Thermodynamic, Economic and Sustainability Analysis of Solar Organic Rankine Cycle System with Zeotropic Working Fluid Mixtures for Micro-Cogeneration in Buildings
Abstract
1. Introduction
2. Thermodynamic Analysis of the Solar ORC System with Zeotropic Mixtures
2.1. Description of the System
2.2. Working Fluid Mixtures
2.3. Thermodynamic Model and Boundary Conditions
- Steady state conditions are presumed.
- The ORC system is powered by the net thermal power generated by a solar source in which the pump energy consumption and other inherent losses of the solar energy system loop are pre-accounted for. It is the case for the back-up as well.
- Kinetic energy and potential energies of operating modes are neglected.
- Pressure drops and heat lossses are disregarded in the heat exchangers, condenser, evaporator, and pipes.
- The flow directions of WFs in the heat exchangers, condenser, evaporators, and regenerator are counter-current.
- The formulations of the zeotropic mixtures do not vary during the ORC mode.
2.4. Model Validation
3. Results and Discussion
3.1. Baseline Case Study of the Solar ORC System Performance
3.1.1. Cycle Efficiency
3.1.2. Net Power Output
3.1.3. Volume Ratio
3.1.4. Condensation and Evaporation Temperature Glides
3.2. Parametric Study
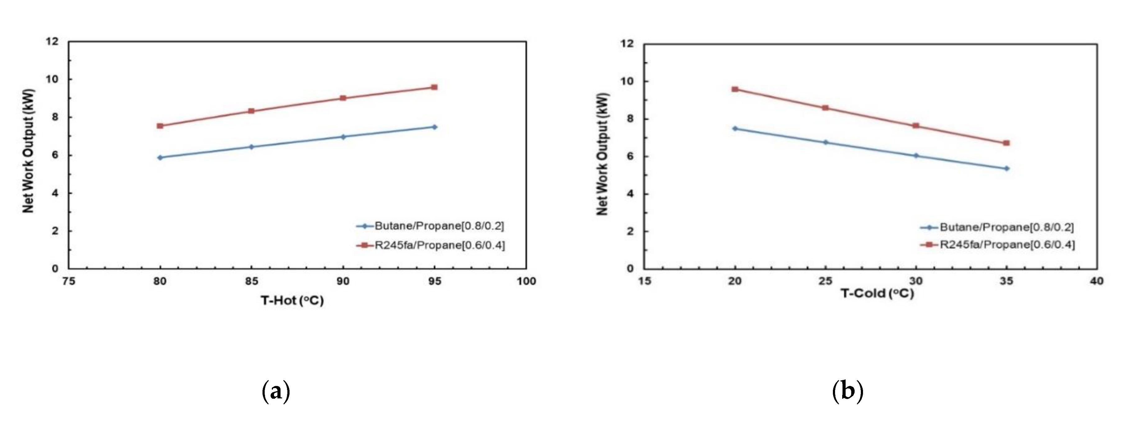
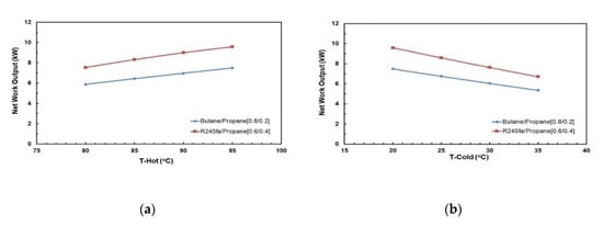
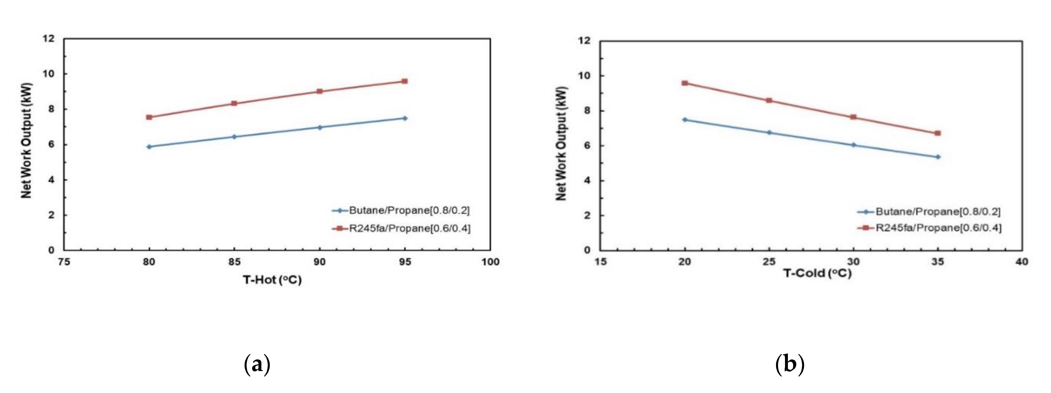
3.3. Comparison Between R245fa/Propane and Butane/Propane Mixtures
3.3.1. Net Power and Cycle Efficiency at Optimal Conditions for the R245fa/Propane and Butane/Propane Mixtures
3.3.2. Second Law Efficiency at Optimal Conditions
3.3.3. Sustainability Index at Optimal Conditions
4. Economic Analysis of the Solar ORC System
4.1. Selection of Mixtures
4.2. Evaluation of Investment Cost
4.3. Economic Analysis of Solar ORC System
4.4. Sensitivity Analysis
5. Sustainable Development within Solar-Driven ORC System
6. Conclusions
Author Contributions
Funding
Acknowledgments
Conflicts of Interest
Nomenclature
| AB | annual benefit |
| AC | annual cost |
| AEC | annual equivalent cost |
| BCR | Benefit–cost ratio |
| CHP | combined heat and power |
| GHG | greenhouse gas |
| HC | hydrocarbon |
| HFC | hydrofluorocarbon |
| IC | investment cost |
| IR | interest rate |
| IRR | internal rate of return |
| NPV | net present value |
| ORC | organic Rankine cycle |
| O and M | operation and maintenance |
| R134a | 1,1,1,2-Tetrafluoroethane (CF3CH2F) |
| R152a | 1,1-Difluoroethane (C2H4F2) (replacement for R134a) |
| R245fa | 1,1,1,3,3-Pentafluoropropane is a hydrofluorocarbon (C3H3F5) |
| R290 | n-propane (C3H8) |
| R600 | n-butane(C4H10) |
| R600a | isobutane (C4H10) |
| R601 | n-pentane (C5H12) |
| R601a | isopentane (C5H12) |
Appendix A. Thermodynamic Diagrams of Working Fluid Mixtures












