Next Article in Journal
Bio-Energy Generation from Synthetic Winery Wastewaters
Previous Article in Journal
Fault Diagnosis for a Class of Robotic Systems with Application to 2-DOF Helicopter
Previous Article in Special Issue
High-Quality ITO/Al-ZnO/n-Si Heterostructures with Junction Engineering for Improved Photovoltaic Performance
 
 
Font Type:
Arial Georgia Verdana
Font Size:
Aa Aa Aa
Line Spacing:
Column Width:
Background:
Article

Neuromorphic Spatiotemporal Information Processing Using Neuro-Photodetector Systems

1
Photoelectric and Energy Device Application Lab (PEDAL), Multidisciplinary Core Institute for Future Energies (MCIFE), Incheon 22012, Korea
2
Department of Electrical Engineering, Incheon National University, 119 Academy Rd., Yeonsu, Incheon 22012, Korea
*
Author to whom correspondence should be addressed.
Appl. Sci. 2020, 10(23), 8358; https://doi.org/10.3390/app10238358
Submission received: 29 May 2020 / Revised: 31 October 2020 / Accepted: 20 November 2020 / Published: 25 November 2020
(This article belongs to the Special Issue Emerging Functional Devices and Advanced Photovoltaic Cells)

Abstract

Spatiotemporal information processing within the human brain is done by a joint task of neurons and synapses with direct optical inputs. Therefore, to mimic this neurofunction using photonic devices could be an essential step to design future artificial visual recognition and memory storage systems. Herein, we proposed and developed a proof-of-principle two-terminal device that exhibits key features of neuron (integration, leaky, and relaxation) and synapse (short- and long-term memory) together in response with direct optical input stimuli. Importantly, these devices with processing and memory features, are further effectively integrated to build an artificial neural network, which are enabled to do neuromorphic spatiotemporal image sensing. Our approach provides a simple but effective route to implement for an artificial visual recognition system, which also has applications in edge computing and the internet of things.

1. Introduction

Fundamental information processing units of the human brain are interconnected electrically excitable cells—known as neurons and synapses [1,2,3,4,5]. Importantly, depending on strength, duration, and repetition rate of the stimuli, the neurons exhibit few unique features, such as leaky integration, automatic fire, and recovery [5]. On the other hand, a synapse can store the memory typically short- and long-term memories [1,6,7]. Indeed, numerous interconnected neurons and synapses form micro- to nano-scale networks, provide a unique platform to do fault-tolerance, energy-efficient information processing, as well as store memory. This parallel architecture can effectively be implemented to design a robust computing system beyond the conventional von Neumann computer [3,5,8,9]. Therefore, research efforts have been made in recent years to mimic brain-like functions, artificially for instance, Mott insulator [5], redox memristors [1,5,10], phase-change memristors [3,5,11], and chalcogenide threshold switches [12] have been implemented for temporal synaptic integration. Nevertheless, with neuromorphic devices based on these approaches, there still exist a major impediment; specifically, memristors are suffering from nonlinearities, large write noise, and high operative voltage during operation, which in turn pose challenges to apply it for energy efficient brain-like computing [9,13]. An alternative could be to design photo-operated devices in contrast to the electric triggering, which in fact work with the real sense simulation, because around 70% of the information that humans get from the outside world comes from vision [4,14]. Furthermore, optical triggered devices operate without any contact, and provide promising approaches to realize high operating bandwidth and avoidable heating during operation [2,3,4,15,16].
It is worth it to mention here that the visual system is a unique part of the biological neural network, in which retina transforms light signals to electrical pulses, similar to a photodetector [17,18,19].
In fact, spatiotemporal information within the human brain is decoded by spatial and temporal occurrences of spikes within the neurons network. Therefore, to mimic this behavior, it is essential that the device emulates both space and time domains, simultaneously with direct optical inputs, and can conduct processing and memory within a single unit. Previously available visual systems contained separate image sensors, memory, and processing units, which in turn made it more complex and presented serious challenges in terms of large area device integration and power consumption. A simple photodetector that, for instance, could intrinsically show the bio-neuron equivalent desirable dynamics with direct optical pulses, and store the memory simultaneously, would be an effective approach. However, unlike the widely reported artificial synapses, the development of artificial photonic neurons—to the best of our knowledge—has not yet been demonstrated.
Herein, we report a novel approach to design a purely photonic-triggered artificial neuron and synapse with the same architecture and material. The device shows all essential functions of the neuron (such as leaky integration, fire) and short- and long-term memory storage, such as synapse, together in response with direct optical input. This functioning relies on the photo-induced electron-hole pair generation and its trapping via oxygen vacancies in the host material. Further, an array of such devices is capable of pattern classification and supervised learning based on spatiotemporal optical inputs. The present device emulates both the processes and memory functions of the brain, and will be a foundation of the next-generation neuromorphic computing system.

