Abstract
Accuracy in executing a motor task, i.e., in following a given trajectory under geometrical constraints, is of great interest in work operations as well as in biomechanics applications. In the framework of the Fitts’ law research on motor tasks, experimental studies usually refer to simple trajectories which are of low interest in practical applications. Furthermore, available models lack predicting accuracy in executing motor tasks since do not systematically investigate effects of both speed and task difficulty (index of difficulty (ID)). In this paper, the authors propose a ‘Speed-ID-Accuracy’ model aiming at overcoming abovementioned limits. The model is of general validity as is based on an information-based formulation of a trajectory ID; the model proposed put into relation accuracy in task execution with a general trajectory and with the speed of task execution. Modeling accuracy, defined as standard deviation of the endpoint position, is carried out by regressing data available in the literature. The model proposed proves to be more accurate than the classical ‘Speed-Accuracy’ model in fitting available data. Such a result has been found in both numerical cases relating to ‘tunnel’ and ‘circular’ traveling tasks. Limits of data from field experiments are stressed out and future research field of investigations in work environment and biomechanics are figured out.
1. Introduction
Investigations on human motor tasks is a wide and interdisciplinary field of research with application in human factors, human-computer-interface, robotics, and biomechanics for rehabilitation, to mention a few. The accuracy of individuals in following the nominal trajectory aiming at reducing the distance between the actual position with the planned nominal one is of great interest in many fields. In a work environment, precision of a worker in reaching a target area for grasping or releasing an object, for manual assembly activities or in maintenance tasks, need to be assessed for optimizing manual task allocation. Measuring the accuracy in following a trajectory is crucial also in biomechanical applications to assess, for example, the effectiveness of the rehabilitation programs.
Modeling human motor tasks generally refers to classical studies most of them considering the well-known Fitts’ law [1]. Some authors improved the findings of the Fitts’ experience by investigating its applicability in control theory [2,3,4] or in estimating psychomotor movement delays [5,6] by computer modeling of the physical environment [7] as well as by virtual reality devices [8].
In the Fitts’ experience, the motor task of human subjects consisted of a reaching task of a target of width W from an initial starting point to a final one following a trajectory of length A: a short trajectory with a wide target width was significant of an easy reaching task; on the contrary, meeting low target width following a long trajectory was representative of a difficult task.
The basic idea of the Fitts’ law consists of expressing the movement time by the index of performance (IP), representing the amount of information processed in a unit time (bits/s), and the information content of the task (ID), characterizing the difficulty in the task execution (bit). Consistently, for modeling the movement time (MT) of a subject in a reaching motor task, the Fitts’ law was formulated as:
Many formulations of ID have been tested [1,9,10]. Fitts suggested and proved by experiments that the ID in a reaching task of length A with target width W can be expressed by: . Other studies suggested adjustments to the Fitts’ ID formulation by proposing with c = 0.5;1 according to the experiments carried out. In [10], a literature review of the best fitting of different ID formulations with experimental results is provided.
The Fitts’ law was derived by analogy with the Shannon theorem n° 17 [11], theorized within the information-communication theory. The theorem expresses the effective information capacity C (bits/s) of a communication channel of bandwidth B (1/s) as:
where S is the signal power transmitted by the channel and perturbed by a white noise of power N; N represents the uncertainty induced in the transmission of the signal that limits the information capacity of the channel. In the analogy proposed by Fitts, the channel capacity C is associated with the movement time in a reaching motor task while the bandwidth B corresponds to the information processing rate and the power of the signal S represents the length of the trajectory followed. Finally, the noise N corresponds to the tolerance in getting the target in the motor task, i.e., the target’s amplitude. In a perfect analogy, the motor task ID of the Fitts’ experience would be expressed as: . In [12], it is stated that this perfect analogy in the ID calculation leads to a model that better fits empirical data.
In [13], a general information-based formulation is proposed to evaluate the Index of Difficult (ID) of a general trajectory of curvilinear abscissa (s) in a two-dimensional plane; the trajectory is considered to be an infinite sequence of targets of width W(s), variable with abscissa ‘s’ that a subject has to meet along the trajectory, ‘t’. Under these hypotheses, it was proved a general formulation for the difficulty index:
The ID general formulation only depends on the geometry of the trajectory as well as on the geometry of the target width constraining the movement along the trajectory.