References
- International Energy Agency. Energy Technology Perspectives. Towards Sustainable Urban Energy Systems. 2016. Available online: https://www.iea.org/publications/freepublications/publication/EnergyTechnologyPerspectives2016_ExecutiveSummary_EnglishVersion.pdf (accessed on 5 October 2020).
- Goswami, D.; Vijayaraghavan, S.; Lu, S.; Tamm, G. New and emerging developments in solar energy. Sol. Energy 2004, 76, 33–43. [Google Scholar] [CrossRef]
- Chen, H.; Goswami, D.Y.; Stefanakos, E.K. A review of thermodynamic cycles and working fluids for the conversion of low-grade heat. Renew. Sustain. Energy Rev. 2010, 14, 3059–3067. [Google Scholar] [CrossRef]
- Chan, C.; Ling-Chin, J.; Roskilly, A. A review of chemical heat pumps, thermodynamic cycles and thermal energy storage technologies for low grade heat utilisation. Appl. Therm. Eng. 2013, 50, 1257–1273. [Google Scholar] [CrossRef]
- Peris, B.; Navarro-Esbri, J.; Moles, F.; Gonzalez, M.; Mota-Babiloni, A. Experimental characterization of an ORC (organic Rankine cycle) for power and CHP (combined heat and power) applications from low grade heat sources. Energy 2015, 82, 269–276. [Google Scholar] [CrossRef]
- Pereira, J.S.; Ribeiro, J.B.; Mendes, R.; Vaz, G.C.; André, J.C. ORC based micro-cogeneration systems for residential application—A state of the art review and current challenges. Renew. Sustain. Energy Rev. 2018, 92, 728–743. [Google Scholar] [CrossRef]
- Yaici, W.; Entchev, E.; Longo, M. Performance analysis of regenerative organic Rankine cycle system for solar micro combined heat and power generation application. In Proceedings of the IEEE 2018 7th International Conference on Renewable Energy Research and Applications (ICRERA), Paris, France, 14–17 October 2018; pp. 549–554. [Google Scholar]
- Yaïci, W.; Entchev, E. Thermodynamic and performance study of solar regenerative organic Rankine cycle system for use in residential micro-combined heat and power generation. In Proceedings of the ASME 2019 13th International Conference on Energy Sustainability, Bellevue, WA, USA, 14–17 July 2019. [Google Scholar]
- Bao, J.; Zhao, L. A review of working fluid and expander selections for organic Rankine cycle. Renew. Sustain. Energy Rev. 2013, 24, 325–342. [Google Scholar] [CrossRef]
- Tocci, L.; Pal, T.; Pesmazoglou, I.; Franchetti, B. Small Scale Organic Rankine Cycle (ORC): A Techno-Economic Review. Energies 2017, 10, 413. [Google Scholar] [CrossRef]
- Rahbar, K.; Mahmoud, S.; Al-Dadah, R.K.; Moazami, N.; Mirhadizadeh, S.A. Review of organic Rankine cycle for small-scale applications. Energy Convers. Manag. 2017, 134, 135–155. [Google Scholar] [CrossRef]
- Mahmoudi, A.; Fazli, M.; Morad, M. A recent review of waste heat recovery by Organic Rankine Cycle. Appl. Therm. Eng. 2018, 143, 660–675. [Google Scholar] [CrossRef]
