Abstract
In this paper, we study the stationary configurations of a vapor-dominated geothermal system. We propose a general mathematical model, which turns out to be a free boundary problem, and we focus on the stationary solutions. The analysis, developed considering the data of the geothermal field in Larderello, Tuscany (Italy), shows that steady-stable states may exist both when the re-injection takes place in depth and when the natural recharge is distributed both in the area occupied by vapor and in the one occupied by liquid.
1. Introduction
In volcanic areas, geothermal energy represents an important resource. For instance, the Tuscan basins of Larderello and Monte Amiata provide almost 30% of the energetic need of the whole region (see, for example, [1,2]). Several studies have been devoted to geothermal reservoirs with the aim of providing mathematical models—some of them very sophisticated—for extraction wells [3,4,5,6,7,8,9,10]. Here we refer to a specific situation—a vapor-dominated system [11,12]—in which the reservoir is sealed at the top by a nearly impermeable rock layer, under which water is in the vapor state up to a depth at which the pressure and temperature are such that it is present as liquid. Wells are drilled through the impermeable layer to reach the high-pressure vapor zone. The vapor then leaves the reservoir, and extraction is sustained by the vaporization of deep water (sometimes called plutonic or juvenile water). This is the case for the Larderello geothermal system (one of the largest in the world), which is characterized by a reservoir pressure that is much lower than hydrostatic pressure. This is a consequence of its natural evolution from an initial liquid-dominated to the current vapor-dominated system [3,10].
The genesis of vapor-dominated reservoirs has intrigued researchers for many years. In 1973, Truesdell and White [6] reviewed all the principal conceptual models proposed until then for the reservoir and possible mechanisms for superheating the steam. These models aimed to give a qualitative description of the physical processes leading to the development of a vapor-dominated reservoir. However, all efforts notwithstanding, many open questions remain.
A reservoir is always formed by a complex of fractured permeable rocks confined between impermeable layers and saturated by water, in a liquid and/or vapor phase. As far as the Larderello geothermal field is concerned, the heat source is a magmatic intrusion located at a relatively small depth (5–10 km) producing temperatures of 500 700 °C in the rocks surrounding the reservoir. Both the lower and upper boundaries of the reservoir depend on the local lithology. The so-called K horizon (a seismic reflecting surface), strictly related to a temperature of about 450 , is considered to represent the bottom of the geothermal reservoir [10,13,14]. The top of the productive reservoir is set in correspondence to the first fractured level in the central areas of the field, where a great amount of well data are available. In the peripheral areas, where well data are lacking, the top is set in correspondence to the 250 isotherm [13,14,15,16]. Usually, the shallow carbonate–anhydrite reservoir shows a temperature of and pressure of about bar at 1000 m depth, while the deep metamorphic reservoir has a temperature of and pressure around 70 bar at 3000 m depth [13].
The sustainable management of geothermal resources basically involves setting up and maintaining a specific long-term production scheme [17,18]. It also involves the basic ingredients of successful geothermal resource management; i.e., re-injection, monitoring and modeling [14,19,20]. However, the term “sustainable development” has many other important implications and has received ever-increasing attention over the last decade or two [21,22,23,24,25,26,27,28,29].
Vapor-dominated geothermal fields are still little understood, and their production histories are so short that premonitory indications of exhaustion are not yet generally recognized. In the 1970s, Sestini [30] concluded that the production of steam from the Larderello fields at that time was approaching a steady state and could have been maintained for many years. However, Truesdell and White [6] came to quite different conclusions, saying that the Larderello field was approaching exhaustion. This appears to have been sustained 30 years later, as the time series of production shows, in the papers by Romagnoli et al. [10] and Barelli [9]. In this context, the study of water levels reported in 1978 by Celati et al. [31] is of great importance.
In the last 20 years, due to the increase of the power demand from renewable sources, many studies have investigated the Larderello–Travale geothermal field using fully three-dimensional models [10,14,32,33,34]. Clearly, the reliability of the forthcoming conclusions of these approaches depends heavily upon the reliability of the boundary and initial conditions selected. In general, these studies are validated against the current rates of production with the aim of predicting future scenarios.
The present contribution focuses on the modeling of geothermal systems in which extraction, natural and artificial recharge mechanisms may act simultaneously. Indeed, the extracted geothermal fluid, after its utilization in a power plant, can be injected back into the reservoir through specific injection wells. For instance, in Larderello, re-injection activities started in the 1970s to contrast the production decline [2,13]. In this way, the natural recharge of the reservoir (by meteoric or juvenile water) is artificially integrated, drastically reducing the impact on the environment of power-plant operations [35,36].