2. Materials and Methods

Device Fabrication: polyethylene terephthalate was used as a substrate, which was sequentially cleaned ultrasonically by acetone, methanol, and deionized (DI) water. The deposition of ZnO was done by using nitrogen gas as a transport precursor, which was also used to purge the chamber between dosing pulses with a flow rate of 50 sccm. For both the diethylzinc and H2O, the flushing time was set to 10 s. Deposition was performed at 150 °C. The number of cycles was 320, which in turn produced desired thickness. The deposition of Ag and Al were done using the sputtering technique with power of DC = 300 W, Ar gas flow of 50 sccm, with ultra-pure (99.99%) Ag and Al targets.
Characterizations: a field emission electron microscope (FESEM, JEOL, JSM-7800F), equipped with energy-dispersive X-ray spectroscopy (EDS) was used to study the device morphology and elemental analysis. An ultraviolet (wavelength = 365 nm) light-emitting diode (LED) light source was used for the photoresponse measurements. A function generator (MFG-3013A, MCH Instruments) was applied to the LED. Light intensity was calibrated using a power meter (KUSAM-MECO, KM-SPM-11). The chronoamperometry method with Au-coated probes was used to measure the photoresponse of the devices.

3. Results and Discussion

The biological neuron receives one or more inputs (e.g., A1, A2, etc.) and usually each input is separately weighed to produce an output (C1A1 + C2A2, … CnAn), as depicted schematically in Figure 1a [1,2,5,10]. Where, C1, C2, … Cn are the coefficients of weight of each input, containing the values from 0 to 1. We proposed a simple photodetector—termed neuro-photodetector—that could be used to mimic the basic functions of bio-neuron in which light (ultraviolet, UV) pulses work as inputs, and measured photocurrent between two terminals is termed the response form the neuron; see Figure 1b. In fact, the respective photocurrent (I1, I2, … In) generated by different inputs (e.g., P1, P2, … Pn) can be summed to produce the resultant output, where I1, I2, … In is the magnitude of the resultant photocurrent (e.g., weighed sum) produced by the P1, P2, …. Pn inputs, respectively. Particularly, the current transport across a photoconductive material can be altered easily by a series of optical pulses, which provide a unique opportunity to mimic the neuron and synapse. In contrast to the conventional photodetectors, a neuro-photodetector must exhibit a time-dependent output current, which in turn allows mimicking the neuron-like behavior. Such a neuro-photodetector is capable to integrate the photocurrent (Ip) over time, resulting in the Ip increasing gradually by applying multiple optical inputs, and once the Ip is above the threshold, the device fires the output like bio-neuron; see Figure 1c [9]. The threshold can be defined for specific application in which this artificial neuron is supposed to use. In fact, the output Ip behavior from the neuro-photodetector with applied pulse intensity/duration could show similar behavior, as is by the bio-neuron. On the other hand, the Ip decreases gradually during the UV, which is very similar to the leaky behavior of the bio-neuron. The increasing of Ip with UV illumination, and decreasing after that, are attributed to the UV induced electron-hole pair generation and recombination processes, respectively.
To prepare the neuro-photodetector, we used ZnO materials, in which the transducer is considered the determinant factor of charge transport. Therefore, these defects can be filled out by the photogenerated electron-hole (eh) pairs, resulting in a smooth charge transport or higher photocurrent [4,15,20]. In fact, as illuminating time and/or intensity increases, the defects within the used ZnO layer can be filled out, as shown sequentially from (1) to (4), which in turn increases the Ip as a fixed measuring voltage, as depicted schematically in Figure 1d. On the other hand, a slow decay of the Ip originated from well-known persistent photoconductivity (PPC) due to absorption and desorption of oxygen vacancies [2,6,21].
The schematic of the device is depicted in Figure 2a, which contains atomic layer deposited ZnO “nanofin” sandwiched between Al and Ag electrodes. More detail of the nanofin-based device fabrication is presented in the Experimental Section and Figure S1 (Supporting Information). Such kind of arrangements of nanofin provide a unique opportunity to design large-scale and well controlled patterns of devices, which, in fact, could be used for several other neuromorphic applications [4,14,22,23]. To confirm the effectiveness of our approach of device fabrication, various type of symmetric and asymmetric electrodes, such as Al/ZnO/Al, Ag/ZnO/Ag, Al/ZnO/Ag, and ITO/ZnO/ITO were used; see Figure S2 (Supporting Information). Indeed, our presented approach provides a unique way to design, well, control geometry (e.g., rectangular, circular, etc.), and size (from µm to cm scale) of the devices over a desired area, see Figure S2 (Supporting Information).
The growth of the ZnO nanofin was confirmed by planar-view scanning electron microscopy (SEM), as is presented in Figure 2b. It is interesting to note that ZnO thin film is closely packed, uniform, and conformally sandwiched between vertical Ag and Al, with a thickness of ~80 nm. Following this the sandwiched nature of ZnO is confirmed by energy-dispersive x-ray spectroscopy (EDS), which shows the distribution of aluminum (Al), zinc (Zn), oxygen (O), silver (Ag) elements form the device, see Figure 2c. It is worth mentioning here that the growth of the ZnO by atomic layer deposition (ALD) has been characterized by various techniques and reported in our recent works.
