Impacts of Compaction Load and Procedure on Stress-Deformation Behaviors of a Soil Geosynthetic Composite (SGC) Mass—A Case Study
Abstract
1. Introduction
2. Compaction-Induced Stress
3. Numerical Analyses
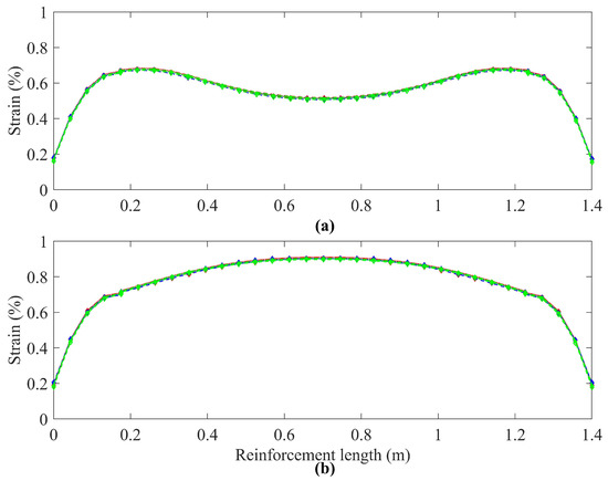
Numerical Model and Verification
- Type-III: A moving strip load of width w is applied to the top surface of each soil lift as the