- Tchanche, B.F.; Papadakis, G.; Lambrinos, G.; Frangoudakis, A. Fluid selection for a low-temperature solar organic Rankine cycle. Appl. Therm. Eng. 2009, 29, 2468–2476. [Google Scholar] [CrossRef]
- Lakew, A.A.; Bolland, O. Working fluids for low-temperature heat source. Appl. Therm. Eng. 2010, 30, 1262–1268. [Google Scholar] [CrossRef]
- Rayegan, R.; Tao, Y. A procedure to select working fluids for Solar Organic Rankine Cycles (ORCs). Renew. Energy 2011, 36, 659–670. [Google Scholar] [CrossRef]
- Angelino, G.; Colonna Di Paliano, P. Multi-component working fluids for organic Rankine Cycles (ORCs). Energy 1998, 23, 449–463. [Google Scholar] [CrossRef]
- Mago, P.J.; Chamra, L.M.; Srinivasan, K.; Somayaji, C. An examination of regenerative organic Rankine cycles using dry fluids. Appl. Therm. Eng. 2008, 28, 998–1007. [Google Scholar] [CrossRef]
- Wang, X.; Zhao, L. Analysis of zeotropic mixtures used in low-temperature solar Rankine cycles for power generation. Sol. Energy 2009, 83, 605–613. [Google Scholar] [CrossRef]
- Wang, J.; Zhao, L.; Wang, X. A comparative study of pure and zeotropic mixtures in low-temperature solar Rankine cycle. Appl. Energy 2010, 87, 3366–3373. [Google Scholar] [CrossRef]
- Heberle, F.; Preißinger, M.; Brüggemann, D. Zeotropic mixtures as working fluids in Organic Rankine Cycles for low-enthalpy geothermal resources. Renew. Energy 2012, 37, 364–370. [Google Scholar] [CrossRef]
- Chys, M.; Broek, M.V.D.; Vanslambrouck, B.; De Paepe, M. Potential of zeotropic mixtures as working fluids in organic Rankine cycles. Energy 2012, 44, 623–632. [Google Scholar] [CrossRef]
- Garg, P.; Kumar, P.; Srinivasan, K.; Dutta, P. Evaluation of isopentane, R-245fa and their mixtures as working fluids for organic Rankine cycles. Appl. Therm. Eng. 2013, 51, 292–300. [Google Scholar] [CrossRef]
- Andreasen, J.G.; Larsen, U.; Knudsen, T.; Pierobon, L.; Haglind, F. Selection and optimization of pure and mixed working fluids for low grade heat utilization using organic Rankine cycles. Energy 2014, 73, 204–213. [Google Scholar] [CrossRef]
- Liu, Q.; Duan, Y.; Yang, Z. Effect of condensation temperature glide on the performance of organic Rankine cycles with zeotropic mixture working fluids. Appl. Energy 2014, 115, 394–404. [Google Scholar] [CrossRef]
- Lecompte, S.; Ameel, B.; Ziviani, D.; Broek, M.V.D.; De Paepe, M. Exergy analysis of zeotropic mixtures as working fluids in Organic Rankine Cycles. Energy Convers. Manag. 2014, 85, 727–739. [Google Scholar] [CrossRef]
- Kang, Z.; Zhu, J.; Lu, X.; Li, T.; Wu, X. Parametric optimization and performance analysis of zeotropic mixtures for an organic Rankine cycle driven by low-medium temperature geothermal fluids. Appl. Therm. Eng. 2015, 89, 323–331. [Google Scholar] [CrossRef]