To understand the charge transport across the nanofin, the typical current-voltage (IV) characteristics of the device in dark and with UV (intensity: 5 mW cm−2) illumination in the voltage scan range of −1.0 to +1.0 V (ramp rate; 0.01 V s−1) were performed and depicted in Figure 2d. The appearance of symmetrical curves under dark and with UV illumination conditions confirms the formation of Ohmic band alignment between the ZnO and Al/Ag. Under dark, the device shows low current (1.12 µA at +1.0 V), which increases to 96.46 µA with UV illumination. The resistance in dark (e.g., Roff) was found to be ~1 MΩ, which decreases to Ron ~ 10.4 kΩ with UV illumination (5 mW cm−2), confirming significant photocurrent switching on/off ratio (Ip/Idark) up to ~102, see Figure 2d. In fact, the eh pairs generated within the ZnO with UV illumination and, thus, the Ip increases at every measuring voltage.
Further, the transient-photoresponse (Ipt) was measured at +0.6 V after being illuminated with a single UV pulse (4 mW-cm−2, time, Δt = 1 s), see inset of Figure 2d. During the UV illumination, the Ip increases rapidly, while it decreases gradually after switching off, indicating the band-to-band excitations and recombination of eh pairs, respectively [4,14,16]. This observation in fact indicates that the device shows significant response to a single UV pulse. In addition, the device shows slow photocurrent decay after UV illumination, the possible reason could be the charge trapping/detrapping by oxygen vacancy. The slow decay of the Ip in ZnO-based devices has been explained on the basis of the reaction of UV induced holes with chemisorbed surface oxygen, such as h+ + O2−(ad) = O2(g) [4]. However, UV generated electrons remain within the ZnO, resulting in increases in the overall conductivity at a particularly measuring voltage. Importantly, Ip decreases after switching off the UV, which is analogue to the leaking nature of the neuron [9].
To understand and confirm the governing dynamic, we performed the X-ray photoelectron spectroscopy (XPS) measurement of the ZnO after and before the UV illumination; see the presented plots in Figure S3 (Supporting Information). It was observed that after UV illumination, the XPS peak related to the chemisorbed surface oxygen (e.g., 532.5 eV), reduces significantly, which is due to decreasing in the charge trapping sites related to oxygen vacancies, see Figure S3 (Supporting Information) [7]. Slow Ip decay is a debatable topic; however, as is noted by XPS measurements, the trapping/detrapping of holes via ionized oxygen vacancies provides a show dynamic. Further, to confirm the photoactive nature of the device, the Ip for a fixed illumination time, (Δt = 1 s) was measured by varying pulsed UV intensity from 0.25 to 5 mW cm−2 and presented in Figure 2e. Note that the magnitude of Ip increases linearly with UV intensity most likely due to the increased number of photogenerated carriers [4,15,24]. For statistical analysis, several devices with different areas were prepared and most of them shows similar behavior. The error bar in Figure 2e is corresponding to the Ip collected form several devices. The linear dynamic range (LDR), defined as LDR = 20 log(Ip/Idark), [25,26] is calculated, which is found 40 dB within the illuminating UV intensities (5 mW cm−2), see Figure 2e. Moreover, the Ip for various devices with different areas were measured and depicted in Figure 2f. Interesting to note that Ip increases with device area as well, making our approach to design the devices over a desired area.
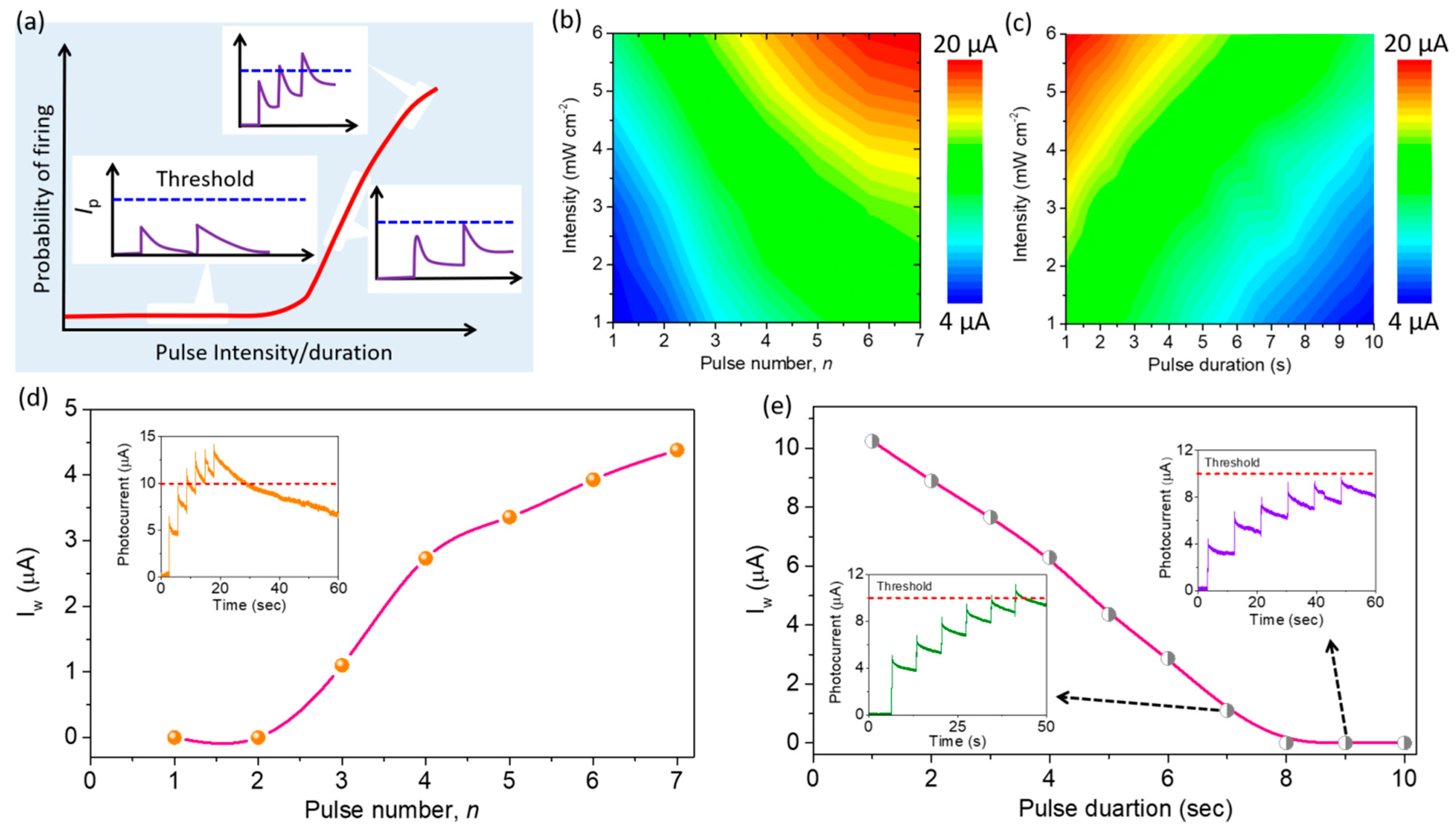
Bio-neuron collects the inputs from connected synapses and integrates them to generate an output signal, if a threshold reached. On the other hand, if integrated, input did not reach to the threshold the signal decays, which is similar to the forgetting the memory. Both these functions, e.g., leaky integration and firing are emulated at device level, using the neuro-photodetector. In fact, decaying of Ip after UV illumination is corresponding to the ‘leaky’ membrane potential of the bio-neuron, and also a critical dynamical property for forgetting [5,10,27]. This decay time also determines the memory span and is also useful to reset the device after firing the output. To mimic the neutronic behavior, let us assume that spikes (two or more) with similar amplitude however, with different time duration are implemented on the device. In this case, the Ip corresponding to individual spike is physically summed as per Kirchhoff’s law, and generates the resultant output [27]. Therefore, longer and intense sequences of input pulses lead to the faster approach to the threshold, resulting in firing, see Figure 3a. In addition, the Ip decays gradually towards its initial state, which is like the relaxation process of the human neuron.