The aim of this study is to investigate the existence and stability of possible equilibrium configurations that can guarantee sustainable production. We develop a model that is able to give some basic information. Of course, approximations have been introduced in order to develop a model which is mathematically treatable. For example, the fluid in the reservoir is assumed to be pure water; this is a very schematic description, as, in practice, many chemicals are carried by the water, which makes the real thermodynamics much more complex. Next, we consider a region with a cluster of wells distributed so that the vapor motion underneath can be reasonably considered to be one-dimensional. This may appear to be an excessive approximation, but actually it is largely justified by the fact that problems such as this are characterized by a great level of data uncertainty. Our model is a one-dimensional parabolic free boundary problem, where both extraction and recharge are treated as source terms in the continuity equation. In this framework, we develop a model describing the behavior of the geothermal field, the location of the water vaporization front and its stability with respect to perturbations. More precisely, we examine the steady (or quasi-steady) state attained by recharging the reservoir with water, looking for those recharging rates compatible with a stable state. In particular, we discuss the effects of both extraction and recharge (both natural and artificial). We determine the steady solution by solving a non-linear equation which, when peculiar conditions are met, has more than a single solution. A linear stability analysis of the stationary liquid/vapor interface (if it exists) is then used to select the physically acceptable solution. In particular, we show that selecting the parameters according to the field data allows us to obtain a stable interface that is qualitatively in agreement with the borehole extraction/injection data. In this respect, our model, although extremely simple, allows us to obtain some insights regarding the state of the reservoir and to predict the location of the phase transition surface. On one hand, the simplicity of the model has the advantage that one can deal with an exact solution; on the other hand, the price to pay is that a classical validation remains questionable, as a sharp liquid/vapor interface is very unlike to exist in a real field. However, it should also be taken into account that that even highly sophisticated three-dimensional models depend significantly upon the boundary and initial conditions imposed. In the majority of cases (and for Larderello in particular), these conditions suffer from a great degree of uncertainty that greatly influences the reliability of the model predictions.
The paper continues as follows. Section 2 is devoted to the general 1D model. The analysis of the stationary solutions is illustrated in Section 3 and Section 4. In Section 5, we relate the results to some historical field data for a better interpretation and justification of the model. The conclusions are drawn in the last section.
2. The Mathematical Model
We consider a geothermal fluid composed of water in a gaseous and liquid state. We denote by x the vertical axis pointing upward. The bottom and the top of the geothermal reservoir correspond to and to , respectively. The ground surface corresponds to , so that the domain of interest is . We assume that the width of the capillary fringe is negligible with respect to the vertical dimensions of the reservoir, and thus that there is a clear separation between the liquid and the vapor phase through a sharp interface, , that may vary in time. So, the lower part of the domain , is saturated with liquid, while in the upper part of the domain, , there is only vapor. At the vapor pressure is known, and we denote it as . The latter is a measured datum and essentially depends on the exploitation of the basin.
In Table 1, we list the values of the constants involved in the model. These parameters are compatible with those available for some areas of the geothermal field of Larderello, Tuscany [10,14].
Table 1.
List of parameters referring to the reservoir of Larderello [10,14]. All dimensionless constants used in the present work are evaluated by using these values. A full list of additional simbols is reported in Table 3.
According to the experimental data [37,38,39], the temperature within the reservoir is linear:
where , constant in time, is the known thermal gradient (see Table 1). We also set
Remark 1.
The given value of γ in Table 1 implies that the temperature at depth is . Assuming a surface temperature of , we have a geothermal gradient in the caprock of . This may be surprising, since this value is about three times the value commonly indicated in textbooks as the typical gradient in a geothermal field (generally and actually requires that the average thermal conductivity of the caprock be rather low—say . A simple explanation is that the mean gradient of the field is indeed based upon the estimated depth of the K horizon (in the present case, around ) and the isotherm which identifies the K horizon itself (about ), leading, correctly, to . On the other hand, the question is much more complex. In a very recently published article [39], the great variability of the thermal conductivity of rocks at Larderello and their strong dependence on temperature and, to a much lesser extent, on pressure were clearly emphasized. Reported values vary from less that to more then depending on the core sample depth and exploration well. Furthermore, the evaluated geothermal gradient has a great variability with depth, reaching values, for some layers, close to —not far from the value proposed in Table 1.
The domain is saturated by vapor whose continuity equation is
where is medium porosity (see Table 1), v is the velocity of the vapor, is its density and is the vapor source/sink density rate (with dimensions ). In general, is due to both the recharge vapor (generated from the vaporization of meteoric recharge water), which mixes with the vapor inside the reservoir, and the extraction/re-injection due to external devices [40]. In general, the rate depends on the local pressure, or rather on the difference between the external pressure and the local pressure. More specifically, we split into two contributions: a recharge generated from the vaporization of recharge water (which may depend on the local pressure) and a point-wise recharge due to N injection/extraction wells whose extraction/injection rates depend on the difference between the local pressure and the re-injection pressure:
where the subscripts “met” and “inj” mean, respectively, “of meteoric origin” and “due to injection”, P denotes the vapor pressure, denotes the Dirac delta, is the location of the ith injection head, is the order of magnitude of the density rate, where (dimensionless) gives its dependence on the pressure difference, and is the injection pressure.
The vapor is assumed to behave as a perfect gas; i.e.,
where r is the molar vapor constant (see Table 1). Using the generalized Darcy’s law [41],
where is the vapor viscosity, which depends on both temperature and pressure, and is the permeability of the medium (see again Table 1), is as in Equation (5) and g is the gravity acceleration; thus, we rewrite (3) as
where T is given by (1).
In the liquid region , the continuity equation is written as
where is the density of the liquid, is the liquid velocity and is the liquid water source density rate (with a dimension of ), due to both re-injection and natural recharge fluid. The solution to Equation (8) is
where, for simplicity, we have neglected , and where the pressure P is the hydrostatic pressure.
The continuity of the mass flux across implies that [42]. As , we can approximate this relation with
Thus, recalling Equations (6) and (9), we obtain
where
which (with a dimension of ) is the total recharge rate in the liquid domain. In particular, we assume that we can identify two distinct effects:
- (i)
- Recharge due to the meteoric waters, denoted by , which, as , may depend on the local pressure;
- (ii)
- Recharge due to clusters of re-injection wells which, for simplicity, we assume to be concentrated in M locations.
