RETRACTED: PSHRisk-Tool: A Python-Based Computational Tool for Developing Site Seismic Hazard Analysis and Failure Risk Assessment of Infrastructure
Abstract
1. Introduction
2. Theoretical Supports
2.1. Source Identification and Source-to-Site Distribution
2.2. Uncertainty and PDF of Earthquake Magnitude
2.3. Probabilistic Seismic Hazard Analysis (PSHA)
2.4. GMPE Parameters
2.5. Extended Probabilistic Seismic Hazard Analysis (EPSHA)
2.6. Failure Risk Assessment (FR-Assessment)
3. Application of PSHRisk-Tool
- Section 1: Probabilistic Seismic Hazard Analysis (PSHA)
- Section 2: Extended Probabilistic Seismic Hazard Analysis (EPSHA)
- Section 3: Ground Motion Prediction Equation (GMPE)
- Section 4: Failure Risk Assessment (FR-Assessment)
3.1. Section 1: Probabilistic Seismic Hazard Analysis (PSHA)
3.2. Section 2: Extended Probabilistic Seismic Hazard Analysis (EPSHA)
3.3. Section 3: Ground Motion Prediction Equation (GMPE)
3.4. Section 4: Failure Risk Assessment (FR-Assessment)
3.5. About System Architecture
3.5.1. GUI
3.5.2. Python Module
3.5.3. Caching Scheme
3.5.4. Exporting Facility
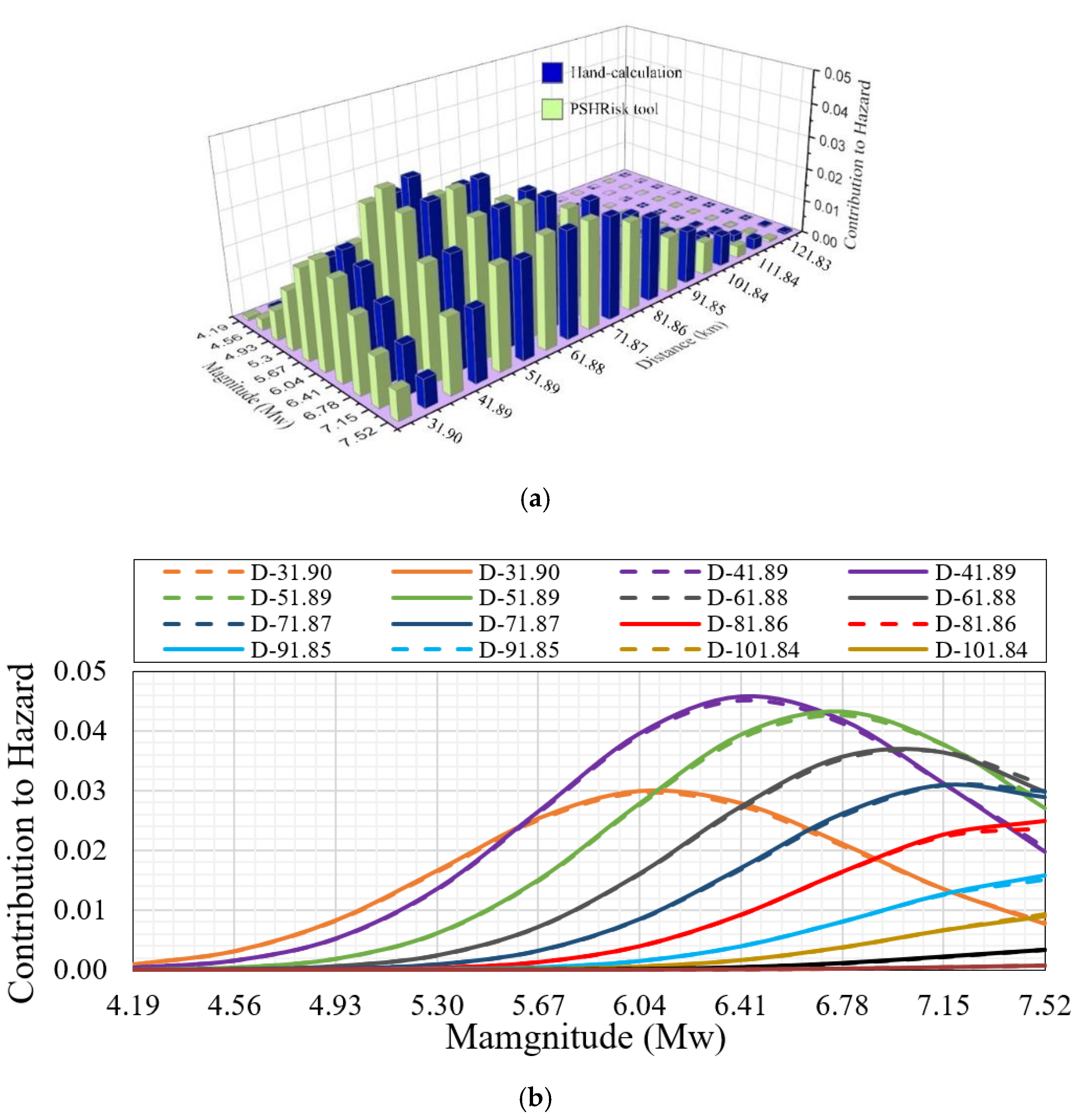
4. Verification of PSHRisk-Tool Results
4.1. Analytical Solution
4.2. Existing Test Model
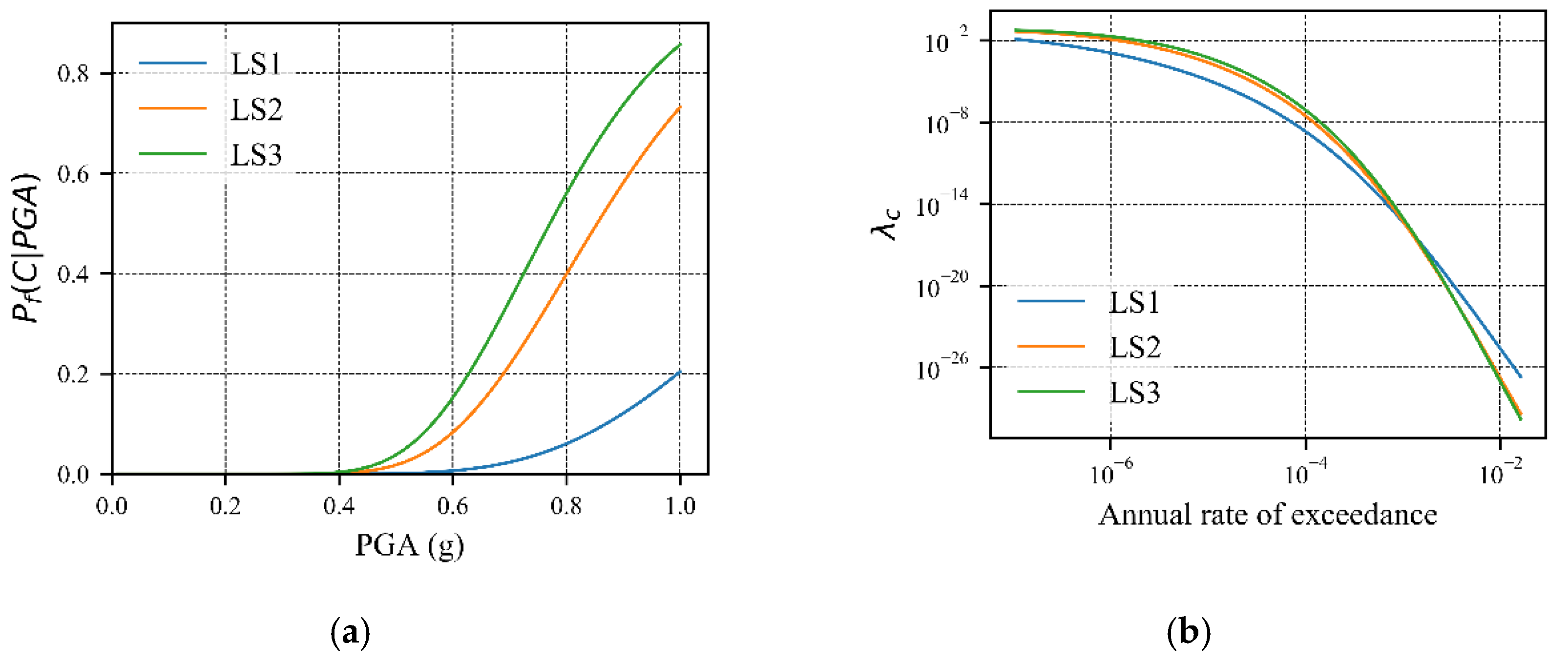
5. Case Study and Discussion
6. Conclusions and Future Work
Supplementary Materials
Author Contributions
Funding
Acknowledgments
Conflicts of Interest
References
- Baker, J.W. An introduction to probabilistic seismic hazard analysis (PSHA). White Pap. Version 2008, 1, 72. [Google Scholar]
- Cornell, C.A. Engineering seismic risk analysis. Bull. Seismol. Soc. Am. 1968, 58, 1583–1606. [Google Scholar]
- Eads, L.; Miranda, E.; Krawinkler, H.; Lignos, D. Improved estimation of collapse risk for structures in seismic regions. In Proceedings of the 15th World Conference on Earthquake Engineering, Lisbon, Portugal, 24–28 September 2012. [Google Scholar]
- Eads, L.; Miranda, E.; Lignos, D.G. Average spectral acceleration as an intensity measure for collapse risk assessment. Earthq. Eng. Struct. Dyn. 2015, 44, 2057–2073. [Google Scholar] [CrossRef]
- Ibarra, L.F.; Krawinkler, H. Global Collapse of Frame Structures under Seismic Excitations; PEER Report 2005/06; The John A. Blume Earthquake Engineering Center: Stanford, CA, USA, 2005. [Google Scholar]