mass is gradually built from the bottom up, see (iii) of Figure 2b. Three different strip widths have been considered: 0.175 m, 0.35 m, and 0.70 m. In the simulation, the strip load moves either away or towards the modular block under consideration.
4. Results and Discussion
4.1. Reinforcement Strain and Lateral Displacement of Sgc Mass
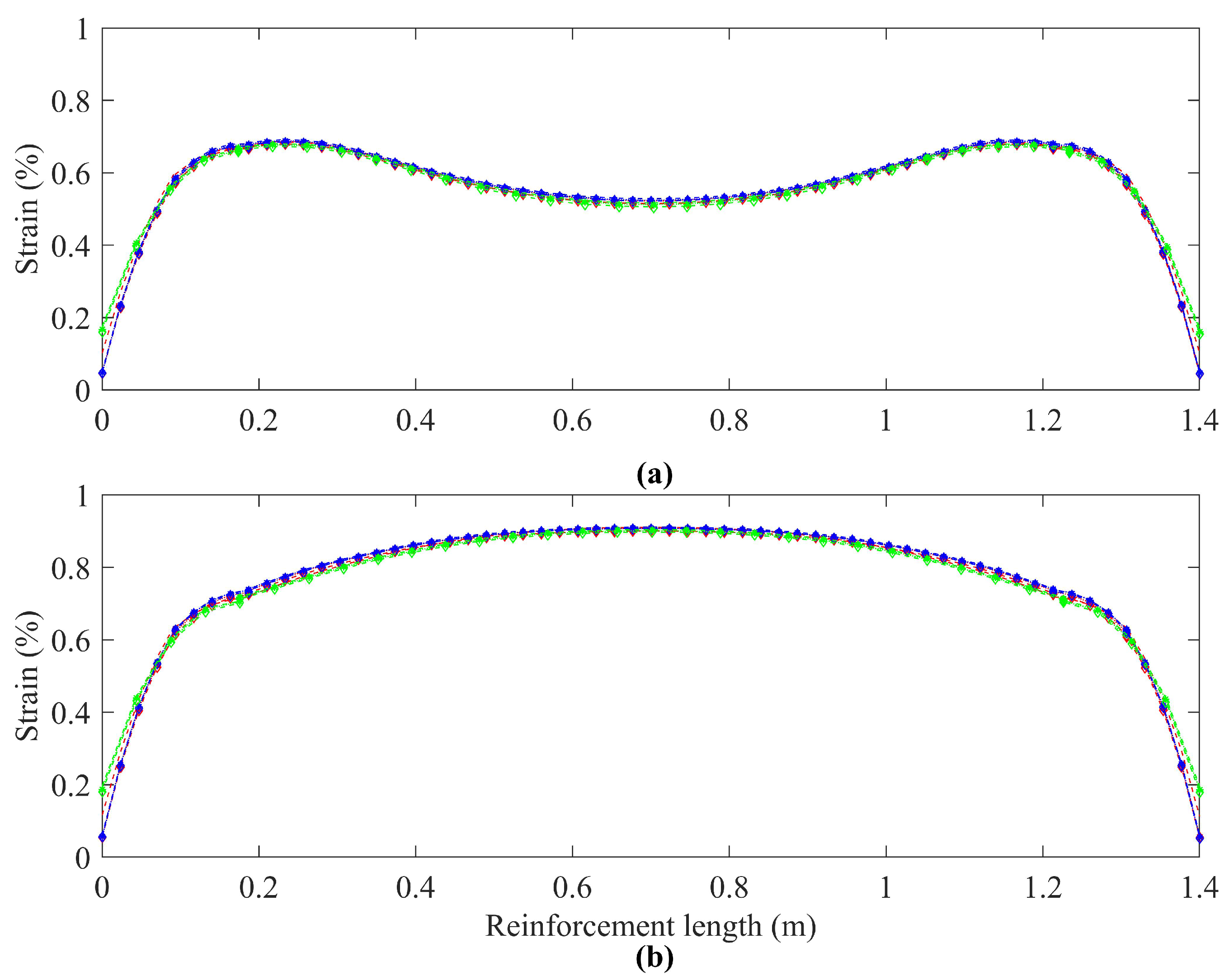