In studying psychomotor abilities of humans in performing actual ‘reaching tasks’, the subjects under test or humans in executing work or social activities (e.g., walking, upper limbs movements) can follow trajectories that generally differ from the nominal ‘geometric’ one: in some runs, a subject follows the trajectory while respecting accuracy constraints represented by the target width W(s) at each (s); in other runs, the subject does not meet the targets, in this way incurring in errors. At a given ‘s’ value, a measure of ‘accuracy’ is also a measure of uncertainty of the endpoint position. At each value of the abscissa ‘s’, the position of the endpoint follows a probability density function. Consistently, the effective target width (We) is defined in probabilistic term on the basis of the distribution of hits within the nominal target width (W), at each ‘s’ value. This leads to the evaluation of effective target width We(s) which stochastically bounds the actual trajectories followed by individuals. The issue of the effective target width ‘We’ is described in [10], then developed by [14,15], and applied to two-dimensional tasks in [16,17].
Following the Fitts’ experience, in [18] a ‘Speed-Accuracy’ tradeoff model is proposed. Here, accuracy of an individual in meeting a target width is put into linear relation with task speed execution. However, the model does not formally consider also the effects of task difficulty (ID) on the task execution accuracy, i.e., on the shape of the trajectory followed as well as on the width constraining the trajectory (Equation (3)). Consistently, the ‘speed-accuracy’ model available in the literature cannot be applicable in actual cases which differ from the Fitts’ experience: in actual cases, many and different trajectories with variable difficult index ID have to be followed with a given accuracy.
In this paper, the authors propose a ‘Speed-ID-Accuracy’ model aiming at overcoming abovementioned limits: the accuracy of the endpoint position is put into relation with task speed execution for a general constrained-trajectory.
2. An Information-Based ‘Speed-ID-Accuracy’ Model for Motor Tasks Following a General Constrained-Trajectory
The accuracy of a subject in following a trajectory depends on her/his personal motor abilities, on task velocity as well as on the accuracy required by a given motor task.
In the Fitts’s experiments, healthy subjects were asked to move as fast as possible to acquire target width, W, at a distance, A, following a nominal rectilinear trajectory, with the highest possible accuracy. However, errors in meeting the target were observed. Fitts found what it is known by common experience: accuracy in acquiring a target was strictly related with velocity in the task execution. Close targets (short distance A) with big width (W) were acquired faster (low movement time MT) than small targets placed at higher distance.
The ‘Speed-Accuracy’ tradeoff model was proposed to capture the variability of the effective endpoint position expressed in terms of standard deviation, SD(x) that is put into linear relation with speed [18]:
Despite the similarity with the Fitts’ law, Equation (4) is related to the stochasticity of the phenomenon: the higher the velocity of covering a trajectory is, the higher is the uncertainty of meeting the target. Equation (4) refers to the Fitts’ experience of a reaching task between an initial position and a final target of width W at distance A.
We propose to extend the ‘Speed-Accuracy’ tradeoff model (4) by considering the standard deviation of the endpoint position depending on both speed and ID as:
where v is the average speed (v = A/MT) of a subject in following a nominal trajectory ‘t’ while continuously meeting targets with variable width W(s) along the trajectory, and a, b, c, and are the model parameters.
In [10], a discussion of Fitts’s law experiments pointed out as the variability of the endpoint position follows a normal distribution meeting the nominal target width with an average error rate of 4%: in other words, individuals actually meet the target within an effective width We = W in 96% of hits observed. Consistently, the range of the standardized variable, z, of the unit-normal distribution was identified as: −2.066 < z < +2.066. In case of an error rate observed other than 4%, We is obtained as:
being ze the standardized variable of the unit-normal distribution corresponding to the observed percentage error rate, erre, other than 4%. Since the endpoint position follows a normal distribution, its standard deviation can be obtained as:
In the next sections, the model (5) along with relations (6) and (7) are applied to two different reaching tasks: the ‘Tunnel Traveling Task’ and the ‘Circular Traveling Task’ whose experimental data are available in [19].