- Feng, Y.; Hung, T.; Zhang, Y.; Li, B.; Yang, J.; Shi, Y. Performance comparison of low-grade ORCs (organic Rankine cycles) using R245fa, pentane and their mixtures based on the thermoeconomic multi-objective optimization and decision makings. Energy 2015, 93, 2018–2029. [Google Scholar] [CrossRef]
- Feng, Y.-Q.; Hung, T.-C.; Wu, S.-L.; Lin, C.-H.; Li, B.-X.; Huang, K.-C.; Qin, J. Operation characteristic of a R123-based organic Rankine cycle depending on working fluid mass flow rates and heat source temperatures. Energy Convers. Manag. 2017, 131, 55–68. [Google Scholar] [CrossRef]
- Liu, Q.; Shen, A.; Duan, Y. Parametric optimization and performance analyses of geothermal organic Rankine cycles using R600a/R601a mixtures as working fluids. Appl. Energy 2015, 148, 410–420. [Google Scholar] [CrossRef]
- Sadeghi, M.; Nemati, A.; Ghavimi, A.; Yari, M. Thermodynamic analysis and multi-objective optimization of various ORC (organic Rankine cycle) configurations using zeotropic mixtures. Energy 2016, 109, 791–802. [Google Scholar] [CrossRef]
- Xi, H.; Li, M.-J.; He, Y.-L.; Zhang, Y. Economical evaluation and optimization of organic Rankine cycle with mixture working fluids using R245fa as flame retardant. Appl. Therm. Eng. 2017, 113, 1056–1070. [Google Scholar] [CrossRef]
- Wu, Y.; Zhu, Y.; Yu, L. Thermal and economic performance analysis of zeotropic mixtures for Organic Rankine Cycles. Appl. Therm. Eng. 2016, 96, 57–63. [Google Scholar] [CrossRef]
- Abadi, G.B.; Kim, K.C. Investigation of organic Rankine cycles with zeotropic mixtures as a working fluid: Advantages and issues. Renew. Sustain. Energy Rev. 2017, 73, 1000–1013. [Google Scholar] [CrossRef]
- Pang, K.-C.; Chen, S.-C.; Hung, T.-C.; Feng, Y.-Q.; Yang, S.-C.; Wong, K.-W.; Lin, J.-R. Experimental study on organic Rankine cycle utilizing R245fa, R123 and their mixtures to investigate the maximum power generation from low-grade heat. Energy 2017, 133, 636–651. [Google Scholar] [CrossRef]
- Zhai, H.; An, Q.; Shi, L. Zeotropic mixture active design method for organic Rankine cycle. Appl. Therm. Eng. 2018, 129, 1171–1180. [Google Scholar] [CrossRef]
- Lemmon, E.W.; Huber, M.L.; McLinden, M.O. NIST Standard Reference Database 23: Reference Fluid Thermodynamic and Transport. Properties-REFPROP; Version 10.0; National Institute of Standards and Technology, Standard Reference Data Program: Gaithersburg, MD, USA, 2018. [Google Scholar]
- Dincer, I.; Rosen, M.A. Exergy, Environment and Sustainable Development; Elsevier BV: Amsterdam, The Netherlands, 2007; pp. 36–59. [Google Scholar]
- Enerworks. Available online: https://enerworks.com/ (accessed on 23 October 2020).
- Solacity. Available online: https://www.solacity.com/ (accessed on 23 October 2020).