- McGuire, R. FRISK88M: User’s Manual; Risk Engineering Inc.: Louisville, CO, USA, 1996; p. 4155. [Google Scholar]
- Field, E.H.; Jordan, T.H.; Cornell, C.A. OpenSHA: A developing community-modeling environment for seismic hazard analysis. Seismol. Res. Lett. 2003, 74, 406–419. [Google Scholar] [CrossRef]
- Field, E.H.; Gupta, N.; Gupta, V.; Blanpied, M.; Maechling, P.; Jordan, T.H. Hazard calculations for the WGCEP-2002 earthquake forecast using OpenSHA and distributed object technologies. Seismol. Res. Lett. 2005, 76, 161–167. [Google Scholar] [CrossRef]
- Robinson, D.; Dhu, T.; Row, P. EQRM: An open-source event-based earthquake risk modeling program. In Proceedings of the AGU Fall Meeting, San Francisco, CA, USA, 10–14 December 2007. [Google Scholar]
- Youngs, R.R.; Coppersmith, K.J. Implications of fault slip rates and earthquake recurrence models to probabilistic seismic hazard estimates. Bull. Seismol. Soc. Am. 1985, 75, 939–964. [Google Scholar] [CrossRef]
- Pailoplee, S.; Palasri, C. CU-PSHA: A Matlab software for probabilistic seismic hazard analysis. J. Earthq. Tsunami 2014, 8, 1450008. [Google Scholar] [CrossRef]
- Abrahamson, N.A.; Silva, W.J. Attenuation of long period strong ground motions. In Proceedings of the Conference of American Society of Mechanical Engineers, Lakeland, FL, USA, 25 March 1993; p. 187. [Google Scholar]
- Abrahamson, N.; Silva, W.J. Empirical response spectral attenuation relations for shallow crustal earthquakes. Seismol. Res. Lett. 1997, 68, 94–127. [Google Scholar] [CrossRef]
- Ambraseys, N. Trends in engineering seismology in Europe. In Proceedings of the fifth European conference on earthquake engineering, Istanbul, Turkey, 22–25 September 1975; pp. 39–52. [Google Scholar]
- Ambraseys, N. Uniform magnitude re-evaluation of European earthquakes associated with strong-motion records. Earthq. Eng. Struct. Dyn. 1990, 19, 1–20. [Google Scholar] [CrossRef]
- Boore, D.M.; Joyner, W.B.; Fumal, T.E. Equations for estimating horizontal response spectra and peak acceleration from western North American earthquakes: A summary of recent work. Seismol. Res. Lett. 1997, 68, 128–153. [Google Scholar] [CrossRef]
- Campbell, K.W. Near-source attenuation of peak horizontal acceleration. Bull. Seismol. Soc. Am. 1981, 71, 2039–2070. [Google Scholar]