Thus, setting
where, as in (4), the injection rates depend on the difference between the re-injection pressure and the local pressure. Indeed, , , M, gives the injection rate order of magnitude, while , which is dimensionless, gives the dependence on the pressure difference. We thus have
where
A second free boundary condition is provided by Clapeyron’s law, which gives the relationship between P and T at the liquid/vapor interface. In the range of temperature relevant to our problem, this law takes the following empirical form:
where T is in Kelvin, P in Pascal and a and b have values of , . Consequently, the second condition on the free boundary is
and (11) rewrites as
We remark that (16) requires the following condition be fulfilled:
in order to obtain a physically consistent solution.
To complete the information, we need to give the pressure at the reservoir top, (see Table 1) and the initial conditions , , , , fulfilling Equations (18) and (16); i.e., and .
Thus, the mathematical problem to be solved is the following: find a time , a function such that and a function , continuous in , where is continuous up to , , so that, for given by Equation (1), the following system is fulfilled:
According to the results in [43,44], the problem has one unique solution provided that .
3. Steady-State Solutions
We consider a steady state (meaning that neither nor depend on time) and normalize space, temperature and pressure in the following way:
where is a characteristic pressure, which still needs to be selected. Recalling Equation (1), we consider to be an independent variable; namely
where
We remark that, because of the change of the variable in Equation (20), corresponds to the top of the basin while to the bottom.
Next, we introduce
as the temperature at the interface, so that
Then, we set
We also set , , , with , and being dimensionless; , with giving the porosity order of magnitude, so that
and
with
where has been defined in Equation (14) and
Setting , the steady dimensionless version of problem (19), (19), and (19) is
where , is given by Equation (24) and
and
Here and in the following, we omit the “” to keep the notation as clear as possible.
In Section 4, we see that the set of steady solutions (Equation (32)) depends upon a set of n suitable parameters . Thus, Equation (32) writes, more precisely,
where are dimensionless. Our approach consists first of verifying that can be made explicit, under some limitations, with respect to a specific parameter—say —that is
4. Numerical Simulations
In this section, we analyze some specific cases which represent some of the most significant physical situations. For the sake of simplicity, we take , so that h, given by Equation (25), simplifies to . Next, we assume that the injection rate is independent of the difference between the injection pressure and local pressure, and therefore , .
There are many cases, and it is impossible to analyze them all. We therefore focus on these issues:
- Recharge due to both liquid groundwater and to vapor injection in the vapor domain;
- Recharge due to groundwater occurring in the whole domain (liquid and vapor) and to vapor extraction/injection localized in the vapor domain;
- Artificial recharge due to liquid injection localized in the liquid domain.
To see the explicit form of Equation (36), it is more convenient to proceed by subsequent steps.
Suppose, for a moment, that . This will help us to understand (and also visualize graphically) the effect of .
Proposition 1.
For , Equation (33) can be written in the form
and has a maximum in .
Proof.
In this case,
so that , with
Next, assuming that the liquid recharge occurs only in a part of the domain, given by (27) becomes
for some (given) and F, as defined by Equation (33), can be rewritten as
with
and is given by Equation (42). Clearly, Equation (44) is meaningful only for , showing that remains in the liquid domain. Function monotonically increases and is negative in . Therefore, we have , meaning that we can express in the form of Equation (38). With the values in Table 1, the function has a maximum value in . □
Remark 2.
The physical situation corresponding to Equation (38) is a limit case in which the reservoir receives mass only in the liquid layer. This does not seem to be the case for Larderello, where the vapor region is also fed by steam of meteoric origin, as reported by many authors [40,45]. However, the artificial re-injection of geothermal wastewater is practiced in many geothermal fields as a means for reservoir pressure support and cannot be ignored [46,47,48]. We consider these more significant situations in the following three subsections.
4.1. Case 1. Recharge Due to Liquid Groundwater Recharge and a Single Vapor Extraction/Injection Well
We now prove that, also in this case, the equation can be solved explicitly as in Equation (38) provided that the injection rate and the well depth fulfill suitable conditions.
Integrating Equation (29) once, we obtain
where is an integration constant, is the Heaviside function and is the injection well depth. Setting , Equation (47) becomes
whose general solution is
where is the Heaviside function. By imposing boundary conditions (29), and (29), we get
with given by Equation (40), which reduces to Equation (39) when . In particular,
so that tends to (41) when and when (as physically expected).
To prove that the equation can be solved explicitly, notice first that, because of (49), has a different form, namely
where is given by Equation (42) and
To use the explicit form in Equation (36), we need . It is convenient now to fix an upper limit to the variability of —say . Then, it can be seen that
As a consequence, condition is fulfilled provided the variability of is bounded below, namely
Remark 3.
The critical value (52) tends to for going to 1. Thus, we always consider only values of close to but distinct from 1. We notice also that we have to take care of this lower bound only when we consider the case of extraction; that is, . For example, for , we are allowed to consider only . On the other hand, from the physical point of view, negative values of , which show natural liquid recharge, are meaningless. Thus, recalling (44), physically meaningful solutions to Equation (35) exist if and only if Ω remains negative. For example, for and , the negativity of Equation (50) holds true provided that .
In the present case, steady states are described by
where
and is given by Equation (50). Recalling Equation (37), we need to study the sign of
by varying both and . Figure 1 provides a synthetic picture of the varying influence of in determining stable/unstable states.
Figure 1.