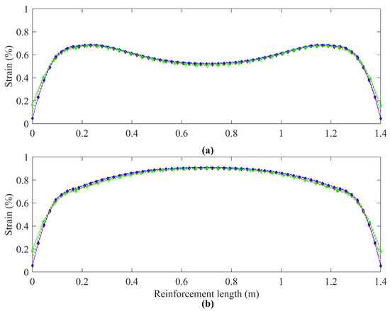
4.1.1. Effect of Compaction Procedures on Reinforcement Strain
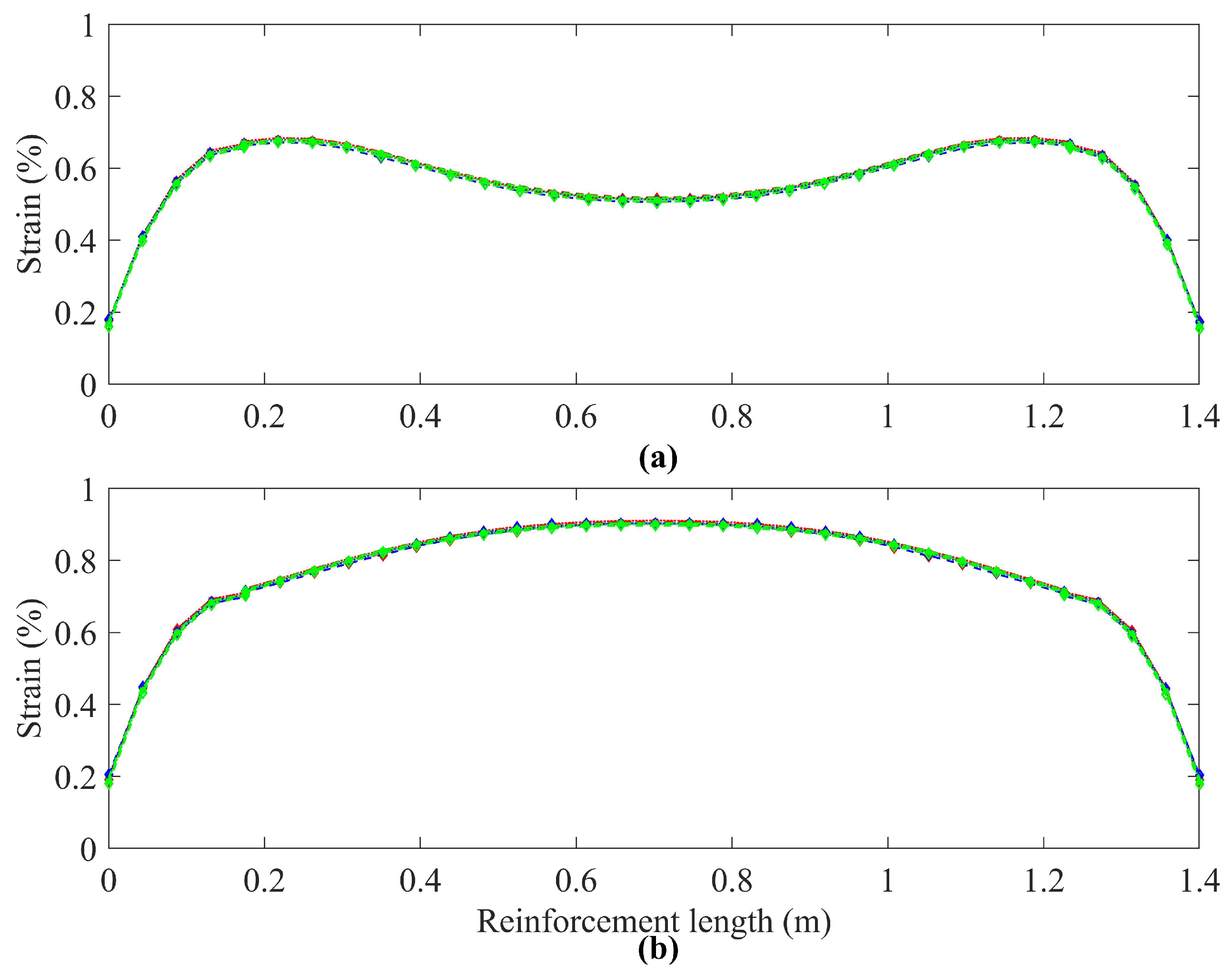
4.1.2. Effect of Width of Strip Load on Reinforcement Strain
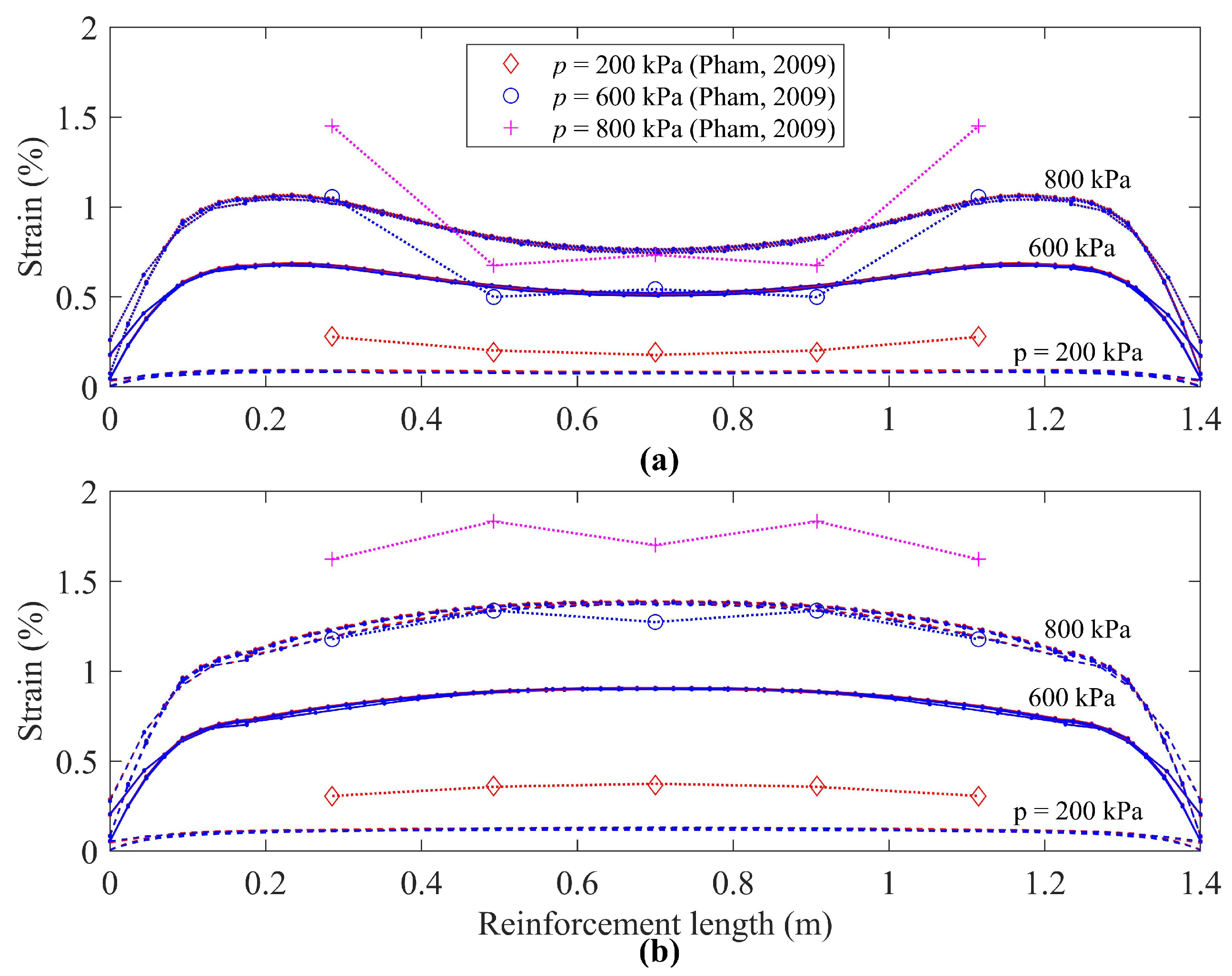
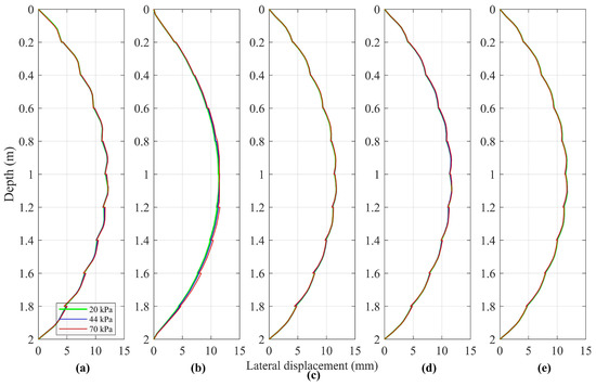
4.1.3. Effect of Surcharge Load on Reinforcement Strain
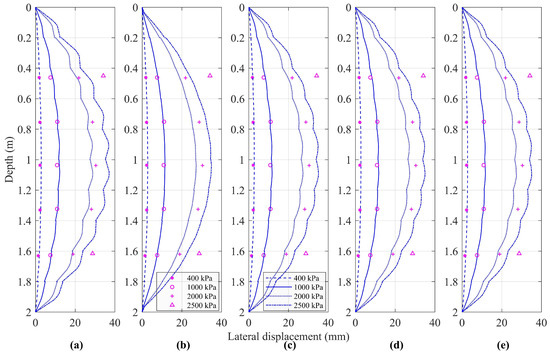
