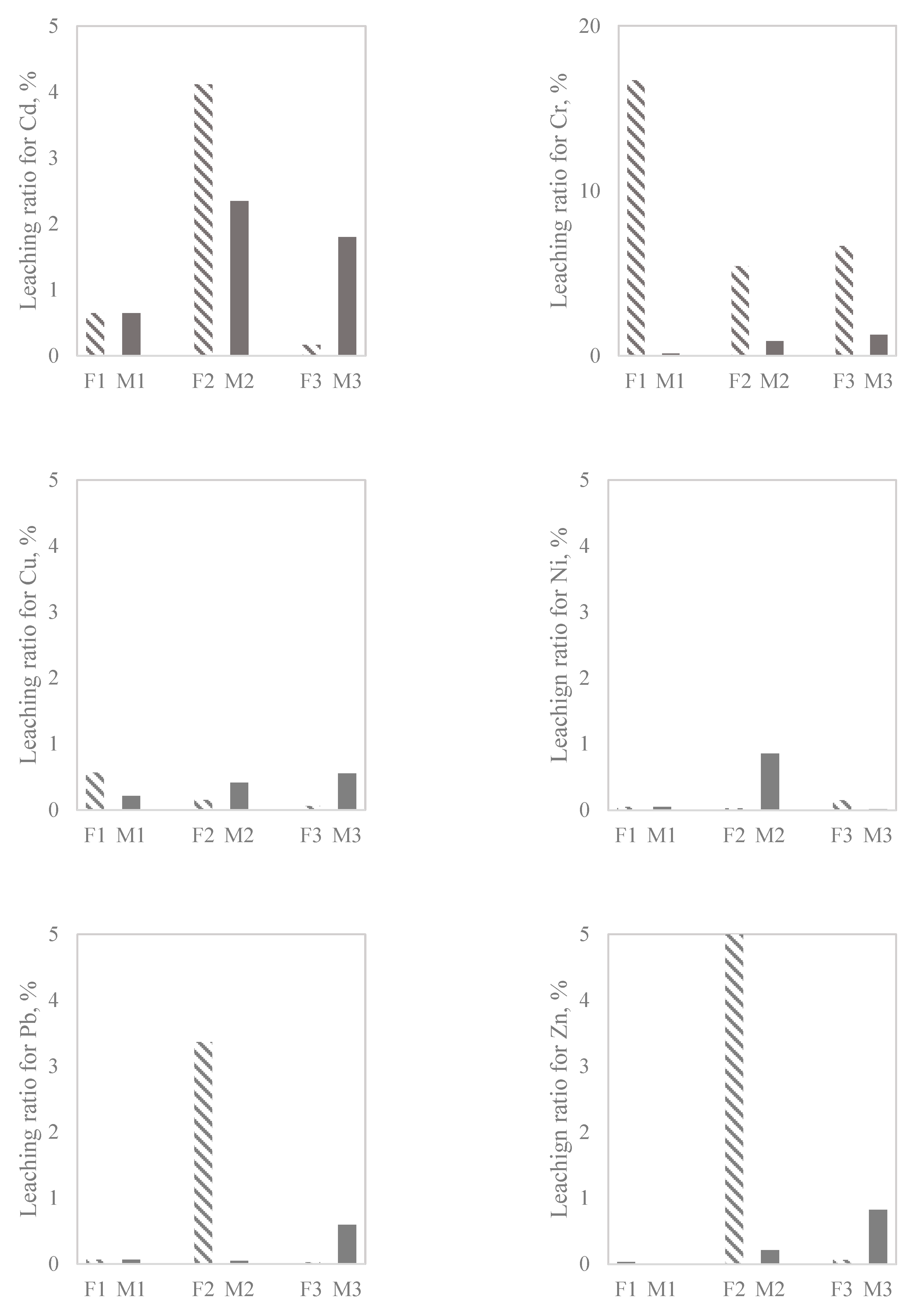
3.3. Leaching from the Monolithic Cement Samples
4. Conclusions
- As an overall quality measurement, the heavy metals index (HMI), indicates that the WBAs from power plants using a pulverised fuel combustor cannot be used in agriculture, although this should be further investigated.
- By comparing the test values from the WBA leaching to the limit values for the individual waste categories, it was found that all of the examined WBAs failed to meet the criteria for categorisation as inert waste based on at least one analysed parameter.
- The values for heavy metals leaching for the monolithic samples with 15% WBA as a substitute for cement are less than those for the reference sample, excepting Zn, but still lower than the specified criteria. All tested samples meet the criteria given in “Soil Quality Degree”.
- During various stages in the life cycle of cementitious building materials containing WBA, the heavy metals are stabilized in the cement matrix, and therefore WBA could be used in the construction sector following the basic construction requirement of “hygiene, health, and the environment”.