(a) Steady states for < 0 when To = 1.0005 and T1 = 1.06. (b) The critical values are σcr,1 ≈ 1.016, ωcr,1 ≈ 7.7 × 10−5 for = −1.05 × 105, σcr,2 ≈ 1.041, ωcr,2 ≈ 4.9 × 10−5 for = −5.1 × 104, and σcr,2 ≈ 1.053, ωcr,2 ≈ 4 × 10−5 for +5 × 103: all steady states for σ > σcr and ω2 < ωcr are stable in both cases. In dimensional variables, these values correspond, respectively, to the interfaces located at −1221 m, −1567 m and −1735. The liquid recharge occurs in a liquid layer that is 1675 m thick. The well-bore bottom hole is placed at −1007 m.
We have (linearly) stable steady solutions only for and . Figure 1 shows that by decreasing from positive values (injection) to negative ones (extraction), increases and decreases (i.e., the physical free boundary shifts towards the top of the reservoir). This means that the liquid region increases due to the augmented meteoric liquid recharge, as physically expected. Figure 2 shows that solutions represented in Figure 1 satisfy the compatibility condition (18).
Figure 2.
Check of the compatibility condition (18) for case 1.
4.2. Case 2. Groundwater Recharge Occurring in the Whole Domain and a Single Vapor Extraction/Injection Well
The procedure to obtain the explicit form of is similar to that in Section 4.1, but function is more complex. Calculations are presented in such a way to emphasize the differences with respect to Section 4.1.
In this case , is given by (since ), and , given by (30), has the form
Therefore, Equation (29) becomes
Since , after one integration, we obtain
where is the integration constant. Setting again , we get
whose general solution is
where is the second integration constant. Proceeding as in Section 4.1 (i.e., imposing the boundary conditions in Equations (29), and (29)) we obtain
where is given by Equation (40), which reduces to Equation (48) when and to Equation (39) when . Next,
which gives (49) when . Thus, recalling Equations (34), (42) and (50), we have
where
Function H monotonically decreases and is negative. Therefore, .
Remark 4.
Recalling what we emphasized in Remark 3, in order to obtain physically meaningful solutions to Equation (38), we need Ω to remain negative when we change and . For fixed and ; this implies
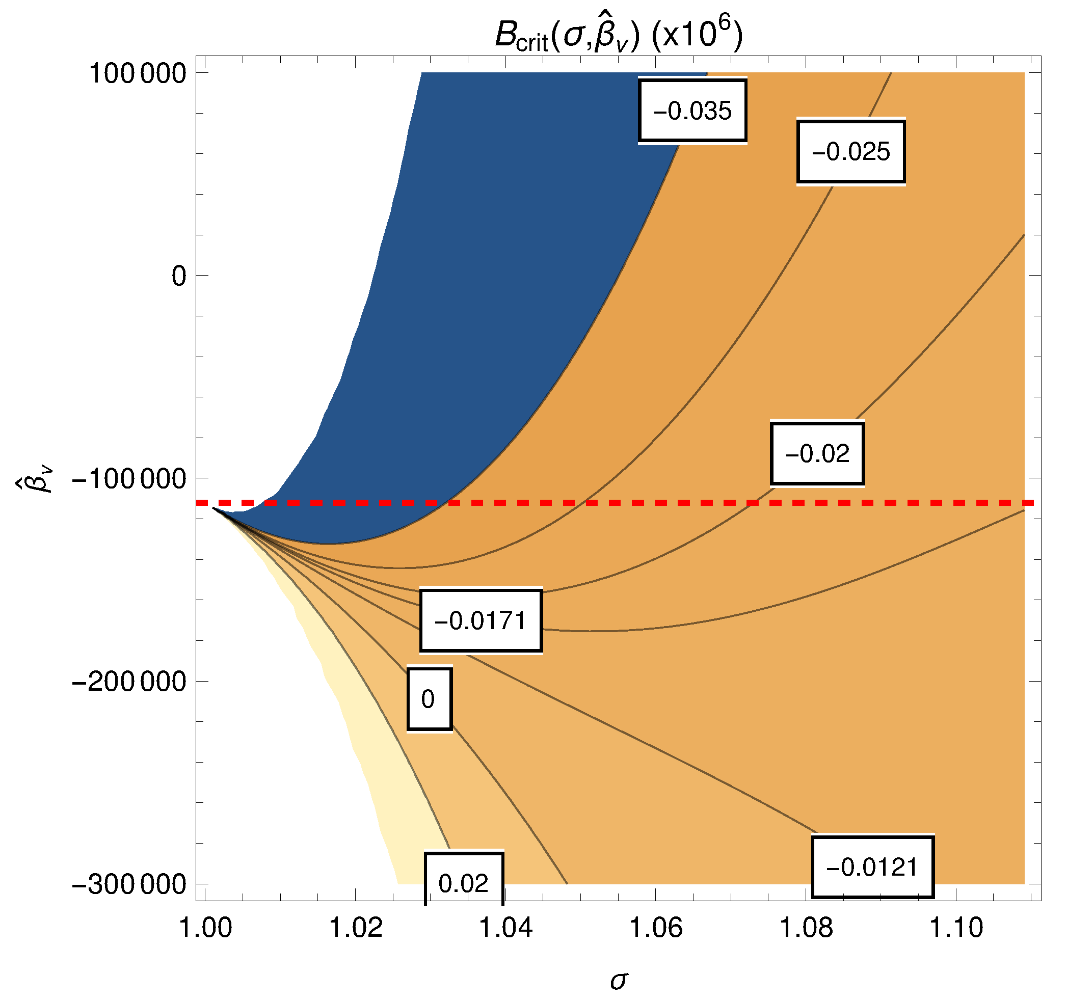
Figure 3 shows the level lines (the white boxes indicate some values) of for all and varying over 10 orders of magnitude from negative to positive values, when . To handle a specific case, one fixes and uses as a critical value. We notice that only non-negative values of , which is the meteoric recharge, are of physical interest; when , is negative (≈) and Equation (54) does not need to be invoked. For negative (extraction), continues to be negative as long as . Thus in our simulations, we always keep .