In case of the Tunnel Traveling Task (TTT), a rectilinear trajectory of length A and an infinite sequence of target of width W has to be met (see Figure 1). The corresponding ID formulation was obtained in [13] starting from Equation (3) as:
Figure 1.
Representation of a Tunnel Traveling Task.
Following the same approach, in case of a semicircular trajectory reaching task the ID formulation has been obtained as follows.
The task is represented in Figure 2 where a system of polar coordinates is considered.
Figure 2.
Semicircular trajectory with a decreasing width (W(s)).
It is assumed a target width decreasing with the curvilinear abscissa, s, according to the following equation:
where:
- W(0) is the initial target width ()
- k is a constant tuning the reduction of the target width with the polar angle,
- r is the radius of the nominal trajectory constrained by variable target width, W(s), along the trajectory
Being:
by substituting Equations (9) and (10) in Equation (3), the index of difficulty of a circular trajectory of target width W(s) can be obtained as:
where is the final polar angle of the trajectory. In case of a semicircular trajectory () with decreasing target width, the corresponding ID is obtained as:
Consistently, Equation (9) becomes:
Let’s assume
where frid is a non-dimensional term (>1) expressing the reduction factor of the target width between the initial and final target size. By combining Equations (13) and (14), the constant k is obtained as:
By substituting constant k (Equation (15)) in Equation (12), IDsemicirc is obtained. In case of constant target width () the IDsemicirc results:
3. ‘Speed-ID-Accuracy’ Model: Numerical Cases
In this section, starting from experimental data available in the scientific literature [19], the ‘Speed-ID-Accuracy’ model (Equation (5)) has been applied to both Tunnel Traveling Task (TTT) and Circular Traveling Task (CTT). Experiments relate samples of individuals with different age in accomplishing differently sized TTT and CTT. Field data observed revealed no significant difference between differently aged individuals. Some of the TTT row data available in the quoted paper are summarized in Table 1.
Table 1.
Experimental data on Tunnel Traveling Task (from [19]).
Starting from the success probability values in Table 1, the corresponding error and z values are obtained for different A and W values. This allows determining the effective target width (We) by Equation (6) and the corresponding standard deviation values (SDTTT(x)) by Equation (7). Traveling length (A) and movement time (MT) values observed provide the average speed of tasks’ execution. Finally, the corresponding ID values have been obtained by Equation (8).
Results are in Table 2.
Table 2.
ID, Speed, We and SD(x) values for the Tunnel Traveling Task.
By regressing SDTTT(x) values on speed and ID values, the parameters of the ‘Speed-ID-Accuracy’ model (Equation (5)) have been obtained; they are shown in Table 3.
Table 3.
Regression parameters of Equation (5) for the Tunnel Traveling Task. (SD(x) [cm]; Speed [cm/s]; ID [bit]).
As one can see, the model (Equation (5)) fits well data available in [19] as witnessed by R2 = 91.78% and p-value = 0.001.
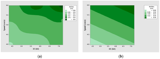
SDTTT(x) values are plotted in Figure 3a against task speed observed in experiments [19] for different ID values evaluated by Equation (8); similarly, dependency of SDTTT(x) on both task speed and ID values as calculated by the model (Equation (5)) is plotted in Figure 3b.
Figure 3.
Standard deviation of the endpoint position (SD) observed ([19], (a)) and predicted (model Equation (5), (b)) vs. ID (Equation (8)) and observed task speed.
It is worth nothing the significant dependency of SDTTT(x) on ID. Such a finding is due to the extension of the classical ‘Speed-Accuracy’ model by the model proposed. In fact, by neglecting the ID influence on SDTTT(x), the regression analysis on experimental data by Equation (4) (classical model) provides a less accurate goodness of fit, being R2 = 73.46% and p-value = 0.003.
Experimental data (Table 1) allowed regressing task speed (v = A/MT) on A and W values as:
The regression parameters of Equation (9) are in Table 4 as well as R2 and p-values witnessing the goodness of fit of the regression.
Table 4.