Author Contributions
Funding
Conflicts of Interest
Appendix A
| REF (mg/L) | ||||||||
| days | 0.25 | 1 | 2.25 | 4 | 9 | 16 | 36 | 64 |
| Cd | 0.007 | 0.007 | 0.007 | 0.005 | 0.002 | 0.004 | <0.001 | 0.001 |
| Cr | 0.011 | 0.007 | 0.004 | 0.006 | 0.004 | 0.003 | 0.006 | 0.006 |
| Cu | 0.016 | 0.019 | 0.019 | 0.003 | <0.001 | <0.001 | <0.001 | 0.022 |
| Ni | <0.001 | <0.001 | <0.001 | 0.001 | 0.003 | 0.002 | <0.001 | 0.005 |
| Pb | 0.001 | 0.004 | 0.002 | 0.003 | <0.001 | <0.001 | 0.001 | <0.001 |
| Zn | 0.024 | 0.02 | 0.015 | 0.007 | 0.002 | 0.003 | 0.003 | 0.008 |
| M15-1 (mg/L) | ||||||||
| days | 0.25 | 1 | 2.25 | 4 | 9 | 16 | 36 | 64 |
| Cd | 0.006 | 0.006 | 0.006 | 0.006 | 0.002 | 0.003 | <0.001 | <0.001 |
| Cr | 0.018 | 0.008 | 0.004 | 0.003 | 0.002 | 0.002 | 0.005 | 0.005 |
| Cu | 0.02 | 0.007 | 0.011 | 0.004 | <0.001 | <0.001 | <0.001 | 0.014 |
| Ni | <0.001 | <0.001 | <0.001 | <0.001 | 0.002 | 0.003 | 0.001 | 0.004 |
| Pb | 0.002 | 0.003 | 0.002 | 0.002 | <0.001 | <0.001 | 0.001 | <0.001 |
| Zn | 0.029 | 0.017 | 0.012 | 0.011 | 0.003 | 0.004 | 0.004 | 0.011 |
| M15-2 (mg/L) | ||||||||
| days | 0.25 | 1 | 2.25 | 4 | 9 | 16 | 36 | 64 |
| Cd | 0.005 | 0.007 | 0.007 | 0.006 | 0.002 | 0.002 | <0.001 | 0.001 |
| Cr | 0.009 | 0.005 | 0.009 | 0.004 | 0.004 | 0.002 | 0.005 | 0.003 |
| Cu | 0.01 | 0.012 | 0.014 | 0.007 | <0.001 | <0.001 | <0.001 | 0.004 |
| Ni | <0.001 | <0.001 | 0.004 | <0.005 | 0.002 | 0.003 | 0.001 | 0.004 |
| Pb | 0.001 | 0.002 | 0.002 | 0.003 | <0.001 | <0.001 | <0.001 | <0.001 |
| Zn | 0.023 | 0.016 | 0.017 | 0.024 | 0.003 | 0.015 | 0.008 | 0.004 |
| M15-3 (mg/L) | ||||||||
| days | 0.25 | 1 | 2.25 | 4 | 9 | 16 | 36 | 64 |
| Cd | 0.007 | 0.007 | 0.007 | 0.003 | 0.002 | 0.004 | <0.001 | <0.001 |
| Cr | 0.011 | 0.005 | 0.004 | 0.004 | 0.002 | 0.003 | 0.005 | 0.004 |
| Cu | 0.025 | 0.015 | 0.017 | 0.005 | <0.001 | <0.001 | <0.001 | 0.007 |
| Ni | <0.001 | <0.001 | <0.001 | <0.001 | 0.003 | 0.002 | <0.001 | 0.004 |
| Pb | 0.003 | 0.002 | 0.002 | <0.001 | <0.001 | <0.001 | 0.001 | 0.001 |
| Zn | 0.025 | 0.02 | 0.018 | 0.015 | 0.003 | 0.002 | 0.004 | 0.007 |
References
- World Bioenergy Association Global Bioenergy Statistics 2014. Glob. Bioenergy Stat. 2014, 40. [CrossRef]
- Bohrn, G.; Stampfer, K. Untreated Wood Ash as a Structural Stabilizing Material in Forest Roads. Croat. J. For. Eng. 2001, 35, 81–90. [Google Scholar]
- van Loo, S.; Koppejan, J. The Handbook of Biomass Combustion and Co-Firing, 2nd ed.; Earthscan: London, UK, 2012; ISBN 978-1-84407-249-1. [Google Scholar]
- European Parliament and the Council of the European Union Directive 2008/98/EC of the European Parliament and of the Council of 19 November 2008 on waste and repealing certian Directives. Off. J. Eur. Union 2008, L 312/3, 99–126.
- European Parliament and the Council of the European Union Directive (EU) 2018/851 of the European Parliament and of the Council of 30 May 2018 amending Directive 2008/98/EC on waste. Off. J. Eur. Union 2018, L150/109, 31.