Since, the magnitude of Ip can be modulated by varying the pulse number and/or duration. Therefore, the Ip generation with of pulse numbers and duration as a function of UV intensity are depicted as 3D plots in Figure 3b,c, respectively. It is worth to note that higher pulse number (Δt = 0.1 s and Δd = 1 s) and UV intensity lead to increase the Ip much faster, see Figure 3b. The Ip can also be increases by decreasing the Δd of multiple UV pulses, see Figure 3c, showing the responses of our device to the stimulus train with different pulse intervals ranging from 1 to 10 s. Note that the magnitude of the Ip depends on the illumination pulse duration and/or number of pulses. The overall change in the Ip decreases with increasing the time duration between each stimulus. These two figures in fact confirm that, for a selected UV intensity, the Ip generation can be modulated highly by varying the pulse intervals and/or number, providing an opportunity to choose several parameters to achieve the firing threshold value.
Following the integration capabilities, if threshold for firing condition was set to 10 μA, then the output Ip above the threshold current (Iw) as a function of pulse number and pulse duration are plotted in Figure 3d,e, respectively. Note that for a small number of pulses (n < 3, Δt = 0.2 s, Δd = 3 s), the Iw is close to zero, indicating no firing condition. In contrast, above it, not only the Iw is non-zero, but also increases with increasing the pulse number, which is because of the integration nature of Ip. Further, Figure 3e can systematically summarize the change in the Iw as a function pulse duration with six modulatory spiking inputs (intensity = 4 mW cm−2, Δt = 0.2 s). These plots again confirmed that the firing properties of the presented neuro-photodetector can be modulated by pulse number and/or pulse duration. These figures present that the threshold nature can be modulated by the applied spikes. For instance, six pulses (intensity = 4 mW cm−2, Δt = 0.2 s, Δd = 9 s) cannot generate the current above the threshold, while it can be achieved with short duration, like Δd = 6 s. Such a result is one of the great significances for information processing in neuromorphic computing. Overall, the photocurrent integration, very similar to the bio-neuron, can be performed using neuro-photodetector, resulting in providing a unique possibility to mimic temporal information processing.
Another fundamental element, e.g., synapse, connects to two adjacent neurons and its communication strength (synaptic strength/weight) can be modulated by the concentrations of Ca2+, Na+, Mg+, ionic species [1,2,3,6,28]. The device based on ZnO shows PPC, which has also been used to emulate the light-induced synaptic functions. In general, origin of learning and memory function of the human brain is believed to depend on the experience-dependent change in the synaptic plasticity, which can be altered by neuronal activities. Therefore, to realize the photo-triggered brain-like memory storage, the Ip is measured, corresponding to different number of pulses, see Figure 4a. Unlike conventional memory technologies, depending to the retention time, the human memory is classified into two types viz. short (STM) and long-term memory (LTM) [4,6,7,29]. Fast current decay is considered as short-term memory (STM), whereas the slow decay is described as long-term memory (LTM). In general, there is no well-defined time frame for STM and LTM. A sequential transformation can be achieved by so-called rehearsal. Since, the device shows functionality of photon sensor, signal processing (via integration) and memory units together; therefore, we utilize an array of the devices for pattern recognition via associative memory. To demonstrate the spatiotemporal processing and learning, an array of 16 devices with ITO electrodes were used. Such an all oxides-based device shows high transmittance in the visible range, particularly making it more useful to design see-through optoelectronic device as well, see the original photograph of the device in Figure 4b. Proper image processing demands a response to light intensity also to dosage. In fact, the synaptic weights must be sequentially correlated to recognize spatiotemporal pattern. Based on these requirements, this array of neuro-photodetectors work as a photonic sensor together with processing unit, which sense direct optical inputs and adjust synaptic weights, according to the learning rule. Figure 4c shows the original photo of array of the neuro-photodetector. This array of neuro-photodetectors is simultaneously exposed to optical spike information of different UV intensities; see Figure 4d,e. The output generated by spatial summated of results of such optical inputs was measured after the 400 s of inputs and displayed in Figure 4f.
It is interesting to note that the low intensity integration induces a lower sum than the higher intensity. Indeed, above-noticed optical spike combination dependent memory storage behavior could effectively be used to store the information selectively after filtering. The high and low UV intensities are established as the above and below the filter (e.g., threshold). Indeed, the Ip generated above the 4 mW cm−2 is defined as “1” similar to logic output, while below if it does not generate any significant output, such as “0” in logic gates. Therefore, this intensity is referred as a selective intensity. This logical output applies an important role to store the memory similar to the human brain, while the threshold property of the neuro-photodetector is used to store the selective memory.