- iGen Technologies. Available online: http://igentechnologies.ca/ (accessed on 23 October 2020).
- Alibaba.com. Available online: https://www.alibaba.com/product-detail/Eco-friendly-refrigerant-gas-r245fa-price_60582435211.html?spm=a2700.7724857.normalList.7.4bcd431fuhTV3C&s=p (accessed on 5 October 2020).
- Current Results-Weather and Science Facts. Sunshine in Canadian Cities: Average Hours & Days a Year. Available online: https://www.currentresults.com/Weather/Canada/Cities/sunshine-annual-average.php (accessed on 5 October 2020).
- Park, C.S. Engineering Economics; Prentice Hall: Upper Saddle River, NJ, USA, 2007. [Google Scholar]
- Urban, R. Electricity Prices in Canada 2020. 14 February 2020. Available online: https://energyhub.org/wp-content/uploads/Electricity-Prices-in-Canada-2020.pdf and https://www.energyhub.org/electricity-prices/#:~:text=The%20average%20residential%20price%20of,if%20you%20exclude%20the%20territories (accessed on 5 October 2020).
- Yamaguchi, H.; Zhang, X.; Fujima, K.; Enomoto, M.; Sawada, N. Solar energy powered Rankine cycle using supercritical CO2. Appl. Therm. Eng. 2006, 26, 2345–2354. [Google Scholar] [CrossRef]
- Baral, S.; Kim, D.; Yun, E.; Kim, K.C. Experimental and Thermoeconomic Analysis of Small-Scale Solar Organic Rankine Cycle (SORC) System. Entropy 2015, 17, 2039–2061. [Google Scholar] [CrossRef]


























| Input Description | Parameters | System Unit |
|---|---|---|
| WF#1 name | - | |
| WF#2 name | - | |
| WF#1 mass fraction | - | |
| WF#2 mass fraction | - | |
| Dead-state temperature | °C | |
| Lowest temperature/condensation bubble point | °C | |
| Evaporation dew-point temperature | °C | |
| Highest temperature | °C | |
| Mass flow rate | kg/s | |
| Expander efficiency | % |
| Input Description | Parameter | System Unit |
|---|---|---|
| Evaporation pressure | MPa | |
| Evaporation bubble-point temperature | °C | |
| Evaporation temperature glide | °C | |
| Condensation pressure | MPa | |
| Condensation dew-point temperature | °C | |
| Condensation temperature glide | °C | |
| Pump inlet enthalpy at low pressure | kJ/kg | |
| Evaporator inlet temperature | °C | |
| Evaporator inlet enthalpy | kJ/kg | |
| Enthalpy at liquid phase at high pressure | kJ/kg | |
| Enthalpy at vapour phase at high pressure | kJ/kg | |
| Expander inlet enthalpy | kJ/kg | |
| Expander outlet enthalpy | kJ/kg | |
| Expander outlet temperature | °C | |
| Enthalpy at vapour phase at low pressure | kJ/kg | |
| Entropy at vapour phase at high pressure | (kJ/kg)/K | |
| Entropy at vapour phase at low pressure | (kJ/kg)/K | |
| Specific volume at expander inlet | m3/kg | |
| Specific volume at expander outlet | m3/kg | |
| Volume ratio | ||
| Cold source inlet temperature at regenerator | °C | |
| Cold source inlet enthalpy at regenerator | kJ/kg | |
| Hot source outlet enthalpy at regenerator | kJ/kg | |
| Expansion work output | kW | |
| Pump work input | kW | |
| Net power output | kW | |