- Carević, I.; Serdar, M.; Štirmer, N.; Ukrainczyk, N. Preliminary screening of wood biomass ashes for partial resources replacements in cementitious materials. J. Clean. Prod. 2019, 229, 1045–1064. [Google Scholar] [CrossRef]
- Pitman, R.M. Wood ash use in forestry—A review of the environmental impacts. Forestry 2006, 79, 563–588. [Google Scholar] [CrossRef]
- Rajamma, R.; Ball, R.J.; Tarelho, L.A.C.; Allen, G.C.; Labrincha, J.A.; Ferreira, V.M. Characterisation and use of biomass fly ash in cement-based materials. J. Hazard. Mater. 2009, 172, 1049–1060. [Google Scholar] [CrossRef]
- Steenari, B.M.; Lindqvist, O. Stabilisation of biofuel ashes for recycling to forest soil. Biomass Bioenergy 1997, 13, 39–50. [Google Scholar] [CrossRef]
- Ukrainczyk, N.; Vrbos, N.; Koenders, E.A.B. Reuse of Woody Biomass Ash Waste in Cementitious Materials. Chem. Biochem. Eng. Q. 2016, 30, 137–148. [Google Scholar] [CrossRef]
- Berra, M.; Mangialardi, T.; Paolini, A.E. Reuse of woody biomass fly ash in cement-based materials. Constr. Build. Mater. 2015, 76, 286–296. [Google Scholar] [CrossRef]
- Obernberger, I.; Supancic, K. Possibilities of ash utilisation from biomass combustion plants. In Proceedings of the 17th European Biomass Conference & Exhibition, Hamburg, Germany, 29 June–3 July 2009. [Google Scholar]
- Amjad, M.; Khan, S.; Khan, A.; Alam, M. Soil contamination with cadmium, consequences and remediation using organic amendments. Sci. Total Environ. 2017, 601–602, 1591–1605. [Google Scholar] [CrossRef]
- Khan, A.A.; de Jong, W.; Jansens, P.J.; Spliethoff, H. Biomass combustion in fluidized bed boilers: Potential problems and remedies. Fuel Process. Technol. 2009, 90, 21–50. [Google Scholar] [CrossRef]
- Plum, L.M.; Rink, L.; Haase, H. The Essential Toxin: Impact of Zinc on Human Health. Int. J. Environ. Res. Public Health 2010, 7, 1342–1365. [Google Scholar] [CrossRef] [PubMed]
- Marx, S.K.; Stromsoe, N. Global-scale patterns in anthropogenic Pb contamination reconstructed from natural archives. Environ. Pollut. 2016, 213, 283–298. [Google Scholar] [CrossRef] [PubMed]
- Cenni, R.; Janisch, B.; Spliethoff, H.; Hein, K.R. Legislative and environmental issues on the use of ash from coal and municipal sewage sludge co-firing as construction material. Waste Manag. 2001, 21, 17–31. [Google Scholar] [CrossRef]
- da Luz Garcia, M.; Sousa-Coutinho, J. Strength and durability of cement with forest waste bottom ash. Constr. Build. Mater. 2013, 41, 897–910. [Google Scholar] [CrossRef]
- Pesonen, J.; Kuokkanen, T.; Rautio, P.; Lassi, U. Bioavailability of nutrients and harmful elements in ash fertilizers: Effect of granulation. Biomass Bioenergy 2017, 100, 92–97. [Google Scholar] [CrossRef]
- Mellbo, P.; Sarenbo, S.; Stålnacke, O.; Claesson, T. Leaching of wood ash products aimed for spreading in forest floors—Influence of method and L/S ratio. Waste Manag. 2008, 28, 2235–2244. [Google Scholar] [CrossRef]
- Lanzerstorfer, C. Characterization of Fly Ashes from Biomass Combustion with Focus on Their Utilization. Ph.D. Thesis, University of Natural Resources and Life Sciences, Vienna, Austria, 20 May 2016. [Google Scholar]
- Berra, M.; Paolini, A.E.; Mangialardi, T. Environmental quality of hardened wood fly ash-cement mixtures. Proc. Inst. Civ. Eng. Waste Resour. Manag. 2016, 169, 3–13. [Google Scholar] [CrossRef]
- Republic of Croatia Ministry of Environmental and Nature. Protection Ordinance on by-products and end-of-waste status (OG 11/14). Off. Gazzete 2014, 114, 1–10. [Google Scholar]
- Candamano, S.; De Luca, P.; Frontera, P. Production of Geopolymeric Mortars Containing Forest Biomass Ash as Partial Replacement of Metakaolin. Environments 2017. [Google Scholar] [CrossRef]
- Rajamma, R.; Labrincha, J.A.; Ferreira, V.M. Alkali activation of biomass fly ash-metakaolin blends. Fuel 2012, 98, 265–271. [Google Scholar] [CrossRef]