4.1.4. Effect of Compaction Load on Open Face Lateral Displacement
4.1.5. Effect of Surcharge Load on Open Face Lateral Displacement
4.2. Compaction-Induced Stress in Grs Mass
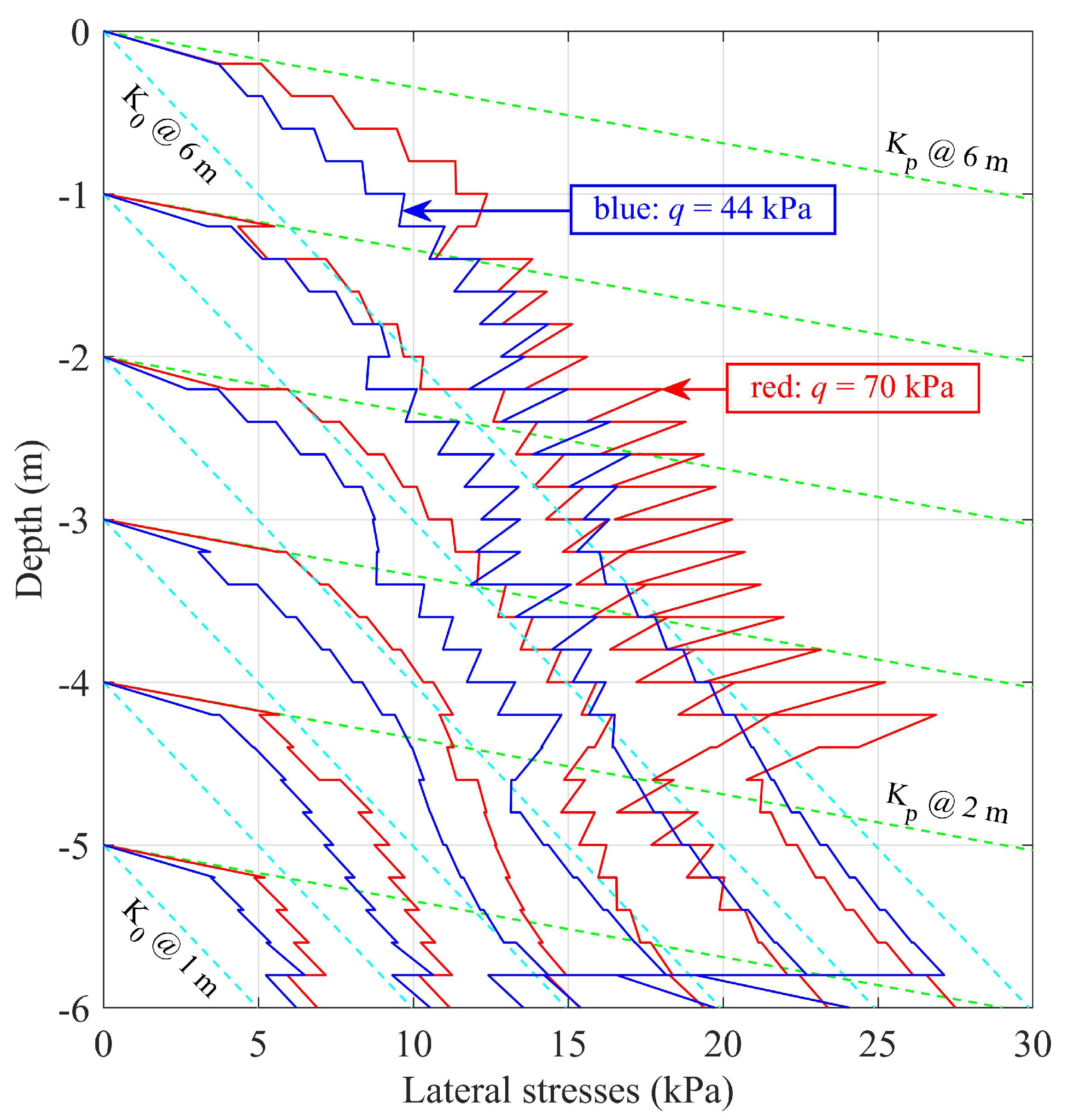
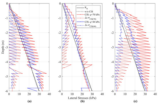
4.2.1. Effect of Compaction Loads and Procedures on Cis
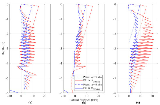
4.2.2. Comparison between Analytical and Numerical Cis Profiles
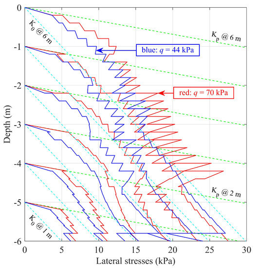
4.2.3. Development of Net Cis during Construction of Grs Mass
5. Conclusions
- The numerical and lateral displacement result of the SGC mass obtained in this study were in good agreement with the experimental result of Reference [6], in particular, for surcharge loads smaller than 2000 kPa.