Regression parameters of Equation (17) for the Tunnel Traveling Task. (Speed [cm/s]; A [cm]; W [cm]).
The ‘Speed-ID-Accuracy’ model (Equation (5)) has been tested for different ID and W values of the Tunnel Traveling Task. Results are in Figure 4. Here, the accuracy of individuals is measured in relative terms, i.e., by the ratio (rSD) between the standard deviation of the endpoint position (SD(x)) and the target width (W): a high rSD value represents low relative accuracy of an individual in acquiring a given target. Curves in Figure 4 are obtained by setting the same range for A (20–45 cm) at a given W value.
Figure 4.
Accuracy of the endpoint position in a Tunnel Traveling Task: (rSD = SD(x)/W) vs. ID for different W values.
The ratio rSD linearly increases with ID for a given W: less accuracy performance is consequence of higher trajectory lengths as ID increases with A. Moreover, rSD decreases for higher W values at a given ID: higher accuracy can be obtained in meeting larger targets’ width following a trajectory of a given length. Furthermore, rSD shows a higher sensitivity to ID for lower W values and same A range, as it can be observed in Figure 4.
The ‘Speed-ID-Accuracy’ model (Equation (5)) has been applied also to a Circular Traveling Task (CTT) with constant target width along the trajectory.
The ID of a circumferential trajectory (CTT) with constant target width can be easily obtained by setting in Equation (11):
In [19], field data on movement time and success probability of reaching the target for different circle perimeters and constant target widths of CTTs are provided. By adopting the same approach followed for the Tunnel Traveling Task, the regression parameters of the ‘Speed-ID-Accuracy’ model (Equation (5)) as well as the regression parameters of the task speed vs. the circle perimeter (A) and target width (W) (Equation (17)) have been obtained. Results of the regression analyses are in Table 5 and Table 6, respectively.
Table 5.
Regression parameters of Equation (5) for the Circular Traveling Task (CTT). (SD(x) = [cm]; Speed [mm/s]; ID [bit]).
Table 6.
Regression parameters of Equation (17) for the Circular Traveling Task (CTT). (Speed [cm/s]; A = 2 ∗ π ∗ r [cm]; W [cm]).
As shown in Table 5, the model (Equation (5)) well fits experimental data even if higher R2 value could have been obtained in case of more available data. This is mainly due to the higher complexity of a CTT compared with TTT, causing a higher uncertainty in meeting the final target after a circular trajectory.
By applying the classical ’Speed-Accuracy’ model (Equation (4)) to the same data set in [19], the goodness of regression significantly declines, being R2 = 19.85 and p-value = 0.147. As one can see, the usefulness of the proposed ‘Speed-ID-Accuracy’ model increases when reaching tasks have to follow more complex trajectories usually observed in actual cases.
A very good regression of speed values on A and W values is obtained (see Table 6), thus confirming the linear dependency of the speed on the trajectory length (A) and the target width (W) (Equation (17)).
By substituting IDCTT (Equation (18)) and v (Equation (17)) in Equation (5), the ‘Speed-ID-Accuracy’ model for the circular trajectory is obtained.
In Figure 5, the rSD values obtained from experimental data [19] are plotted against the ID of circle perimeter (IDCTT) for different W values; in the same figure the corresponding rSD values obtained by the model are plotted.
Figure 5.
Circular Traveling Task: rSD vs. ID for different W values.
Both trends (model results and experimental data) show an increasing dependency of rSD on ID: less accuracy (higher rSD) is consequence of a higher task difficulty (i.e., higher lengths of trajectories at a given W). Furthermore, rSD decreases for higher W, at a given ID: higher accuracy can be obtained in reaching targets with higher width.
4. Discussion
The model proposed addresses the need for relating the accuracy in accomplishing tasks with not only the execution speed, but also with task complexity. The classical ‘Speed-Accuracy’ model tends to fail in regressing experimental data when task complexity increases as shown in the numerical cases.
The model proposed proved to be effective in capturing the accuracy in differently complex tasks: the higher task complexity, the more and reliable data are needed.