4. Conclusions

We have demonstrated together a photo-triggered artificial neuron and synapse with the same architecture and material. The neuron properties, such as leaky integration, fire, as well as synapse properties, such as short- and long-term memory, have been demonstrated with direct optical inputs. The overserved results are well explained by the photo-induced electron-hole pair generation and trapping via oxygen vacancies. As a practical application, the spatiotemporal information processing with direct optical inputs was mimicked by an array of 16 devices. The presented approach will provide a new view to design totally new devices for next-generation neuromorphic computing system.

Supplementary Materials

The following are available online at https://www.mdpi.com/2076-3417/10/23/8358/s1, Figure S1: (a) The geometrical differences between nanowire and nanofin. (b) Cross-sectional device schematics. (c) Sequential steps of the device fabrication, Figure S2: (a) Growth of circular and line pattered electrodes. (b) Original phots of circular nanofin. The blue disc is the failure of the device fabrication. (c) Schematic of the circular nanofin. (d) Line patterns used to grow vertical nanofin of different length and width. (e) Schematic of vertically grown nanofin, Figure S3: XPS spectra of (a) Zn and (b) oxygen after and before the UV illumination, respectively.

Author Contributions

M.K., the main author, carried out the experiments and analyzed the data. J.K. conceived the idea and analyzed results. All authors participated in the discussion of the results, reviewed the manuscript, and provided input for editing. All authors have read and agreed to the published version of the manuscript.

Funding

The authors acknowledge the financial support of Incheon National University, Korea (2019-0409).

Conflicts of Interest

The authors declare no conflict of interest.