- The simulated compaction procedures, that is, Type-I (an uniformly distributed load applied to the top surface of each soil lift), Type-II (an uniformly distributed load applied to the top and bottom surfaces of each soil lift), and Type-III (with various widths of strip load w = 0.7 m, 0.35 m, 0.175 m), the compaction loads used during the construction of the SGC mass, and the surcharge loads induced during the serviceability stage of the mass were all found to have insignificant or no effect at all on the reinforcement strains, and the open face lateral displacement of the simulated GRS mass compared with the experimental results in Reference [6].
- The numerical result of the net CIS profile obtained via simulating the compaction process by applying a uniformly distributed load at the top and bottom surfaces of each soil lift (compaction procedure Type-II) was found to be in good agreement with the analytical model proposed in Reference [12].
- Both the types of simulated compaction procedure and the compaction load have significant effect on the compaction-induced stress, with compaction procedure Type-III (strip load) has the most influence, while compaction procedure Type-II has the least influence. Compaction procedure Type-III was found to amplify the lateral stress by a “nominal average value” of approximately 140% when the compaction load was increased from 44 kPa to 70 kPa, compared to that of 120% and 110% when, respectively, compaction procedures Type-I and II was adopted.
- The range of the value of the net CIS was found to be between the active and the passive earth pressure.
Author Contributions
Funding
Conflicts of Interest
Abbreviations
| CIS | Compaction-Induced Stress |
| GRS | Geosynthetic Reinforced Soil |
| SGC | Soil Geosynthetic Composite |
| p | Surcharge Load During Serviceability Stage |
| q | Compaction Load For Each Soil Lift |
References
- AASHTO. LRFD Bridge Design Specifications, 7th ed.; American Association of State Highway and Transportation Officials: Washington, DC, USA, 2014; 1694p, ISBN 9781560515920. [Google Scholar]
- Berg, R.R.; Christopher, B.R.; Samtani, N. Design and Construction of Mechanically Stabilized Earth Walls and Reinforced Soil Slopes–Volume I; US Department of Transportation, Federal Highway Administration: Washington, DC, USA, 2009. Available online: https://www.fhwa.dot.gov/engineering/geotech/pubs/nhi10024/ (accessed on 30 June 2020).
- NCMA. Design Manual for Segmental Retaining Walls, 3rd ed.; National Concrete Masonry Association: Herndon, VA, USA, 2009; 302p, Available online: https://ncma.org/resource/srw-design-manual/ (accessed on 30 June 2020).
- Elton, D.J.; Patawaran, M.A.B. Mechanically Stabilized Earth Reinforcement Tensile Strength from Tests of Geotextile-Reinforced Soil. Transp. Res. Rec. 2004, 1868, 81–88. [Google Scholar] [CrossRef]
- Adams, M.T.; Ketchart, K.; Wu, J.T.H. Mini Pier Experiments: Geosynthetic Reinforcement Spacing and Strength as Related to Performance. In Proceedings Geo-Denver 2007: Geosynthetics in Reinforcement and Hydraulic Applications (Geotechnical Special Publication 165); Gabr, M.A., Bowders, J.J., Eds.; ASCE Geo-Institute: Reston, VA, USA, 2007. [Google Scholar]
- Pham, T.Q. Investigating Composite Behavior of Geosynthetic-Reinforced Soil (GRS) Mass. Ph.D. Thesis, University of Colorado, Denver, CO, USA, 2009; 378p. [Google Scholar]
- Broms, B. Lateral Pressure Due to Compaction of Cohesionless Soils. In Proceedings of the 4th Budapest Conference on Soil Mechanics and Foundation Engineering: 3rd Danube-European Conference, Budapest, Hungary, 12–15 October 1971; pp. 373–384. [Google Scholar]
- Aggour, M.S.; Brown, C.B. The Prediction of Earth Pressure on Retaining Walls Due to Compaction. Ge´otechnique 1974, 24, 489–502. [Google Scholar] [CrossRef]
- Seed, R. Compaction-induced Stresses and Deflections on Earth Structure. Ph.D. Dissertation, Department of Civil Engineering, University of California, Berkeley, CA, USA, 1983; 447p. [Google Scholar]
- Duncan, J.M.; Seed, R.B. Compaction-Induced Earth Pressures Under K0-Conditions. J. Geotech. Eng. ASCE 1986, 112, 1–22. [Google Scholar] [CrossRef]
- Seed, R.; Duncan, J. FE Analyses: Compaction-Induced Stresses and Deformations. J. Geotech. Eng. ASCE 1986, 112, 23–43. [Google Scholar] [CrossRef]
- Wu, J.T.H.; Pham, T.Q. An Analytical Model for Evaluation of Compaction-Induced Stresses in a Reinforced Soil Mass. Int. J. Geotech. Eng. 2010, 4, 549–556. [Google Scholar] [CrossRef]
- Wu, J.T.H.; Pham, T.Q. Load-Carrying Capacity and Required Reinforcement Strength of Closely Spaced Soil-Geosynthetic Composites. J. Geotech. Geoenviron. Eng. 2013, 139, 1468–1476. [Google Scholar] [CrossRef]
- Ketchart, K.; Wu, J.T.H. Performance Test for Geosynthetic-Reinforced Soil Including Effects of Preloading; Report No. FHWA-RD-01-118; US Department of Transportation, Federal Highway Administration: Washington, DC, USA, 2001; 283p.