The model can be usefully applied in actual cases to assess whether the accuracy required in accomplishing a task of a given complexity in a given time window is consistent with individuals the task is assigned to. Conversely, the model can be applied also to assess the speed (time) limit in executing a task of a given complexity under accuracy constraint. The model proposed can be applied in different contexts. In a working environment, workers are required to execute motor tasks: here, workers’ hands (endpoints of interest) have to follow trajectories with complexity differing case by case. In such environments, the trade-off between accuracy, task speed execution, and task complexity is to be searched for.
A further field of the ‘Speed-ID-Accuracy’ model proposed is in biomechanics. For example, monitoring the knees’ trajectories (endpoints of interest) of individuals with or without lower limbs inabilities, can provide a deep understanding of rehabilitation programs. The monitoring of the accuracy of the endpoints requires the evaluation of the trajectory ID which in turn, affect the accuracy of the motor task execution by both healthy individuals and those with physical inabilities.
5. Conclusions and Further Research
The need for quantifying the accuracy of individuals in executing reaching motor tasks of different difficulty is a problem of relevant importance in different human activities. In work environment, operations’ tolerance needs to be consistent with human accuracy (e.g., human-robot interaction). In rehabilitation programs, individuals with disabilities are required to follow a nominal trajectory while minimizing the distance between actual and nominal positions so as to indirectly estimate the psychomotor abilities.
In this paper, the authors propose a ‘Speed-ID-Accuracy’ model extending previous studies on accuracy of individuals in executing simple motor tasks referred to the Fitts’ law. The model proposed extend the investigations toward two directions: firstly, it considers a general geometry of the trajectory which is constrained by continuously variable width of targets; furthermore, the accuracy of individuals in executing such a general motor task is considered to be dependent not only on task speed but also on the ID calculated for the assigned geometry of the motor task. A measure of accuracy is proposed; it is defined as the ratio between the standard deviation of the endpoint position and the final target width so as to take into account the precision of individuals in meeting target of different sizes.
The model proposed can be applied to a general case provided the geometry of the nominal trajectory (s = s(x)) and the shape of continuously variable target width (W = W(s)) as well as the related experimental data on average speed and on errors of individuals in acquiring the final target are given.
The model has been applied to two numerical cases concerning two different types of reaching motor tasks: the ‘Tunnel Traveling Task’ and the ‘Circular Traveling Tasks’. The model parameters have been obtained by regressing experimental data available in the literature. In both cases the model well fitted experimental data and revealed robust in appreciating the dependency of accuracy on task speed execution and ID values. The classical ’Speed-Accuracy’ model proved to be inaccurate in assessing the accuracy of more complex reaching motor tasks as it neglects the effect of task complexity.
To extend the model applicability, further research should be focused on experiments on differently aged and sexed individuals in executing predefined movements along trajectories of whatever geometry. Characterizing the accuracy along complex trajectory could reveal a resource- and time-consuming task. To overcome such a limit, the model proposed could be fed by experimental data captured by motion tracking systems in both labs and working environments.
Author Contributions
All authors contributed equally to the manuscript, in particular as regards conceptualization, methodology, software, investigation, writing—original draft, and writing—review, and editing. All authors have read and agreed to the published version of the manuscript.
Funding
This research was funded by the Italian Ministry of Education, Universities and Research (MIUR), SO4SIMS project (Smart Operators 4.0 based on Simulation for Industry and Manufacturing Systems-Project PRIN-2017FW8BB4).
Conflicts of Interest
The authors declare no conflict of interest.