- Campbell, K.W. The dependence of peak horizontal acceleration on magnitude, distance, and site effects for small-magnitude earthquakes in California and eastern North America. Bull. Seismol. Soc. Am. 1989, 79, 1311–1346. [Google Scholar]
- Campbell, K.W. Empirical near-source attenuation relationships for horizontal and vertical components of peak ground acceleration, peak ground velocity, and pseudo-absolute acceleration response spectra. Seismol. Res. Lett. 1997, 68, 154–179. [Google Scholar] [CrossRef]
- Campbell, K.W.; Bozorgnia, Y. Updated near-source ground-motion (attenuation) relations for the horizontal and vertical components of peak ground acceleration and acceleration response spectra. Bull. Seismol. Soc. Am. 2003, 93, 314–331. [Google Scholar] [CrossRef]
- Campbell, K.; Bozorgnia, Y. Empirical ground motion model for shallow crustal earthquakes in active tectonic environments developed for the NGA project. In Proceedings of the 14th World Conference on Earthquake Engineering, Beijing, China, 12–17 October 2008; p. 4. [Google Scholar]
- Cornell, C.A.; Banon, H.; Shakal, A.F. Seismic motion and response prediction alternatives. Earthq. Eng. Struct. Dyn. 1979, 7, 295–315. [Google Scholar] [CrossRef]
- Donovan, N.C. A Statistical Evaluation of Strong Motion Data: Including the February 9, 1971 San Fernando Earthquake; Dames & Moore: San Francisco, CA, USA, 1973. [Google Scholar]
- Faccioli, E. Response spectra for soft soil sites. In Proceedings of the ASCE Geotechnical Engineering Division Specialty Conference, Pasadena, CA, USA, 19–21 June 1978. [Google Scholar]
- Faccioli, E. Engineering seismic risk analysis of the Friuli region. Boll. Geofis. Teor. Appl. 1979, XXI, 173–190. [Google Scholar]
- Joyner, W.B.; Boore, D.M. Peak horizontal acceleration and velocity from strong-motion records including records from the 1979 Imperial Valley, California, earthquake. Bull. Seismol. Soc. Am. 1981, 71, 2011–2038. [Google Scholar]
- Joyner, W.B.; Boore, D.M. Measurement, characterization, and prediction of strong ground motion. In Earthquake Engineering and Soil Dynamics II, Proceedings of the American Society of Civil Engineers Geotechnical Engineering Division Specialty Conference, Park City, UT, USA, 15–18 August 1988; American Society of Civil Engineers: Reston, VA, USA, 1988; pp. 43–102. [Google Scholar]