- Hatami, K.; Bathurst, R.J. Development and Verification of a Numerical Model for the Analysis of Geosynthetic-Reinforced Soil Segmental Walls under Working Stress Conditions. Can. Geotech. J. 2005, 42, 1066–1085. [Google Scholar] [CrossRef]
- Hatami, K.; Bathurst, R.J. Numerical Model for Reinforced Soil Segmental Walls under Surcharge Loading. J. Geotech. Geoenviron. Eng. 2006, 132, 673–684. [Google Scholar] [CrossRef]
- Mirmoradi, S.H.; Ehrlich, M. Modeling of the Compaction-Induced Stresses in Numerical Analyses of GRS Walls. Int. J. Comput. MethodsvSpec. Issue Comput. Geomech. 2014, 11, 1–14. [Google Scholar] [CrossRef]
- Mirmoradi, S.H.; Ehrlich, M. Modeling of the Compaction-Induced Stress on Reinforced Soil Walls. Geotext. Geomembr. 2015, 43, 82–88. [Google Scholar] [CrossRef]
- Mirmoradi, S.H.; Ehrlich, M. Compaction-Induced Stress: Numerical Modeling. In Proceedings of the 15th Pan-American Conference on Soil Mechanics and Geotechnical Engineering, Buenos Aires, Argentina, 15–18 November 2015; Manzanal, D., Sfriso, A.O., Eds.; pp. 1161–1168. [Google Scholar]
- Mirmoradi, S.H.; Ehrlich, M. Numerical Simulation of Compaction-Induced Stress for the Analysis of RS Walls under Working Conditions. Geotext. Geomembr. 2018, 46, 354–365. [Google Scholar] [CrossRef]
- Yu, Y.; Bathurst, R.J.; Allen, T.M. Numerical Modelling of Two Full-Scale Reinforced Soil Wrapped-Face Walls. Geotext. Geomembr. 2017, 45, 237–249. [Google Scholar] [CrossRef]
- Wu, J.T.H.; Yang, K.H.; Mohamed, S.; Pham, T.Q.; Chen, R.H. Suppression of Soil Dilation—A Reinforcing Mechanism of Soil-Geosynthetic Composites. Transp. Infrastruct. Geotechnol. 2014, 1, 68–82. [Google Scholar] [CrossRef]
- Phan, T.T.; Gui, M.W.; Pham, T.Q. Numerical simulation analysis of stress-deformation behavior of soil and geosynthetic composite mass: A case study. In Proceedings of the 3rd International Conference on Transport Infrastructure & Sustainable Development (TISDIC 2019), Da Nang, Vietnam, 31 August–1 September 2019; pp. 211–219, ISBN 978-604-82-2893-4. [Google Scholar]
- Bathurst, R.J.; Nernheim, A.; Walters, D.L.; Allen, T.M.; Burgess, P.; Saunders, D.D. Influence of Reinforcement Stiffness and Compaction on the Performance of Four Geosynthetic-Reinforced Soil Walls. Geosynth. Int. 2009, 16, 43–59. [Google Scholar] [CrossRef]
- Wu, J.T.H.; Tung, C.; Adams, M.T.; Nicks, J.E. Analysis of Stress-Deformation Behavior of Soil-Geosynthetic Composites in Plane Strain Condition. Transp. Infrastruct. Geotechnol. 2018, 5, 210–230. [Google Scholar] [CrossRef]