References
- Fitts, P.M. The information capacity of the human motor system in controlling the amplitude of movement. J. Exp. Psychol. 1954, 47, 381–391. [Google Scholar] [CrossRef] [PubMed]
- Phillips, C.A.; Repperger, D.W. Why engineers should know and use Fitts’ Law? In Proceedings of the 19th Annual International Conference of the IEEE Engineering in Medicine and Biology Society, ‘Magnificent Milestones and Emerging Opportunities in Medical Engineering’, Chicago, IL, USA, 30 October–2 November 1997; pp. 1686–1689. [Google Scholar]
- Gawthrop, P.; Lakie, M.; Loram, I. Predictive feedback control and Fitts’ law. Biol. Cybern. 2008, 98, 229–238. [Google Scholar] [CrossRef] [PubMed][Green Version]
- Cannon, D.J. Experiments with a Target-Threshold Control Theory Model for Deriving Fitts’ Law Parameters for Human-Machine Systems. IEEE Trans. Syst. Man Cybern. 1994, 24, 1089–1098. [Google Scholar] [CrossRef]
- Beamish, D.; MacKenzie, I.S.; Wu, J. Speed-accuracy trade-off in planned arm movements with delayed feedback. Neural Netw. 2006, 19, 582–599. [Google Scholar] [CrossRef] [PubMed]
- Beamish, D.; Bhatti, S.; Chubbs, C.S.; MacKenzie, I.S.; Wu, J.; Jing, Z. Estimation of psychomotor delay from the Fitts’ law coefficients. Biol. Cybern. 2009, 101, 279–296. [Google Scholar] [CrossRef] [PubMed]
- Klochek, C.; MacKenzie, I.S. Performance measures of game controllers in a three-dimensional environment. In Proceedings of the 2006 Conference on Graphics Interface, Quebec City, QC, Canada, 7–9 June 2006; pp. 73–79. [Google Scholar]
- Zhai, S.; Accot, J.; Woltjer, R. Human action laws in electronic virtual worlds: An empirical study of path steering performance in VR. Presence Teleoperators Virtual Environ. 2004, 13, 113–127. [Google Scholar] [CrossRef]
- Welford, A.T. The measurement of sensory-motor performance: Survey and reappraisal of twelve years’ progress. Ergonomics 1960, 3, 189–230. [Google Scholar] [CrossRef]
- MacKenzie, I.S. Fitts’ Law as a Research and Design Tool in Human-Computer Interaction. Hum. Comput. Interact. 1992, 7, 91–139. [Google Scholar] [CrossRef]
- Shannon, C.E. A Mathematical Theory of Communication. Bell Syst. Tech. J. 1948, 27, 379–423. [Google Scholar] [CrossRef]
- MacKenzie, I.S. A note on the information-theoretic basis for Fitts’ law. J. Mot. Behav. 1989, 21, 323–330. [Google Scholar] [CrossRef] [PubMed]
- Accot, J.; Zhai, S. Beyond Fitts’ law: Models for trajectory-based HCI tasks. In Proceedings of the Conference on Human Factors in Computing Systems, Atlanta, GA, USA, 22–27 March 1997. [Google Scholar]
- Kong, J.; Ren, X. Calculation of Effective Target Width and Its Effects on Pointing Tasks. IPSJ Digit. Cour. 2006, 2, 235–237. [Google Scholar] [CrossRef]
- Kong, J.; Ren, X. Comparison of effective target width calculation methods for pointing task. In Proceedings of the Fifth International Conference on Computer and Information Technology, CIT’05, Shanghai, China, 21–23 September 2005. [Google Scholar]
- Murata, A. Extending effective target width in Fitts’ law to a two-dimensional pointing task. Int. J. Hum. Comput. Interact. 1999, 11, 137–152. [Google Scholar] [CrossRef]
- Murata, A.; Iwase, H. Proposal of two-dimensional effective target width in Fitts’ Law. In Proceedings of the IEEE International Conference on Systems, Man and Cybernetics, Tokyo, Japan, 12–15 October 1999; pp. 265–270. [Google Scholar]
- Schmidt, R.A.; Zelaznik, H.; Hawkins, B.; Frank, J.S.; Quinn, J.T., Jr. Motor-output variability: A theory for the accuracy of rapid motor acts. Psychol. Rev. 1979, 86, 415–451. [Google Scholar] [CrossRef]
- Hourcade, J.P.; Berkel, T.R. Simple pen interaction performance of young and older adults using handheld computers. Interact. Comput. 2008, 20, 166–183. [Google Scholar] [CrossRef]
Publisher’s Note: MDPI stays neutral with regard to jurisdictional claims in published maps and institutional affiliations. |
© 2020 by the authors. Licensee MDPI, Basel, Switzerland. This article is an open access article distributed under the terms and conditions of the Creative Commons Attribution (CC BY) license (http://creativecommons.org/licenses/by/4.0/).