- Abdulkareem, O.A.; Ramli, M.; Matthews, J.C. Production of geopolymer mortar system containing high calcium biomass wood ash as a partial substitution to fly ash: An early age evaluation. Compos. Part. B 2019, 174, 106941. [Google Scholar] [CrossRef]
- Fernández-pereira, C.; De Casa, J.A.; Gómez-barea, A.; Arroyo, F.; Leiva, C.; Luna, Y. Application of biomass gasification fly ash for brick manufacturing. Fuel 2011, 90, 220–232. [Google Scholar] [CrossRef]
- Kizinievic, O.; Kizinievic, V. Utilisation of wood ash from biomass for the production of ceramic products. Constr. Build. Mater. 2020, 127, 264–273. [Google Scholar] [CrossRef]
- Cabrera, M.; Agrela, F.; Ayuso, J.; Galvin, A.P.; Rosales, J. Feasible use of biomass bottom ash in the manufacture of cement treated recycled materials. Mater. Struct. 2016, 49, 3227–3238. [Google Scholar] [CrossRef]
- Zagvozda, M.; Dimter, S.; Rukavina, T.; Grubeša, I.N. Possibilities of bioash application in road building. Građevinar 2018, 70, 393–402. [Google Scholar] [CrossRef]
- Sarkkinen, M.; Kujala, K.; Kemppainen, K.; Gehör, S. Effect of biomass fly ashes as road stabilisation binder. Road Mater. Pavement Des. 2018, 19. [Google Scholar] [CrossRef]
- Batt, A.S.; Garg, A. Partial Replacement of Wood Ash with Ordinary Portland Cement and Foundry Sand as Fine Aggregate. J. Civ. Environ. Eng. 2017, 7, 1–5. [Google Scholar] [CrossRef]
- Yang, Z.; Huddleston, J.; Brown, H. Effects of Wood Ash on Properties of Concrete and Flowable Fill. J. Mater. Sci. Chem. Eng. 2016, 4, 101–114. [Google Scholar] [CrossRef]
- Naik, T.R.; Kraus, R.N.; McCormick, S. Recycling of Wood Ash in Cement-Based Construction Materials. 2001. Available online: https://citeseerx.ist.psu.edu/viewdoc/download?doi=10.1.1.1059.9743&rep=rep1&type=pdf (accessed on 3 December 2020).
- Elahi, M.; Qazi, A.U.; Yousaf, M.; Akmal, U. Application of wood ash in the production of concrete. Sci. Int. 2015, 27, 1277–1280. [Google Scholar]
- Naik, T.R.; Kraus, R.N. Wood Ash: A New Source of Pozzolanic Material. Concr. Int. 2003, 25, 55–62. [Google Scholar]
- Elinwa, A.U.; Mahmood, Y.A. Ash from timber waste as cement replacement material. Cem. Concr. Compos. 2002, 24, 219–222. [Google Scholar] [CrossRef]
- Chowdhury, S.; Maniar, A.; Suganya, O.M. Strength development in concrete with wood ash blended cement and use of soft computing models to predict strength parameters. J. Adv. Res. 2014, 6, 907–913. [Google Scholar] [CrossRef] [PubMed]
- Udoeyo, F.F.; Inyang, H.; Young, D.T.; Oparadu, E.E. Potential of Wood Waste Ash as an Additive in Concrete. J. Mater. Civ. Eng. 2006, 18, 605–611. [Google Scholar] [CrossRef]
- Biernacki, J.J.; Bullard, J.W.; Sant, G.; Banthia, N.; Glasser, F.P.; Jones, S.; Ley, T.; Livingston, R.; Nicoleau, L.; Olek, J.; et al. Cements in the 21st Century: Challenges, Perspectives, and Opportunities. J. Am. Ceram. Soc. 2017, 100, 2746–2773. [Google Scholar] [CrossRef]
- Popović, K.; Rosković, R.; Bjegović, D. Cement production and sustainable development. GRAĐEVINAR 2003, 55, 201–206. [Google Scholar]
- International Energy Agency; Levi, P.; Vass, T.; Mandová, H.; Gouy, A. Cement. 2020. Available online: https//www.iea.org/reports/cement (accessed on 26 November 2020).
- UN Environment; Scrivener, K.L.; John, V.M.; Gartner, E.M. Eco-Efficient Cements: Potential, Economically Viable Solutions for a Low-CO2, Cement-Based Materials Industry. Cem. Concr. Res. 2018, 114, 2–26. [Google Scholar] [CrossRef]
- IEA Bioenergy. Options for Increased Use of Ash from Biomass Combustion and Co-Firing. Available online: https://www.ieabioenergy.com/wp-content/uploads/2019/02/IEA-Bioenergy-Ash-management-report-revision-5-november.pdf (accessed on 3 December 2020).
- EN 450-1: Fly Ash for Concrete—Part 1: Definition, Specifications and Conformity Criteria; The European Committee for Standardization (CEN): Brussels, Belgium, 2012.