References

  1. He, Y.; Nie, S.; Liu, R.; Jiang, S.; Shi, Y.; Wan, Q. Spatiotemporal Information Processing Emulated by Multiterminal Neuro-Transistor Networks. Adv. Mater. 2019, 31, 1900903. [Google Scholar] [CrossRef] [PubMed]
  2. Kim, Y.; Cho, H.K.; Park, S.K. Multi-spectral gate-triggered heterogeneous photonic neuro-transistors for power-efficient brain-inspired neuromorphic computing. Nano Energy 2019, 104097. [Google Scholar]
  3. Jiang, J.; Guo, J.; Wan, X.; Yang, Y.; Xie, H.; Niu, D.; Yang, J. 2D MoS2 Neuromorphic Devices for Brain-Like Computational Systems. Small 2017, 13, 1700933. [Google Scholar] [CrossRef] [PubMed]
  4. Kumar, M.; Kim, J.; Wong, C. Transparent and flexible photonic artificial synapse with piezo-phototronic modulator: Versatile memory capability and higher order learning algorithm. Nano Energy 2019, 63, 103843. [Google Scholar] [CrossRef]
  5. Tuma, T.; Pantazi, A.; le Gallo, M.; Sebastian, A.; Eleftheriou, E. Stochastic phase-change neurons. Nat. Nanotechnol. 2016, 11, 693. [Google Scholar] [CrossRef]
  6. Gao, S.; Liu, G.; Yang, H.; Hu, C.; Chen, Q.; Gong, G.; Xue, W.; Yi, X.; Shang, J.; Li, R. An oxide Schottky junction artificial optoelectronic synapse. ACS Nano 2019, 13, 2634. [Google Scholar] [CrossRef]
  7. Kumar, M.; Ban, D.; Kim, S.M.; Kim, J. Environment-Adaptable Photonic–Electronic-Coupled Neuromorphic Angular Visual System. Adv. Electron. Mater. 2019, 6, 1900467. [Google Scholar] [CrossRef]
  8. Zhang, S.; Zhou, L.; Mao, J.; Ren, Y.; Yang, J.; Yang, G.; Zhu, X.; Han, S.; Roy, V.A.L.; Zhou, Y. Artificial Synapse Emulated by Charge Trapping-Based Resistive Switching Device. Adv. Mater. Technol. 2018, 1, 1800342. [Google Scholar] [CrossRef]
  9. Feldmann, J.; Youngblood, N.; Wright, C.D.; Bhaskaran, H.; Pernice, W.H.P. All-optical spiking neurosynaptic networks with self-learning capabilities. Nature 2019, 569, 208–214. [Google Scholar] [CrossRef]
  10. Dang, B.; Liu, K.; Zhu, J.; Xu, L.; Zhang, T.; Cheng, C.; Wang, H.; Yang, Y.; Hao, Y.; Huang, R. Stochastic neuron based on IGZO Schottky diodes for neuromorphic computing. Appl. Phys. Lett. 2019, 7, 071114. [Google Scholar] [CrossRef]
  11. Wright, C.D.; Liu, Y.; Kohary, K.I.; Aziz, M.M.; Hicken, R.J. Arithmetic and biologically-inspired computing using phase-change materials. Adv. Mater. 2011, 23, 3408. [Google Scholar] [CrossRef] [PubMed]
  12. Li, Y.; Zhong, Y.; Xu, L.; Zhang, J.; Xu, X.; Sun, H.; Miao, X. The draft genome of watermelon (Citrullus lanatus) and resequencing of 20 diverse accessions. Sci. Rep. 2013, 3, 1. [Google Scholar]
  13. Lenz, J.; Giudice, F.; Geisenhof, F.R.; Winterer, F.; Weitz, R.T. Vertical, electrolyte-gated organic transistors show continuous operation in the MA cm−2 regime and artificial synaptic behavior. Nat. Nanotechnol. 2019, 14, 579. [Google Scholar] [CrossRef]
  14. Semple, J.; Georgiadou, D.G.; Wyatt-moon, G.; Yoon, M.; Seitkhan, A.; Yengel, E.; Rossbauer, S.; Bottacchi, F.; Mclachlan, M.A.; Bradley, D.D.C.; et al. Large-area plastic nanogap electronics enabled by adhesion lithography. NPJ Flex. Electron. 2018, 1. [Google Scholar] [CrossRef]
  15. Kumar, M.; Kim, H.; Kim, J. A highly transparent artificial photonic nociceptor. Adv. Mater. 2019, 1900021. [Google Scholar] [CrossRef]
  16. Zhou, F.; Zhou, Z.; Chen, J.; Choy, T.H.; Wang, J.; Zhang, N.; Lin, Z.; Yu, S.; Kang, J.; Wong, H.P.; et al. Optoelectronic resistive random access memory for neuromorphic vision sensors. Nat. Nanotechnol. 2019, 14. [Google Scholar] [CrossRef]
  17. Wan, C.J.; Zhu, L.Q.; Liu, Y.H.; Feng, P.; Liu, Z.P.; Cao, H.L.; Xiao, P.; Shi, Y.; Wan, Q. Proton-Conducting Graphene Oxide-Coupled Neuron Transistors for Brain-Inspired Cognitive Systems. Adv. Mater. 2016, 28, 3557. [Google Scholar] [CrossRef]
  18. Pan, X.; Jin, T.; Gao, J.; Han, C.; Shi, Y.; Chen, W. Stimuli-Enabled Artificial Synapses for Neuromorphic Perception: Progress and Perspectives. Small 2020, 16, 2001504. [Google Scholar] [CrossRef] [PubMed]