- McGuire, R.K. Seismic ground motion parameter relations. J. Geotech. Eng. Div. 1978, 104, 481–490. [Google Scholar] [CrossRef]
- Orphal, D.; Lahoud, J. Prediction of peak ground motion from earthquakes. Bull. Seismol. Soc. Am. 1974, 64, 1563–1574. [Google Scholar] [CrossRef]
- Sadigh, K.; Chang, C.-Y.; Egan, J.; Makdisi, F.; Youngs, R. Attenuation relationships for shallow crustal earthquakes based on California strong motion data. Seismol. Res. Lett. 1997, 68, 180–189. [Google Scholar] [CrossRef]
- Zare, M.; Sabzali, S. Spectral attenuation of strong motions in Iran. In Proceedings of the Third International Symposium on the Efects of Surface Geology on Seismic Motionn, Grenoble, France, 30 August–1 September 2006. [Google Scholar]
- Laouami, N. Vertical ground motion prediction equations and vertical-to-horizontal (V/H) ratios of PGA and PSA for Algeria and surrounding region. Bull. Earthq. Eng. 2019, 17, 3637–3660. [Google Scholar] [CrossRef]
- Podili, B.; Raghukanth, S. Ground motion parameters for the 2011 Great Japan Tohoku earthquake. J. Earthq. Eng. 2019, 23, 688–723. [Google Scholar] [CrossRef]
- Bajaj, K.; Anbazhagan, P. Determination of GMPE functional form for an active region with limited strong motion data: Application to the Himalayan region. J. Seismol. 2018, 22, 161–185. [Google Scholar] [CrossRef]
- Douglas, J. Ground Motion Prediction Equations 1964–2014; PEER Report 2011; University of Strathclyde: Glasgow, UK, 2014; p. 102. [Google Scholar]
- Medina, R.A.; Krawinkler, H. Seismic Demands for Nondeteriorating Frame Structures and Their Dependence on Ground Motions; PEER 2003/15; Pacific Earthquake Engineering Research Center: Berkeley, CA, USA, 2004. [Google Scholar]
- Kramer, S.L. Geotechnical Earthquake Engineering; Pearson Education: Chennai, India, 1996. [Google Scholar]
- Gutenberg, B.; Richter, C.F. Frequency of earthquakes in California. Bull. Seismol. Soc. Am. 1944, 34, 185–188. [Google Scholar] [CrossRef]
- McGuire, R.; Arabasz, W. An introduction to probabilistic seismic hazard analysis. Geotech. Environ. Geophys. 1990, 1, 333–353. [Google Scholar] [CrossRef]