Figure 3.
Some level lines =const. for (the white boxes indicate the value of the constant). The grid-line (in red) shows that, for , is negative for all .
We have stable steady solutions only for and . Figure 4 shows that by increasing and keeping fixed, decreases while increases. On the contrary, increasing and keeping fixed causes to decrease and to decrease. This behavior also agrees with physical expectations. Indeed, increasing the vapor extraction with a fixed vapor recharge (i.e., from the blue curve to the red one) implies that decreases, and the liquid natural recharge needs to be adjusted at higher rates to maintain stability. On the other hand, a fixed extraction rate and a decreasing natural vapor recharge (i.e., from the red curve to the black one) imply that, to maintain stability, the liquid natural recharge must increase and the critical interface must increase. Figure 5 shows that the compatibility condition (18) is satisfied.
Figure 4.
(a) Steady statesfor To = 1.0005, two negative values of
and two positive values of Bv. (b) For = −105 and Bv = 105, the critical values σcr and ωcr are, respectively, ≈1.01345 and ≈9 × 10−5. For = −×105 and Bv = 1.6 × 104, the critical values σcr and ωcr are, respectively, ≈1.011 and ≈8.3 × 10−5. For = −7.5 × 104 and Bv = 1.6 × 104, the critical values σcr and ωcr are, respectively, ≈1.018 and 6 × 10−5. All steady states for σ > σcr and ω < ωcr are stable. In dimensional variables, these values correspond, respectively, to the critical interface being located at −1185 m, −1154 m and −1252 m.
Figure 5.
Check of the compatibility condition in Equation (18) for case 2.
4.3. Case 3. Recharge Due to a Single Injection Well Localized in the Liquid Domain
In this case, and , so that Equation (26) can be rewritten as
since , which is the injection well located in the liquid domain. The solution to (29) is given by Equation (39), and so F as defined by Equation (33) becomes
with given by Equation (42). Thus, setting
the function F acquires this form:
where has been defined in Equation (45) without any constraints on since is always strictly negative. Figure 6 shows the stable steady states in the present case and Figure 7 shows that the compatibility condition (18) is fulfilled.
Figure 6.
(a) Steady statein the case of a single injection well in the liquid domain. (b) The critical value
of σ is ≈1.053 and ω3,cr ≈ 3.3 × 10−4. All steady states with σ ∈ (σcr, 1 + Γ) and ω3 < ω3,cr are stable.
In dimensional variables, the interface is located at −1723 m.
Figure 7.
Check of the compatibility condition in Equation (18) for case 3.
5. Sustainability of Equilibria and Re-Injection
The main environmental and industrial issue concerning a geothermal field is the long-term sustainability of its power production capability. Since the middle of the last century, this question has been deeply discussed in the specialized literature [40,45,47,49,50], and the primary role of re-injection has been clearly emphasized. It is interesting to express the equilibrium conditions investigated in this study in dimensional variables and to compare them with some historical field data referring to the Larderello reservoir. Due to the severe approximations considered, such a comparison does not have any specific intention but to meet, at least, the order of magnitude of the most significant and available data.
An estimate of the volume of the Larderello reservoir [10,11,14] is about . Assuming the porosity of Table 1, the volume of fluid in the reservoir is on the order of . The meteoric recharge from the shallow aquifer surrounding the reservoir is not constant in time; it depends on a variety of factors and can only be roughly estimated [40]. The rate of steam extraction has changed considerably during the last decades; for example, it was about 300 in the 1950s and declined to about 150 in the 1980s [11]. Precise historical series are available from ENEL, the company holding the rights of exploitation of the Larderello geothermal fields [2]. In the 1990s, the natural recharge from the shallow aquifers in the area was estimated to be about one quarter of the extraction rate [40]. Due to re-injection, it is likely that the ratio of extraction/natural recharge has not changed very much [10,13]. To solve these ürpnöe,s, we assume at any time. Then, we define
Consider, now, “case 2” as discussed in Section 4.2. According to the model, the total discharge per unit volume (that is, in ) is given by
where , and are determined by the dimensionless parameters , , and through (45), (46), and (53), i.e.,
where, by using data from Table 1,
For fixed values of and , any stable steady state is represented by a point , with and , on the curve . Therefore the real location of the interface depends upon the effective value of . At any time during the evolution of the reservoir, we can relate with since
and exploiting (57) and (58), we have
where is given by Equation (59). To evaluate the left-hand side of Equation (61), we extracted some data from the historical series reported by Pallotta [2]. Notice that
so that (see Table 2). Using and as free parameters, Equation (61) and Table 2 provide a simple criterion to relate the Larderello field data with the equilibrium interface. For example, selecting (the 2015 datum), , , Equation (61) is fulfilled with , (i.e., ), which is stable because, in case 2, with this choice of parameters, all interfaces are stable (see Figure 4). If we keep and decrease up to , the new stable position of the interface is around . According to Figures 22 and 23 in [10], at a depth of about m, the fluid pressure in 2010 was 10 bar and the temperature was around 550 K. The real fluid present in the reservoir is not pure water but a complex mixture of water, carbon dioxide and several other chemical components with a great variability of molar fractions. Even for a simple binary water–carbon dioxide system, the estimated saturation pressure would be greatly above the values reported in [10]. It must be emphasized, however, that for a real geothermal fluid, precise indications about the vapor saturation pressure are still lacking, and only some models are supplied [51,52,53]. This suggests, in any event, that for the Larderello field, the vapor/liquid interface must be deeper than m a.s.l. [30]. All this considered, our model, besides its indisputable simplicity and considerable approximations, locates the interface below the above limit provided that the parameters are selected consistently with the field data. This is certainly a very encouraging result. Nomenclature and other symbol definitions can be found in Table 3.