  19. Yu, S.; Gao, B.; Fang, Z.; Yu, H.; Kang, J.; Wong, H.S.P. A low energy oxide-based electronic synaptic device for neuromorphic visual systems with tolerance to device variation. Adv. Mater. 2013, 25, 1774. [Google Scholar] [CrossRef]
  20. Abbas, S.; Kumar, M.; Kim, H.S.; Kim, J.; Lee, J.H. Silver-nanowire-embedded transparent metal-oxide heterojunction Schottky photodetector. ACS Appl. Mater. Interfaces 2018, 10, 14292. [Google Scholar] [CrossRef]
  21. Hu, D.; Yang, R.; Jiang, L.; Guo, X. Memristive Synapses with Photoelectric Plasticity Realized in ZnO1–x/AlO y Heterojunction. ACS Appl. Mater. Interfaces 2018, 10, 6463–6470. [Google Scholar] [CrossRef] [PubMed]
  22. Ke, W.; Fang, G.; Wang, J.; Qin, P.; Tao, H.; Lei, H.; Liu, Q.; Dai, X.; Zhao, X. Perovskite solar cell with an efficient TiO2 compact film. ACS Appl. Mater. Interfaces 2014, 6, 15959. [Google Scholar] [CrossRef] [PubMed]
  23. Barik, A.; Chen, X.; Oh, S. Electrodeposited conductive polymers for controlled drug release: Polypyrrole. Nano Lett. 2016, 16, 6316. [Google Scholar]
  24. Kumar, M.; Abbas, S.; Kim, J. All-oxide-based highly transparent photonic synapse for neuromorphic computing. ACS Appl. Mater. Interfaces 2018, 10, 34370. [Google Scholar] [CrossRef]
  25. Kim, H.S.; Patel, M.; Park, H.H.; Kim, J. Silver nanowire-templated ITO window for broadband photodetection. Sens. Actuators A Phys. 2016, 247, 215. [Google Scholar] [CrossRef]
  26. Abbas, S.; Kumar, M.; Kim, J. All metal oxide-based transparent and flexible photodetector. Mater. Sci. Semicond. Process. 2018, 88, 86. [Google Scholar] [CrossRef]
  27. Wang, W.; Pedretti, G.; Milo, V.; Carboni, R.; Calderoni, A.; Ramaswamy, N.; Spinelli, A.S.; Ielmini, D. Experimental two-dimensional quantum walk on a photonic chip Sci. Sci. Adv. 2018, 4, 1. [Google Scholar]
  28. Kim, M.; Lee, J. Ferroelectric analog synaptic transistors. Nano Lett. 2019, 19, 2044. [Google Scholar] [CrossRef]
  29. Liu, Y.H.; Zhu, L.Q.; Feng, P.; Shi, Y.; Wan, Q. Freestanding artificial synapses based on laterally proton-coupled transistors on chitosan membranes. Adv. Mater. 2015, 27, 5599. [Google Scholar] [CrossRef]
Figure 1. The operation of a bio-neuron and its analogue in the present photodetector. (a) Schematic of bio-neuron. Neuron works as an adder and sum all individual inputs (A1, A2, … An) with its respective weight (C1, C2, … Cn). (b) Schematic drawings (not to scale) of a typical two-terminal photodetector shows response similar to artificial neuron with input optical pulses. (c) Response of a photodetector similar to artificial neuron. (d) Proposed working mechanism of the new concept optoelectronic device from (1) to (4) show the filling the defect levels with charge carriers.
Figure 1. The operation of a bio-neuron and its analogue in the present photodetector. (a) Schematic of bio-neuron. Neuron works as an adder and sum all individual inputs (A1, A2, … An) with its respective weight (C1, C2, … Cn). (b) Schematic drawings (not to scale) of a typical two-terminal photodetector shows response similar to artificial neuron with input optical pulses. (c) Response of a photodetector similar to artificial neuron. (d) Proposed working mechanism of the new concept optoelectronic device from (1) to (4) show the filling the defect levels with charge carriers.
Applsci 10 08358 g001
Figure 2. Schematic and device characterization. (a) Device schematic, (b) planar-view SEM of the ZnO nanofin sandwiched between Al and Ag thin film, (c) corresponding elemental distribution of the Al, Zn, O, and Ag from energy-dispersive X-ray spectroscopy (EDS) measurements, clockwise. The scale bar is 1 μm. (d) Current–voltage characteristics of the device under dark and with different UV illumination, showing photocurrent generation. The inset of (d) shows the device retention measurements at +0.6 V, after applying a single UV pulse. (e) The change in photocurrent (Ip) as a function of light intensity. (f) The photocurrent generation due to different areas.