- ASTM C618 Standard Specification for Coal Fly Ash and Raw or Calcined Natural Pozzolan for Use; ASTM International: West Conshohocken, PA, USA, 2019; pp. 3–6.
- Carević, I.; Baričević, A.; Štirmer, N.; Bajto Šantek, J. Correlation between physical and chemical properties of wood biomass ash and cement composites performances. Constr. Build. Mater. 2020, 256. [Google Scholar] [CrossRef]
- Sigvardsen, N.M.; Geiker, M.R.; Ottosen, L.M. Phase development and mechanical response of low-level cement replacements with wood ash and washed wood ash. Constr. Build. Mater. 2020, 121234. [Google Scholar] [CrossRef]
- Fusade, L.; Viles, H.; Wood, C.; Burns, C. The effect of wood ash on the properties and durability of lime mortar for repointing damp historic buildings. Constr. Build. Mater. 2020, 212, 500–513. [Google Scholar] [CrossRef]
- Juenger, M.C.G.; Snellings, R.; Bernal, S.A. Supplementary cementitious materials: New sources, characterization, and performance insights. Cem. Concr. Res. 2019, 122, 257–273. [Google Scholar] [CrossRef]
- Li, J.; Zhang, W.; Li, C.; Monteiro, P.J.M. Eco-friendly mortar with high-volume diatomite and fl y ash: Performance and life-cycle assessment with regional variability. J. Clean. Prod. 2020, 261, 121224. [Google Scholar] [CrossRef]
- Miller, S.A.; Moore, F.C. Climate and health damages from global concrete production. Nat. Clim. Chang. 2020, 10, 439–443. [Google Scholar] [CrossRef]
- Monteiro, P.J.M.; Miller, S.A.; Horvath, A. Produce and use with care—Towards sustainable concrete. Nat. Publ. Gr. 2017, 16, 698–699. [Google Scholar] [CrossRef]
- Medina, J.M.; Sáez del Bosque, I.F.; Frías, M.; Sánchez de Rojas, M.I.; Medina, C. Characterisation and valorisation of biomass waste as a possible addition in eco-cement design. Mater. Struct. 2017, 50, 1–13. [Google Scholar] [CrossRef]
- Pavlíková, M.; Zemanová, L.; Pokorny, J.; Lojka, M.; Sedmidubsky, D. Valorization of wood chips ash as an eco-friendly mineral admixture in mortar mix design. Waste Manag. 2018, 80, 89–100. [Google Scholar] [CrossRef]
- Manskinen, K.; Nurmesniemi, H.; Pöykiö, R. Occupational risk evaluation of using bottom ash and fly ash as a construction material. J. Hazard. Toxic Radioact. Waste 2011, 16, 79–87. [Google Scholar] [CrossRef][Green Version]
- Tosti, L.; van Zomeren, A.; Pels, J.R.; Comans, R.N.J. Technical and environmental performance of lower carbon footprint cement mortars containing biomass fly ash as a secondary cementitious material. Resour. Conserv. Recycl. 2018, 134, 25–33. [Google Scholar] [CrossRef]
- Sigvardsen, N.M.; Kirkelund, G.M.; Jensen, P.E.; Geiker, M.R.; Ottosen, L.M. Impact of production parameters on physiochemical characteristics of wood ash for possible utilisation in cement-based materials. Resour. Conserv. Recycl. 2019, 145, 230–240. [Google Scholar] [CrossRef]
- Hansen, H.K.; Pedersen, A.J.; Ottosen, L.M.; Villumsen, A. Speciation and mobility of cadmium in straw and wood combustion fly ash. Chemosphere 2001, 45, 2–7. [Google Scholar] [CrossRef]
- EU Office Regulation of the European Parliament and of the Council of 9 March 2011 laying down harmonised conditions for the marketing of construction products and repealing Council Directive 89/106/EEC. Off. J. Eur. Union 2011, 88, 5–43.
- Kosson, D.S.; Van Der Sloot, H.A.; Sanchez, F.; Garrabrants, A.C. An Integrated Framework for Evaluating Leaching in Waste Management and Utilization of Secondary Materials. Environ. Eng. Sci. 2002, 19, 159–204. [Google Scholar] [CrossRef]
- Chowdhury, S.; Mishra, M.; Suganya, O. The incorporation of wood waste ash as a partial cement replacement material for making structural grade concrete: An overview. Ain Shams Eng. J. 2015, 6, 429–437. [Google Scholar] [CrossRef]
- Milovanović, B.; Štirmer, N.; Carević, I.; Baričević, A. Wood biomass ash as a raw material in concrete industry. Građevinar 2019, 71, 505–514. [Google Scholar] [CrossRef]
- EN ISO 16948: Solid Biofuels—Determination of Total Content of Carbon, Hydrogen and Nitrogen; The European Committee for Standardization (CEN): Brussels, Belgium, 2015.