Table 2.
Production history of the Larderello field from 1960 to 2015. Artificial re-injection started in 1975.
Table 3.
Nomenclature and other symbol definitions.
6. Conclusions
The main conclusion of our investigation is that stable stationary states of the liquid/vapor interface are possible either with liquid or vapor recharge combined with vapor extraction. The main parameters (natural liquid recharge), (vapor extraction) and (vapor meteoric recharge) need to be combined conveniently to maintain a stable interface. Increasing the vapor extraction moves the interface towards the bottom of the reservoir, which at the limit is shown to be increasingly vapor-dominated. Interestingly, stable interfaces can generally be obtained only if is less than a critical value; that is, only if the natural liquid recharge is sufficiently large.
The results obtained considering uniform porosity and permeability provide a good qualitative description of the possible steady configurations of a vapor-dominated basin such as Larderello.
An important characteristic of the model is that stationary stable states are compatible with the presence of natural and artificial recharging mechanisms. Such a conclusion agrees with the results of other geological studies [18], despite the drastic simplifications introduced in our model: 1D geometry, an absence of chemicals dissolved in water and uniform geological parameters (which, in a real geothermal field, are far from being homogeneous and may change significantly due to local temperature and pressure). The differential Equation (19), 4, has been proven to be quite satisfactory for modeling the vapor drawdown from a reservoir and for recharging from both aquifers and injection wells. We also think that our analysis is likely to produce physically meaningful results also for equilibrium configurations of water-dominated fields. In conclusion, we believe that, despite the many simplifications made in the model, this study can be an useful step towards improving our understanding of the dynamics of geothermal fields.
Author Contributions
A.F. (Angiolo Farina), A.F. (Antonio Fasano), M.P. and F.R. have equally contributed to the conceptualization, methodology, formal analysis, writing and reviewing of the original draft of the present work. All authors have read and agreed to the submitted version of the manuscript.
Funding
This research received no external funding.
Acknowledgments
The authors wish to thank the unknown reviewers for some useful suggestions to improve the present contribution.
Conflicts of Interest
The authors declare no conflict of interest.
References
- Manzella, A.; Serra, D.; Cesari, G.; Bargiacchi, E.; Cei, M.; Cerutti, P.; Conti, P.; Giudetti, G.; Lupi, M.; Vaccaro, M. Geothermal Energy Use, Country Update for Italy. In Proceedings of the European Geothermal Congress, The Hague, The Netherlands, 11–14 June 2019. [Google Scholar]
- Pallotta, D. Industrial Strategy to Contrast the Decline and Develop the Larderello System; Technical Report; ENEL Green Power: Pisa, Italy, 2019. [Google Scholar]
- Meacci, L.; Farina, A.; Primicerio, M. A free boundary model for the evolution of a geothermal system. Rend. Lincei Mat. Appl. 2019, 30, 125–136. [Google Scholar] [CrossRef]
- Meacci, L.; Farina, A.; Rosso, F.; Borsi, I.; Ceseri, M.; Speranza, A. Proceedings of the Comsol Conference, Milan, Italy, 16 October 2009; Available online: https://www.comsol.com/paper/download/45984/Meacci.pdf (accessed on 15 March 2012).
- Fasano, A.; Cerminara, M. Modelling the dynamics of a geothermal reservoir fed by gravity driven flow through overstanding saturated rocks. J. Volcanol. Geotherm. Res. 2012, 233–234, 37–54. [Google Scholar]
- Truesdell, A.H.; White, D.E. Production of superheated steam from vapor-dominated geothermal reservoirs. Geothermics 1973, 2, 154–173. [Google Scholar] [CrossRef]
- Nathenson, M. Some Reservoir Engineering Calculations for the Vapor-Dominated System at Larderello, Italy; Technical Report 75–142; U.S. Geological Survey: Menlo Park, CA, USA, 1975.