- Burks, L.S.; Baker, J.W. Occurrence of negative epsilon in seismic hazard analysis deaggregation, and its impact on target spectra computation. Earthq. Eng. Struct. Dyn. 2012, 41, 1241–1256. [Google Scholar] [CrossRef]
- Baker, J.W.; Allin Cornell, C. A vector-valued ground motion intensity measure consisting of spectral acceleration and epsilon. Earthq. Eng. Struct. Dyn. 2005, 34, 1193–1217. [Google Scholar] [CrossRef]
- TERACorporation. Evaluation of Peak Horizontal Ground Acceleration Associated with the Offshore Zone of Deformation at San Onofre Nuclear Generating Station; TERA Corporation: Berkeley, CA, USA, 1980. [Google Scholar]
- Bazzurro, P.; Allin Cornell, C. Disaggregation of seismic hazard. Bull. Seismol. Soc. Am. 1999, 89, 501–520. [Google Scholar]
- McGuire, R.K. Probabilistic seismic hazard analysis and design earthquakes: Closing the loop. Bull. Seismol. Soc. Am. 1995, 85, 1275–1284. [Google Scholar]
- Tadinada, S.K. A Bayesian Framework for Probabilistic Seismic Fragility Assessment of Structures. Ph.D. Thesis, North Carolina State University, Raleigh, NC, USA, 2012. [Google Scholar]
- Kim, S.-H.; Feng, M.Q. Fragility analysis of bridges under ground motion with spatial variation. Int. J. Non-Linear Mech. 2003, 38, 705–721. [Google Scholar] [CrossRef]
- R.C. Ltd. PyQt5 Reference Guide. Available online: https://www.riverbankcomputing.com/software/pyqt/ (accessed on 20 November 2019).
- Hunter, J.D. Matplotlib: A 2D graphics environment. Comput. Sci. Eng. 2007, 9, 90–95. [Google Scholar] [CrossRef]
- Gillies, S. The Shapely User Manual, 1.7.0. Available online: https://shapely.readthedocs.io/en/stable/manual.html (accessed on 10 November 2019).
- Schlömer, N. Pygmsh Documentation (Release 4.3.6). Available online: https://pygmsh.readthedocs.io/en/latest (accessed on 15 November 2019).
- Geuzaine, C.; Remacle, J.-F. Gmsh: A three-dimensional finite element mesh generator with built-in pre-and post-processing facilities. Int. J. Numer. Methods Eng. 2009, 79, 1309–1331. [Google Scholar] [CrossRef]
- Gazoni, E.; Clark, C. Openpyxl-A Python Library to Read/Write Excel 2010 xlsx/xlsm Files 3.0.3. Available online: https://openpyxl.readthedocs.io/en/2.0 (accessed on 17 November 2019).
- Seismograph. PSHA Tool. Available online: https://seismograph.me/product/psha-tool (accessed on 12 December 2019).