- ASTM D6722 Standard Test Method for Total Mercury in Coal and Coal Combustion Residues by Direct Combustion Analysis; ASTM International: West Conshohocken, PA, USA, 2011.
- Berra, M.; De Casa, G.; Orso, M.D.; Galeotti, L.; Mangialardi, T.; Paolini, A.E.; Piga, L. Reuse of Woody Biomass Fly Ash in Cement-Based Materials: Leaching Tests. In Recycling of Biomass Ashes; Springer: Berlin/Heidelberg, Germany, 2011; pp. 133–146. ISBN 978-3-642-19353-8. [Google Scholar]
- Dr. Art Ragauskas Chemical Composition Biomass Fly Ash: DC Chemical Composition Biomass Fly Ash: MicroElements. Available online: http://biorefinery.utk.edu/technical_reviews/ (accessed on 26 June 2017).
- Ole, H.; Margareta, W.; Andersson, M.T.; Jutta, L.-Y.; Ebba, W.; Rihm, T. Treatment Methods for Waste to be Landfilled; Nordic Council of Ministers: Copenhagen, Denmark, 2009. [Google Scholar]
- Demirbaş, A. Heavy metal contents of fly ashes from selected biomass samples. Energy Sources 2005, 27, 1269–1276. [Google Scholar] [CrossRef]
- EN 197-1:2011 Cement—Part 1: Composition, Specifications and Conformity Criteria for Common Cements; The European Committee for Standardization (CEN: Brussels, Belgium, 2011.
- EN 12457-4:2002: Characterization of waste—Leaching—Compliance test for Leaching of Granular Waste Materials and Sludges—Part 2: One Stage Batch Test at a Liquid to Solid Ratio of 10 l/kg for Materials with Particle Size below 4 mm (without or with Size Reduction); The European Committee for Standardization (CEN): Brussels, Belgium, 2002.
- EN 196-1:2016: Methods of Testing Cement—Part 1: Determination of Strength; The European Committee for Standardization (CEN): Brussels, Belgium, 2016.
- CEN/TS 16637-2: Horizontal Dynamic Surface Leaching Test (DLST) for Determination of Surface Dependent Release of Substances from Monolithic or Plate-Like or Sheet-Like Construction Products; The European Committee for Standardization (CEN): Brussels, Belgium, 2014.
- CEN/TS 16637-1:2014: Construction Products—Assessment of Release of Dangerous Substances—Part 1: Guidance for the Determination of Leaching Tests and Additional Testing Steps; The European Committee for Standardization (CEN): Brussels, Belgium, 2014.
- Barbir, D. Studija Utjecaja Štetnih Otpada na Procese Hidratacije i Fizikalo-Kemijska te Mehanička Svojstva Cemetnih Kompozita (in Croatian); Sveučilište u Splitu Kemijsko tehnološki fakultet: Split, Croatia, 2013. [Google Scholar]
- EN 196-3:2016: Methods of Testing Cement—Part 3: Determination of Setting Times and Soundness; The European Committee for Standardization (CEN): Brussels, Belgium, 2016.
- Technical Office for Agriculture, Working group Compost—Consulting and Development. Heavy Metals and Organic Compounds from Wastes Used as Organic Fertilisers—Annex 2 Compost Quality Definition—Legislation and Standards. Available online: https://ec.europa.eu/environment/waste/compost/pdf/hm_annex2.pdf (accessed on 3 December 2020).
- Ministry of Environment and Nature of the Republic of Croatia. Regulation on the methods and conditions for waste disposal, categories and working conditions for landfill sites (OG 114/2015). Off. Gazzete 2015, 114, 1–10. [Google Scholar]
- The Council of the European Union Council decision of 19 December 2002 establishing criteria and procedures for the acceptance of waste at landfills pursuant to Article 16 of and Annex II to Directive 1999/31/EC. Off. J. Eur. Commun. 2003, L 11/27, 1–23.