| Solar collector heat input–evaporator (without regenerator) | kW | |
| Solar collector heat input–evaporator (with regenerator) | kW | |
| Rankine cycle efficiency (without regenerator) | % | |
| Rankine cycle efficiency (with regenerator) | % | |
| Carnot efficiency | % | |
| Thermodynamics perfection (without regenerator) | % | |
| Thermodynamics perfection (with regenerator) | % | |
| Thermodynamic mean temperature of the evaporator | °C | |
| Exergy of the absorbed heat | kW | |
| Secnd law efficiency | % |
| Working Fluid Mixture | Cold Source Temperature (°C) | Hot Source Temperature (°C) | Mass Fraction of First Component |
|---|---|---|---|
| R245fa/R152a | 25 | 85 | 0.45; 0.65; 0.9; 1 |
| R245fa/propane | 25 | 85 | 0 0.2 0.4 0.6 0.8 1 |
| butane/propane | |||
| isobutane/propane | |||
| R245fa/hexane | 70 | 130 | |
| butane/hexane | |||
| pentane/hexane | |||
| isopentane/hexane | |||
| isobutane/hexane | 70 | 135 | |
| R245fa/heptane | 80–100 | 180 | |
| butane/heptane | |||
| isobutane/heptane | 100 | 186 °C (Mass fraction 0 to 0.6) 170 °C (Mass fraction 0.8) 139 °C (Mass fraction 1) |
| Working Fluid Mixture | Expander Efficiency (%) | Mass Flow Rate (kg/s) | Super Heating Amount (°C) |
|---|---|---|---|
| R245fa/R152a | 80% | 0.2895; 0.3515; 0.429; 0.46 (for different mass compositions starting from 0.45 for R245fa) | 5 °C |
| R245fa/propane | 0.15; 0.212; 0.274; 0.336; 0.398; 0.46 (for different mass compositions starting from 0 for R245fa) | ||
| R245fa/hexane | 0.15; 0.212; 0.274; 0.336; 0.398; 0.46 (for different mass compositions starting from 0 for R245fa) | ||
| R245fa/heptane | 0.15; 0.212; 0.274; 0.336; 0.398; 0.46 (for different mass compositions starting from 0 for R245fa) | ||
| Butane/propane | 0.15 | ||
| Butane/hexane | |||
| Butane/heptane | |||
| Isobutane/propane | |||
| Isobutane/hexane | |||
| Isobutane/heptane | |||
| Pentane/hexane | |||
| Isopentane/hexane |
| Working Fluid Mixture | Max Min | Cycle Efficiency | Mixture Composition Mass Fraction | ||
|---|---|---|---|---|---|
| Without Regenerator | With Regenerator | Without Regenerator | With Regenerator | ||
| R245fa/R152a | Max | 8.70% | 10.20% | 0.9/0.1 | 0.9/0.1 |
| Min | 8.49% | 9.69% | 0.65/0.35 | 0.65/0.35 | |
| R245fa/propane | Max | 9.80% | 10.50% | 0.2/0.8 | 0.8/0.2 |
| Min | 4.58% | 9.38% | 0.8/0.2 | 0.6/0.4 | |
| R245fa/hexane | Max | 6.58% | 13.11% | 0.8/0.2 | 0.6/0.4 |
| Min | 4.54% | 8.64% | 0.4/0.6 | 0.8/0.2 | |
| R245fa/heptane | Max | 6.34% | 17.42% | 0.8/.2 | 0.6/0.4 |
| Min | 3.07% | 9.81% | 0.4/0.6 | 0.8/0.2 | |
| Butane/propane | Max | 9.08% | 10.10% | 0.2/0.8 | 0.8/0.2 |
| Min | 8.10% | 9.56% | 0.6/0.4 | 0.6/0.4 | |
| Butane/hexane | Max | 6.56% | 12.56% | 0.8/0.2 | 0.4/0.6 |
| Min | 4.24% | 8.51% | 0.4/0.6 | 0.8/0.2 | |
| Butane/heptane | Max | 7.07% | 16.72% | 0.8/0.2 | 0.4/0.6 |
| Min | 3.22% | 9.83% | 0.4/0.6 | 0.8/0.2 | |
| Isobutane/propane | Max | 9.47% | 10.73% | 0.2/0.8 | 0.8/0.2 |
| Min | 9.05% | 10.17% | 0.6/0.4 | 0.2; 0.8 | |