- Danciu, L.; Pagani, M.; Monelli, D.; Wiemer, S. GEM1 Hazard: Overview of PSHA Software; GEM Technical Report 2010-2; GEM Foundation: Pavia, Italy, 2010; p. 41. [Google Scholar]
- Choi, I.-K.; Nakajima, M.; Choun, Y.-S.; Ohtori, Y. Development of the site-specific uniform hazard spectra for Korean nuclear power plant sites. Nucl. Eng. Des. 2009, 239, 790–799. [Google Scholar] [CrossRef]
- Choun, Y.S.; Choi, I.K.; Ohtori, Y.; Shiba, Y.; Nakajima, M. Korea-Japan Joint Research on Development of Seismic Capacity Evaluation and Enhancement Technology Considering Near-Fault Effects; KAERI/RR-2688/2006; Korea Atomic Energy Research Institute: Daejeon, Korea, 2003. [Google Scholar]
- Seo, J.M.; Choun, Y.S.; Choi, I.K. Reduction of Uncertainties in Probabilistic Seismic Hazard Analysis; Korea Atomic Energy Research Institute: Daejeon, Korea, 1999. [Google Scholar]






















| GMPE (Reference) | Magnitude | Distance | Fault Mechanism | Other Variables |
|---|---|---|---|---|
| Abrahamson and Silva [12] | - | |||
| Abrahamson and Silva [13] | ||||
| Ambraseys [14] | - | - | ||
| Ambraseys [15] | , , | - | ||
| Campbell [18] | - | - | ||
| Campbell [19] | - | |||
| Campbell and Bozorgnia [20] | ||||
| Campbell and Bozorgnia [21] | , N/NO, | |||
| Cornell et al. [22] | - | - | ||
| Donovan [23] | - | - | ||
| Faccioli [24] | - | - | ||
| Faccioli [25] | - | - | ||
| Joyner and Boore [26] | - | - | ||
| Joyner and Boore [27] | - | - | ||
| McGuire [28] | - | - | ||
| Orphal and Lahoud [29] | - | - | ||
| TERACorporation [42] | - | - | ||
| Zare and Sabzali [31] | ||||
| Laouami [32] | - | |||
| Podili and Raghukanth [33] | - | - | ||
| Bajaj and Anbazhagan [34] | - | - |
| Source ID | Source Type | Magnitude Range | Ground Motion Model | Seismicity |
|---|---|---|---|---|
| S-1 | Line | 4–7.3 | Cornell et al. [22] | |
| S-2 | Area | 4–7.7 | ||
| S-3 | Point | 4–5.0 |
| Source Typology | Fault Type | Fault Depth | Calculation Sites | Mag.-Freq. Distribution | GMPE |
|---|---|---|---|---|---|
| Area | Normal | 0 km | Site 1, Site 2, Site 3, Site 4, Site 5, Site 6 and Site 7 | Gutenberg-Richter distribution | Abrahamson and Silva [13] Fault type: Other No-Hanging wall |
| Source Model | Source ID | Maximum Magnitude | Minimum Magnitude | Seismicity Parameters | |
|---|---|---|---|---|---|
| a | b | ||||
| M-B | RS1 | 6.7 | 3.0 | 2.93 | 0.76 |
| RS2 | 6.5 | 2.53 | 0.75 | ||
| Source Model | Source ID | Latitude | Longitude |
|---|---|---|---|
| RS1 | 1 | 38.60° N | 129.40° E |
| 2 | 37.13° N | 127.60° E | |
| 3 | 35.20° N | 125.80° E | |
| 4 | 33.00° N | 125.80° E | |
| 5 | 36.00° N | 131.60° E | |
| RS2 | 1 | 38.00° N | 127.60° E |
| 2 | 38.00° N | 124.00° E | |
| 3 | 37.40° N | 124.00° E | |
| 4 | 35.20° N | 125.40° E | |
| 5 | 37.13° N | 127.60° E |
Publisher’s Note: MDPI stays neutral with regard to jurisdictional claims in published maps and institutional affiliations. |
© 2020 by the authors. Licensee MDPI, Basel, Switzerland. This article is an open access article distributed under the terms and conditions of the Creative Commons Attribution (CC BY) license (http://creativecommons.org/licenses/by/4.0/).
Share and Cite
Nahar, T.T.; Rahman, M.M.; Kim, D. RETRACTED: PSHRisk-Tool: A Python-Based Computational Tool for Developing Site Seismic Hazard Analysis and Failure Risk Assessment of Infrastructure. Appl. Sci. 2020, 10, 7487. https://doi.org/10.3390/app10217487
Nahar TT, Rahman MM, Kim D. RETRACTED: PSHRisk-Tool: A Python-Based Computational Tool for Developing Site Seismic Hazard Analysis and Failure Risk Assessment of Infrastructure. Applied Sciences. 2020; 10(21):7487. https://doi.org/10.3390/app10217487
Chicago/Turabian StyleNahar, Tahmina Tasnim, Md Motiur Rahman, and Dookie Kim. 2020. "RETRACTED: PSHRisk-Tool: A Python-Based Computational Tool for Developing Site Seismic Hazard Analysis and Failure Risk Assessment of Infrastructure" Applied Sciences 10, no. 21: 7487. https://doi.org/10.3390/app10217487
APA StyleNahar, T. T., Rahman, M. M., & Kim, D. (2020). RETRACTED: PSHRisk-Tool: A Python-Based Computational Tool for Developing Site Seismic Hazard Analysis and Failure Risk Assessment of Infrastructure. Applied Sciences, 10(21), 7487. https://doi.org/10.3390/app10217487