- Achternbosch, M.; Bräutigam, K.; Hartlieb, N.; Stemmermann, P. Impact of the use of waste on trace element concentrations in cement and concrete. Waste Manag. Res. 2005, 23, 328–337. [Google Scholar] [CrossRef]
- Barbosa, R.; Lapa, N.; Dias, D.; Mendes, B. Concretes containing biomass ashes: Mechanical, chemical, and ecotoxic performances. Constr. Build. Mater. 2013, 48, 457–463. [Google Scholar] [CrossRef]
- De Grauw, A.; Marion, A.; De Lane, M. Study of the leaching behaviour of paving concretes: Quantification of heavy metal content in leachates issued from tank test using demineralized water. Cem. Conrete Res. 2005, 35, 951–957. [Google Scholar] [CrossRef]
- Shi, H.; Kan, L. Leaching behavior of heavy metals from municipal solid wastes incineration (MSWI) fly ash used in concrete. J. Hazard. Mater. 2009, 164, 750–754. [Google Scholar] [CrossRef]
- Sollars, B.C.J.; Perry, R.; Fellow, F. Cement-based Stabilization of Wastes: Practical and Theoretical Considerations. Water Environ. J. 1989, 3, 125–134. [Google Scholar] [CrossRef]
- Yu, Q.; Nagataki, S.; Lin, J.; Saeki, T.; Van der Sloot, H.A.; Van Zomeren, A.; Meeussen, J.C.L.; Hoede, D.; Rietra, R.P.J.J.; Stenger, R.; et al. Environmental Criteria for Cement Based Products Phase I: Ordinary Portland Cement Phase II: Blended Cements and Methodology for Impact Assessment; ECN Publication; ECN-E--11-020; Energy Research Centre of the Netherlands: Petten, The Netherlands, 2011. [Google Scholar]
- Yu, Q.; Nagataki, S.; Lin, J.; Saeki, T.; Hisada, M. The leachability of heavy metals in hardened fly ash cement and cement-solidified fly ash. Cem. Concr. Res. 2005, 35, 1056–1063. [Google Scholar] [CrossRef]
- Li, X.D.; Poon, C.S.; Sun, H.; Lo, I.M.C.; Kirk, D.W. Heavy metal speciation and leaching behaviors in cement based solidified/stabilized waste materials. J. Hazard. Mater. 2001, 82, 215–230. [Google Scholar] [CrossRef]
- Gwenzi, W.; Mupatsi, N.M. Evaluation of heavy metal leaching from coal ash-versus conventional concrete monoliths and debris. Waste Manag. 2016, 49, 114–123. [Google Scholar] [CrossRef]
- Ministry of Infrastructure and Water Management Netherland: Soil Quality Regulation. Available online: https://rwsenvironment.eu/subjects/soil/legislation-and/soil-quality-decree/ (accessed on 3 December 2020).


| Plant Designation | Plant Power (Electric and Thermal Energy) | Combustion Technology | Furnace Temperature (°C) | Additives Used during Combustion |
|---|---|---|---|---|
| 1 | 4.6 MWel 10 MWth | Grate combustor + pulverized fuel combustor | 700–750 | - |
| 2 | 2.75 MWel 15 MWth | Grate combustor | 800 | - |
| 3 | 9.9 MWel 16 MWth | Bubbling fluidized bed | 850 | Quartz sand |
| Measured Values from WBA Samples | Cement | Values from the Literature | ||||
|---|---|---|---|---|---|---|
| WBA1 | WBA2 | WBA3 | Bottom WBA [7] | Fly WBA [7,8,56,57,66,67,68,69] | ||
| Zn (mg/kg) | 1850 | 314.7 | 139 | 182.4 | 15–1000 | 34–17 470 |
| Cd (mg/kg) | 3.1 | 2.6 | 6 | 0.93 | 0.4–0.7 | 1–60 |
| Cr (mg/kg) | 50 | 123 | 61.7 | 63.9 | <60 | 18–160 |
| Ni (mg/kg) | 79.6 | 170.3 | 35.2 | 68.7 | 40–250 | 20–102 |
| Pb (mg/kg) | 79.9 | 101.4 | 37.8 | 1.9 | 15–60 | 12–5318 |
| Mn (mg/kg) | 6565 | 1660 | 942 | 617.3 | 2500–5500 | 6000–9000 |
| Co (mg/kg) | 11.2 | 26 | 15.8 | 7.9 | 0–7 | 3–200 |
| Ba (mg/kg) | 588.8 | 1437 | 545 | 236.7 | / | 669–2210 |
| Bi (mg/kg) | 44.8 | 2.8 | 25.2 | <0.02 | / | / |
| Sr (mg/kg) | 408.5 | 314.7 | 485 | 1775.4 | / | 667–1065 |
| Cu (mg/kg) | 84.4 | 79.7 | 56.1 | 30.6 | 15–300 | 27–920 |
| Hg (mg/kg) | <0.003 | 0.01 | 0.189 | 0.042 | 0.4 | 0.1–1.1 |
| HMI | 20.57 | 17.27 | 13.67 | 6.49 | / | / |