| Isobutane/hexane | Max | 6.72% | 15.51% | 0.8/0.2 | 0.4/0.6 |
| Min | 3.36% | 9.07% | 0.4/0.6 | 0.8/0.2 | |
| Isobutane/heptane | Max | 5.96% | 18.47% | 0.8/0.2 | 0.4/0.6 |
| Min | 2.30% | 8.12% | 0.2/0.8 | 0.8/0.2 | |
| Pentane/hexane | Max | 8.31% | 10.37% | 0.8/0.2 | 0.8/0.2 |
| Min | 7.79% | 9.92% | 0.4/0.6 | 0.4/0.6 | |
| Isopentane/hexane | Max | 7.93% | 10.09% | 0.8/0.2 | 0.8/0.2 |
| Min | 7.15% | 9.30% | 0.4/0.6 | 0.4/0.6 | |
| Working Fluid Mixture | Mixture Composition (Mass Fraction) | Optimal Net Work Output (kW) |
|---|---|---|
| R245fa/R152a | 0.9/0.1 | 9.07 |
| R245fa/propane | 0.4/0.6 | 7.86 |
| R245fa/hexane | 0.8/0.2 | 6.55 |
| R245fa/heptane | 0.8/0.2 | 6.20 |
| Butane/propane | 0.8/0.2 | 5.70 |
| Butane/hexane | 0.8/0.2 | 4.03 |
| Butane/heptane | 0.8/0.2 | 4.06 |
| Isobutane/propane | 0.8/0.2 | 5.70 |
| Isobutane/hexane | 0.8/0.2 | 3.84 |
| Isobutane/heptane | 0.6/0.4 | 2.88 |
| Pentane/hexane | 0.8/0.2 | 5.36 |
| Isopentane/hexane | 0.2/0.8 | 4.91 |
| Parameter | Value |
|---|---|
| Hot source temperature (°C) | 80; 85; 90; 95 |
| Cold source temperature (°C) | 20; 25; 30; 35 |
| Mass fraction of first component | 0.2; 0.4; 0.6; 0.8 |
| Dead-state temperature | 20 °C |
| Working Fluid Mixture | Mass Fraction of First Component |
|---|---|
| R245fa/propane | 0.6 |
| Butane/propane | 0.8 |
| Working Fluid | Mass Fraction of First Component | Net Work Output (kW) |
|---|---|---|
| R245fa/R152a | 0.9 | 9.07 |
| R245fa/propane | 0.4 | 7.86 |
| Butane/propane | 0.8 | 5.70 |
| Equipment | Cost |
|---|---|
| Thermal energy generation | |
| Installation of solar collectors | CAD 3565.00 |
| Solar collectors (15 collectors @ CAD 900) | CAD 15,525.00 |
| Collectors pump | CAD 517.50 |
| ORC unit | |
| Evaporator | CAD 517.50 |
| Condenser | CAD 1897.50 |
| Regenerator | CAD 1200.00 |
| Scroll expander | CAD 4542.50 |
| Pump | CAD 862.50 |
| Refrigerant tank and piping | CAD 287.50 |
| Labor cost | CAD 230.00 |
| Power block | |
| Generator | CAD 632.50 |
| Control systems | CAD 345.00 |
| Others | |
| Water tank | CAD 172.50 |
| Measuring devices | CAD 230.00 |
| Miscellaneous | CAD 172.50 |
| Total | CAD 30,697.50 |
| Working Fluid | Cost |
|---|---|
| R245fa/R152a (0.9/0.1) | USD 1730.00 |
| R245fa/propane (0.4/0.6) | USD 832.00 |
| Butane/propane(0.8/0.2) | USD 184.00 |
| Working Fluid | Annual Cost |
|---|---|
| R245fa/R152a (0.9/0.1) | CAD 830.38 |
| R245fa/propane (0.4/0.6) | CAD 806.58 |
| Butane/propane (0.8/0.2) | CAD 789.41 |
| Scenario | 1 | 2 | 3 |
|---|---|---|---|
| Economic parameter | Standard scenario | 20% increase in IC | 20% decrease in IC |
| Scenario | 4 | 5 | 6 |
| Economic parameter | 20% increase in AB | 20% decrease in AB | 20% increase in AC |
| Scenario | 7 | 8 | 9 |
| Economic parameter | 20% decrease in AC | 20% increase in IR | 20% decrease in IR |
| Scenario | Investment Cost | Annual Equivalent Cost | Annual Benefit | Annual Cost | Interest Rate | Net Present Value |
|---|---|---|---|---|---|---|