Figure 2. Schematic and device characterization. (a) Device schematic, (b) planar-view SEM of the ZnO nanofin sandwiched between Al and Ag thin film, (c) corresponding elemental distribution of the Al, Zn, O, and Ag from energy-dispersive X-ray spectroscopy (EDS) measurements, clockwise. The scale bar is 1 μm. (d) Current–voltage characteristics of the device under dark and with different UV illumination, showing photocurrent generation. The inset of (d) shows the device retention measurements at +0.6 V, after applying a single UV pulse. (e) The change in photocurrent (Ip) as a function of light intensity. (f) The photocurrent generation due to different areas.
Applsci 10 08358 g002
Figure 3. Mimic bio-neuron behavior. (a) Probability of firing as a function of pulse intensity or duration. The insets show the signal behavior for different pulse duration. (b) Three-dimensional (3D) map of the photocurrent with a function of pulse number and UV intensity; (c) 3D map of the photocurrent with a function of pulse duration and UV intensity. (d) Pulse number-dependent photocurrent generation above the threshold. (e) Current above the threshold as a function of pulse duration. (e) The inset shows photoresponse for a six number of pulses, showing a continuous increasing behavior with increasing number of pulses, the threshold property of the device is depicted by red dotted line.
Figure 3. Mimic bio-neuron behavior. (a) Probability of firing as a function of pulse intensity or duration. The insets show the signal behavior for different pulse duration. (b) Three-dimensional (3D) map of the photocurrent with a function of pulse number and UV intensity; (c) 3D map of the photocurrent with a function of pulse duration and UV intensity. (d) Pulse number-dependent photocurrent generation above the threshold. (e) Current above the threshold as a function of pulse duration. (e) The inset shows photoresponse for a six number of pulses, showing a continuous increasing behavior with increasing number of pulses, the threshold property of the device is depicted by red dotted line.
Applsci 10 08358 g003
Figure 4. Mimicking neuromorphic spatiotemporal information processing. (a) Photoresponse of the ZnO-based photodetector with different number of pulses. (b) An array of 16 devices, (c) original photograph of the devices. (d) Input UV intensity of 8 mW cm−2, (e) input UV intensity of 2 mW cm−2. (f) Output of the photocurrent.
Figure 4. Mimicking neuromorphic spatiotemporal information processing. (a) Photoresponse of the ZnO-based photodetector with different number of pulses. (b) An array of 16 devices, (c) original photograph of the devices. (d) Input UV intensity of 8 mW cm−2, (e) input UV intensity of 2 mW cm−2. (f) Output of the photocurrent.
Applsci 10 08358 g004
Publisher’s Note: MDPI stays neutral with regard to jurisdictional claims in published maps and institutional affiliations.

Share and Cite

MDPI and ACS Style

Kumar, M.; Kim, J. Neuromorphic Spatiotemporal Information Processing Using Neuro-Photodetector Systems. Appl. Sci. 2020, 10, 8358. https://doi.org/10.3390/app10238358

AMA Style

Kumar M, Kim J. Neuromorphic Spatiotemporal Information Processing Using Neuro-Photodetector Systems. Applied Sciences. 2020; 10(23):8358. https://doi.org/10.3390/app10238358

Chicago/Turabian Style

Kumar, Mohit, and Joondong Kim. 2020. "Neuromorphic Spatiotemporal Information Processing Using Neuro-Photodetector Systems" Applied Sciences 10, no. 23: 8358. https://doi.org/10.3390/app10238358

APA Style

Kumar, M., & Kim, J. (2020). Neuromorphic Spatiotemporal Information Processing Using Neuro-Photodetector Systems. Applied Sciences, 10(23), 8358. https://doi.org/10.3390/app10238358

Note that from the first issue of 2016, this journal uses article numbers instead of page numbers. See further details here.

Article Metrics

Back to TopTop