| Testing Method | Tested Samples | Sample Designation after Testing |
|---|---|---|
| EN 12457-2:2005 | Eluate of samples WBA1, WBA2 and WBA3 | F1, F2, F3 |
| Crushed mortar with 15% of WBA replacement 1, 2 and 3 and reference mixture | M0, M1, M2, M3 | |
| CEN/TS 16637-2 | Monolithic samples with 15% WBA replacement 1, 2 and 3 and reference mixture | REF, M15-1, M15-2, M15-3 |
| Sample Designation | Water, g | Cement, g | WBA, g | Standardized Consistency, % |
|---|---|---|---|---|
| REF | 141.5 | 500 | - | 28.3 |
| M15-1 | 217 | 425 | 75 | 43.4 |
| M15-2 | 142 | 425 | 75 | 28.4 |
| M15-3 | 160 | 425 | 75 | 32.0 |
| Heavy Metal | Finland | Sweden | Denmark | Lithuania | Austria | Croatia |
|---|---|---|---|---|---|---|
| As | 40 | 30 | - | 30 | 20 | - |
| Cd | 25 | 30 | 15 | 30 | 5–8 | 0.7–3 |
| Cu | 700 | 400 | - | 400 | 200–250 | 70–500 |
| Pb | 150 | 300 | 120 | 300 | 100–200 | 45–200 |
| Zn | 4500 | 7000 | - | 7000 | 1200–1500 | 200–1800 |
| Cr | 300 | 100 | 100 | 100 | 150–250 | 70–250 |
| Ni | 150 | 70 | 30–60 | 70 | 150–200 | 25–100 |
| V | - | 70 | - | 70 | 100 | - |
| B | - | 500 | - | 500 | - | - |
| Hg | 1.0 | 3 | 0.8 | 3 | - | 0.4–3 |
| Co | - | - | - | - | 100 | - |
| Mo | - | - | - | - | 20 | - |
| Eluate of Samples WBA1, WBA2 and WBA3, mg/kg | Crushed Mortar with 15% WBAs 1, 2 and 3, and the Reference Mixture, mg/kg | Leaching Limit Values Based on WAC (Waste Acceptance Criteria), mg/kg, L/S = 10 | ||||||||
|---|---|---|---|---|---|---|---|---|---|---|
| F1 | F2 | F3 | M0 | M1 | M2 | M3 | Inert Waste | Non-Hazardous Waste | Hazardous Waste | |
| Cd | 0.02 | 0.107 | <0.01 | 0.056 | 0.02 | 0.061 | 0.108 | 0.04 | 1 | 5 |
| Cr | 8.35 | 6.681 | 4.10 | 1.241 | 0.07 | 1.081 | 0.778 | 0.5 | 10 | 70 |
| Cu | 0.48 | 0.12 | 0.034 | 0.23 | 0.18 | 0.33 | 0.31 | 2 | 50 | 100 |
| Ni | 0.04 | 0.047 | 0.051 | 0.024 | 0.04 | 1.449 | <0.006 | 0.4 | 10 | 40 |
| Pb | <0.05 | 3.41 | 0.010 | <0.05 | <0.05 | <0.05 | 0.224 | 0.5 | 10 | 50 |
| Zn | 0.63 | 15.722 | 0.086 | 1.172 | 0.02 | 0.652 | 1.137 | 4 | 50 | 200 |
| REF | M1-15 | M2-15 | M3-15 | Soil Quality Regulation | |
|---|---|---|---|---|---|
| Element | (mg/m2) | (mg/m2) | (mg/m2) | (mg/m2) | Limit Values for Ready-Made Construction Materials (mg/m2) |
| Cd | 2.99 | 2.61 | 2.70 | 3.06 | 3.8 |
| Cr | 4.23 | 4.23 | 3.69 | 3.42 | 120 |
| Cu | 7.11 | 5.04 | 4.23 | 6.22 | 98 |
| Ni | 0.99 | 0.90 | 1.26 | 0.81 | 81 |
| Pb | 0.99 | 0.90 | 0.81 | 0.81 | 400 |
| Zn | 7.37 | 8.19 | 9.90 | 8.47 | 800 |
Publisher’s Note: MDPI stays neutral with regard to jurisdictional claims in published maps and institutional affiliations. |
© 2020 by the authors. Licensee MDPI, Basel, Switzerland. This article is an open access article distributed under the terms and conditions of the Creative Commons Attribution (CC BY) license (http://creativecommons.org/licenses/by/4.0/).
Share and Cite
Carević, I.; Štirmer, N.; Trkmić, M.; Kostanić Jurić, K. Leaching Characteristics of Wood Biomass Fly Ash Cement Composites. Appl. Sci. 2020, 10, 8704. https://doi.org/10.3390/app10238704
Carević I, Štirmer N, Trkmić M, Kostanić Jurić K. Leaching Characteristics of Wood Biomass Fly Ash Cement Composites. Applied Sciences. 2020; 10(23):8704. https://doi.org/10.3390/app10238704
Chicago/Turabian StyleCarević, Ivana, Nina Štirmer, Marija Trkmić, and Karmen Kostanić Jurić. 2020. "Leaching Characteristics of Wood Biomass Fly Ash Cement Composites" Applied Sciences 10, no. 23: 8704. https://doi.org/10.3390/app10238704
APA StyleCarević, I., Štirmer, N., Trkmić, M., & Kostanić Jurić, K. (2020). Leaching Characteristics of Wood Biomass Fly Ash Cement Composites. Applied Sciences, 10(23), 8704. https://doi.org/10.3390/app10238704