| 1 | CAD 32,427.50 | CAD 2827.18 | CAD 3657.55 | CAD 830.38 | 6% | CAD 0.00 |
| 2 | CAD 38,913.00 | CAD 3392.61 | CAD 3657.55 | CAD 830.38 | 6% | − CAD 6485.50 |
| 3 | CAD 25,942.00 | CAD 2261.74 | CAD 3657.55 | CAD 830.38 | 6% | CAD 6485.50 |
| 4 | CAD 32,427.50 | CAD 2827.18 | CAD 4389.07 | CAD 830.38 | 6% | CAD 8390.37 |
| 5 | CAD 32,427.50 | CAD 2827.18 | CAD 2926.04 | CAD 830.38 | 6% | − CAD 8390.37 |
| 6 | CAD 32,427.50 | CAD 2827.18 | CAD 3657.55 | CAD 996.45 | 6% | − CAD 1904.87 |
| 7 | CAD 32,427.50 | CAD 2827.18 | CAD 3657.55 | CAD 664.30 | 6% | CAD 1904.87 |
| 8 | CAD 32,427.50 | CAD 3108.67 | CAD 3657.55 | CAD 830.38 | 7% | − CAD 2936.33 |
| 9 | CAD 32,427.50 | CAD 2558.12 | CAD 3657.55 | CAD 830.38 | 5% | CAD 3410.60 |
| Scenario | NPV | IRR | BCR | Payback Period (Years) | Selling Price of Electricity (CAD/kWh) (Annual Benefit) | Selling Price of Electricity (CAD/kWh) (EAC) |
|---|---|---|---|---|---|---|
| 1 | CAD 0.00 | 6.00% | 1.00 | 20 | 0.19 | 0.15 |
| 2 | − CAD 6485.50 | 3.86% | 0.87 | 30 | 0.19 | 0.18 |
| 3 | CAD 6485.50 | 8.93% | 1.18 | 14 | 0.19 | 0.12 |
| 4 | CAD 8390.37 | 9.03% | 1.20 | 14 | 0.23 | 0.15 |
| 5 | − CAD 8390.37 | 2.58% | 0.80 | 45 | 0.15 | 0.15 |
| 6 | − CAD 1904.87 | 5.27% | 0.96 | 23 | 0.19 | 0.15 |
| 7 | CAD 1904.87 | 6.71% | 1.05 | 18 | 0.19 | 0.15 |
| 8 | − CAD 2936.33 | 6.00% | 0.93 | 25 | 0.19 | 0.16 |
| 9 | CAD 3410.60 | 6.00% | 1.08 | 17 | 0.19 | 0.14 |
Publisher’s Note: MDPI stays neutral with regard to jurisdictional claims in published maps and institutional affiliations. |
© 2020 by the authors. Licensee MDPI, Basel, Switzerland. This article is an open access article distributed under the terms and conditions of the Creative Commons Attribution (CC BY) license (http://creativecommons.org/licenses/by/4.0/).
Share and Cite
Yaïci, W.; Entchev, E.; Talebizadehsardari, P.; Longo, M. Thermodynamic, Economic and Sustainability Analysis of Solar Organic Rankine Cycle System with Zeotropic Working Fluid Mixtures for Micro-Cogeneration in Buildings. Appl. Sci. 2020, 10, 7925. https://doi.org/10.3390/app10217925
Yaïci W, Entchev E, Talebizadehsardari P, Longo M. Thermodynamic, Economic and Sustainability Analysis of Solar Organic Rankine Cycle System with Zeotropic Working Fluid Mixtures for Micro-Cogeneration in Buildings. Applied Sciences. 2020; 10(21):7925. https://doi.org/10.3390/app10217925
Chicago/Turabian StyleYaïci, Wahiba, Evgueniy Entchev, Pouyan Talebizadehsardari, and Michela Longo. 2020. "Thermodynamic, Economic and Sustainability Analysis of Solar Organic Rankine Cycle System with Zeotropic Working Fluid Mixtures for Micro-Cogeneration in Buildings" Applied Sciences 10, no. 21: 7925. https://doi.org/10.3390/app10217925
APA StyleYaïci, W., Entchev, E., Talebizadehsardari, P., & Longo, M. (2020). Thermodynamic, Economic and Sustainability Analysis of Solar Organic Rankine Cycle System with Zeotropic Working Fluid Mixtures for Micro-Cogeneration in Buildings. Applied Sciences, 10(21), 7925. https://doi.org/10.3390/app10217925