- Pruess, K.; Narasimhan, T.N. On fluid reserves and the production of superheated steam from fractured, vapor-dominated geothermal reservoirs. J. Geophys. Res. Solid Earth 1982, 87.B11, 9329–9339. [Google Scholar] [CrossRef]
- Barelli, A.; Ceiand, M.; Lovari, F.; Romagnoli, P. Numerical modeling for the Larderello-Travale geothermal system, Italy. In Proceedings of the World Geothermal Congress, Bali, Indonesia, 25–29 April 2010. [Google Scholar]
- Romagnoli, P.; Arias, A.; Barelli, A.; Cei, M.; Casini, M. An updated numerical model of the Larderello-Travale geothermal system, Italy. Geothermics 2010, 39, 292–313. [Google Scholar] [CrossRef]
- Cappetti, G.; Parisi, L.; Ridolfi, A.; Stefani, G. Fifteen years of reinjection in the Larderello-Valle Secolo area: Analysis of the production data. In Proceedings of the World Geothermal Congress, Florence, Italy, 18–31 May 1995; pp. 1997–2000. [Google Scholar]
- White, D.E. Characteristics of geothermal resources. In Geothermal Energy; Kruger, P., Otte, C., Eds.; Stanford University Press: Stanford, CA, USA, 1973; pp. 69–94. [Google Scholar]
- Arias, A.; Dini, I.; Casini, M.; Fiordelisi, A.; Perticone, I.; Dell’Aiuto, P. Geoscientific Feature Update of the Larderello-Travale Geothermal System (Italy) for a Regional Numerical Modeling. In Proceedings of the World Geothermal Congress, Bali, Indonesia, 25–29 April 2010. [Google Scholar]
- Ebigbo, A.; Niederau, J.; Marquart, G.; Dini, I.; Thorwart, M.; Rabbel, W.; Pechnig, R.; Bertani, R.; Clauser, C. Influence of depth, temperature, and structure of a crustal heat source on the geothermal reservoirs of Tuscany: Numerical modelling and sensitivity study. Geotherm. Energy 2016. [Google Scholar] [CrossRef] [Green Version]
- Dickson, M.; Fanelli, E.M. (Eds.) Classification and Assessment of Geothermal Resources; Chapter Small Geothermal Resources: A Guide to Development and Utilization; Centre on Small Energy Resources (UNITAR): New York, NY, USA, 1990; p. 3157. [Google Scholar]
- Dickson, M.H.; Fanelli, M. What Is Geothermal Energy; Technical Report; International Institute for Geothermal Research: Pisa, Italy, 2001. [Google Scholar]
- Bromley, C.; Mongillo, M.; Rybach, L. Sustainable utilization strategies and promotion of beneficial environmental effects. In Proceedings of the New Zealand Geothermal Workshop, Auckland, New Zealand, 15–17 November 2006. [Google Scholar]
- Ofwona, C.O. A Reservoir Study of Olkaria East Geothermal System, Kenya. Master’s Thesis, United Nations University, Geothermal Training Programme, Reykjavík, Iceland, 2002. [Google Scholar]
- Axelsson, G.; Bromley, C.; Mongillo, M.; Rybach, L. The sustainability task of the International Energy Agency’s Geothermal Implementing Agreement. In Proceedings of the World Geothermal Congress, Bali, Indonesia, 25–29 April 2010. [Google Scholar]
- Axelsson, G.; Guðmundsson, A.; Steingrímsson, B.; Palmason, G.; Armansson, H.; Tulinius, O. Sustainable production of geothermal energy: Suggested definition. IGA News 2001, 43, 1–2. [Google Scholar]
- Cataldi, R. Sustainability and renewability of geothermal energy. In Proceedings of the International Scientific Conference on Geothermal Energy in Underground Mines, Ustron, Poland, 21–23 November 2001. [Google Scholar]
- O’Sullivan, M.; Yeh, A.; Mannington, W. Renewability of geothermal resources. Geothermics 2010, 39, 314–320. [Google Scholar] [CrossRef]
- Bjarnadóttir, R. Sustainability Evaluation of Geothermal Systems in Iceland Indicators for Sustainable Production. Master’s Thesis, Faculty of Mechanical and Industrial Engineering University of Iceland, Reykjavík, Iceland, 2010. [Google Scholar]
- Axelsson, G. Using long case histories to study hydrothermal renewability and sustainable utilization. Geotherm. Resour. Counc. Trans. 2011, 35, 1393–1400. [Google Scholar]
- Axelsson, G.; Stefánsson, V.; Björnsson, G.; Liu, J. Sustainable utilization of geothermal resources for 100–300 years. In Proceedings of the World Geothermal Congress, Antalya, Turkey, 24–29 April 2005. [Google Scholar]
- Axelsson, G.; Björnsson, G.; Quijano, J. Reliability of lumped parameter modelling of pressure changes in geothermal reservoirs. In Proceedings of the World Geothermal Congress, Antalya, Turkey, 24–29 April 2005. [Google Scholar]
- Axelsson, G. Sustainable geothermal utilization—Case histories, definitions, research issues and modelling. Geothermics 2010, 39, 283–291. [Google Scholar] [CrossRef]
- Axelsson, G. Sustainable geothermal utilization. In Proceedings of the Short Course on Geothermal Development and Geothermal Wells, Santa Tecla, El Salvador, 11–17 March 2012. [Google Scholar]
- Axelsson, G. Sustainable management of geothermal resources. In Proceedings of the SDG Short Course I on Sustainability and Environmental Management of Geothermal Resource Utilization and the Role of Geothermal in Combating Climate Change, Santa Tecla, El Salvador, 4–10 September 2016. [Google Scholar]
- Sestini, G. Superheating of geothermal steam. Geothermics 1970, 2, 622–648. [Google Scholar] [CrossRef]
- Celati, R.; Squarci, P.; Stefani, G.C.; Taffi, L. Study of water levels in Larderello region geothermal wells for reconstruction of reservoir pressure trend. Geothermics 1977, 6, 183–198. [Google Scholar] [CrossRef]
- Gola, G.; Bertini, G.; Bonini, M.; Botteghi, S.; Brogi, A.; De Franco, A.; Dini, A.; Donato, A.; Gianelli, G.; Liotta, D.; et al. Data integration and conceptual modelling of the Larderello geothermal area, Italy. Energy Procedia 2017, 125, 300–309. [Google Scholar] [CrossRef]
- Cappetti, G.; Fiordelisi, A.; Casini, M.; Ciuffi, S.; Mazzotti, A. A New Deep Exploration Program and Preliminary Results of a 3D Seismic Survey in the Larderello-Travale Geothermal Field (Italy). In Proceedings of the World Geothermal Congress, Antalya, Turkey, 24–29 April 2005; pp. 1–9. [Google Scholar]
- Kaya, E.; O’Sullivan, M. Modelling of Injection into Vapour-Dominated Geothermal Systems. In Proceedings of the World Geothermal Congress, Bali, Indonesia, 25–29 April 2010. [Google Scholar]
- Duffield, W.A.; Sass, J.H. Geothermal Energy-Clean Power From the Earth’s Heat; Technical Report C1249; U.S. Department of the Interior U.S. Geological Survey: Reston, VA, USA, 2003.
- Vasey, D.E.; Fredericks, S.E.; Shen, L.; Thompson, S. Natural Resources and Sustainability; Berkshire Publishing Group: Great Barrington, MA, USA, 2011. [Google Scholar]
- Barbier, E.; Bellani, S.; Musmeci, F. The Italian geothermal database. In Proceedings of the World Geothermal Congress, Kyushu-Tohoku, Japan, 28 May–10 June 2000; pp. 3991–3995. [Google Scholar]
- Bellani, S.; Brogi, A.; Lazzarotto, A.; Liotta, D.; Ranalli, G. Heat flow, deep temperatures and extensional structures in the Larderello Geothermal Field (Italy): Constraints on geothermal fluid flow. J. Volcanol. Geotherm. Res. 2004, 132, 15–29. [Google Scholar] [CrossRef]
- Bellani, S.; Gherardi, F. Thermal Conductivity Characterization of Larderello and Mt. Amiata Geothermal Fields. GRC Trans. 2013, 37, 231–235. [Google Scholar]
- Celati, R.; Cappetti, G.; Calore, C.; Grassi, S.; D’Amore, F. Water recharge in Larderello geothermal field. Geothermics 1991, 20, 119–133. [Google Scholar] [CrossRef]
- Farina, A.; Fusi, L.; Rosso, F. Mathematical models for fluids with pressure-dependent viscosity flowing in porous media. Int. J. Eng. Sci. 2015, 87, 110–118. [Google Scholar]
- Coirier, J. Mécanique des Milieux Continus; Dunod: Paris, France, 1997. [Google Scholar]
- Fasano, A.; Primicerio, M. Liquid flow in partially saturated porous media. J. Inst. Math. Appl. 1979, 23, 503–517. [Google Scholar] [CrossRef]
- Fasano, A.; Primicerio, M. Free boundary problems for nonlinear parabolic equations with nonlinear free boundary conditions. J. Math. Anal. Appl. 1979, 72, 247–273. [Google Scholar] [CrossRef] [Green Version]
- Minissale, A. The Larderello geothermal field. Earth-Sci. Rev. 1991, 31, 133–151. [Google Scholar] [CrossRef]
- Gudmundur, S.B.; Valgardur, S. Reinjection into geothermal reservoirs. In Geothermal Reservoir Engineering; Okandan, E., Ed.; NATO ASI Serie; Kluwer Academic Publishers: Dordrecht, The Netherland, 1988; pp. 103–120. [Google Scholar]
- Calore, C.; Pruess, K.; Celati, R. Modeling studies of cold water injection into fluid-depleted vapor-dominated geothermal reservoirs. In Proceedings of the 11th Workshop on Geothermal Reservoir Engineering, Stanford, CA, USA, 21–23 January 1986; pp. 161–168. [Google Scholar]
- Neri, G. Production, reinjection and well-testing in the Larderello geothermal field. In Geothermal Reservoir Engineering; Okandan, E., Ed.; NATO ASI Serie; Kluwer Academic Publishers: Dordrecht, The Netherland, 1988; pp. 223–240. [Google Scholar]
- Bodvarsson, S.; Stefánsson, V. Some Theoretical and Field Aspects of Reinjection in Geothermal Reservoirs. Water Resour. Res. 1989, 25, 1235–1248. [Google Scholar] [CrossRef]
- Stefánsson, V. Geothermal Reinjection Experience. Geothermics 1997, 26, 99–139. [Google Scholar] [CrossRef]
- Spycher, N.; Pruess, K. A Phase-Partitioning Model for CO2–Brine Mixtures at Elevated Temperatures and Pressures: Application to CO2-Enhanced Geothermal Systems. Transp. Porous Media 2010, 82, 173–196. [Google Scholar] [CrossRef] [Green Version]
- Pruess, K. Mathematical Modeling of Fluid Flow and Heat Transfer in Geothermal Systems—An Introduction in Five Lectures; Technical Report 3; The United Nations University, Geothermal Training Programme, Orkustofnun, Grensásvegur 9: Reykjavík, Iceland, 2002. [Google Scholar]
- Efika, E.C.; Hoballah, R.; Li, X.; May, E.F.; Nania, M.; Sanchez-Vicente, Y.; Trusler, J.M. Saturated phase densities of (CO2+H2O) at temperatures from (293 to 450)K and pressures up to 64MPa. J. Chem. Thermodyn. 2016, 93, 347–359. [Google Scholar] [CrossRef] [Green Version]
Publisher’s Note: MDPI stays neutral with regard to jurisdictional claims in published maps and institutional affiliations. |
© 2020 by the authors. Licensee MDPI, Basel, Switzerland. This article is an open access article distributed under the terms and conditions of the Creative Commons Attribution (CC BY) license (http://creativecommons.org/licenses/by/4.0/).