- Wu, J.T.H.; Hoffman, P.; Pham, T.Q. Discussion on “Numerical Simulation of Compaction-Induced Stress for the Analysis of GRS Walls under Working Conditions by Mirmoradi, SH and Ehrlich, M. in Geotext. Geomembr. 2018, 46, 354–365.”. Geotext. Geomembr. 2018, 46, 913–914. [Google Scholar] [CrossRef]
- Westergaard, H.M. A Problem of Elasticity Suggested by a Problem in Soil Mechanics: Soft Material Reinforced by Numerous Strong Horizontal Sheet. In “Contributions to the Mechanics of Solids,” on the Occasion of the 60th Birthday Anniversary of Stephen Timoshenko; The Macmillan Co.: New York, NY, USA, 1938; pp. 268–277. [Google Scholar]
- Ehrlich, M.; Mitchell, J.K. Working Stress Design Method for Reinforced Soil Walls. J. Geotech. Eng. 1994, 120, 625–645. [Google Scholar] [CrossRef]
- Bolton, M.D. Geotechnical Stress Analysis for Bridge Abutment Design; Transport and Road Research Lab.: Crowthorne, UK, 1991; 115p. [Google Scholar]
- Duncan, J.M.; William, G.W.; Sehn, A.L.; Seed, R.B. Estimation Earth Pressures due to Compaction. J. Geotech. Eng. Div. ASCE 1991, 117, 1833–1847. [Google Scholar] [CrossRef]
- DYNAPAC Light Compaction. Available online: https://dynapac.com/en/products/compaction (accessed on 30 June 2020).
- Light Equipment for Soil and Asphalt Compaction. Available online: https://www.bomag.com/ww-en/machinery/categories/light-equipment/ (accessed on 30 June 2020).
- Wu, J.T.H.; Ma, C.Y.; Pham, T.Q.; Adams, M.T. Required Minimum Reinforcement Stiffness and Strength in Geosynthetic-Reinforced Soil (GRS) Walls and Abutments. Int. J. Geotech. Eng. 2011, 5, 395–404. [Google Scholar] [CrossRef]
- Yang, K.H.; Wu, J.T.H.; Chen, R.H.; Chen, Y.S. Lateral Bearing Capacity and Failure Mode of Geosynthetic-Reinforced Soil Barriers Subject to Lateral Loadings. Geotext. Geomembr. 2016, 44, 799–812. [Google Scholar] [CrossRef]
- ASTM D4595-17. Standard Test Method for Tensile Properties of Geotextiles by the Wide-Width Strip Method; ASTM International: West Conshohocken, PA, USA, 2017. [Google Scholar] [CrossRef]
- Plaxis 2D—Version 8, Reference Manual; Delft University of Technology: Delft, The Netherlands. 2002. Available online: https://www.plaxis.com/support/manuals/plaxis-2d-manuals/ (accessed on 30 June 2020).
- Schanz, T.; Vermeer, P.A.; Bonnier, P.G. The Hardening Soil Model: Formulation and Verification. In Beyond 2000 in Computational Geotechnics; Ronald, B., Brinkgreve, J., Eds.; Taylor & Francis Group: London, UK, 1999; pp. 281–296. [Google Scholar]












| Manufacturer | Model | Plate Width (m) | Q (kN/m) | 0.45 | 0.90 | References |
|---|---|---|---|---|---|---|
| Bomag | BP 10/36 | 0.361 | 27.50 | 10.29 | 20.57 | [30] |
| Ingersoll-Rand | BX-6 | 0.406 | 30.44 | 10.82 | 21.64 | —"— |
| Bomag | BP 13/29 | 0.290 | 43.64 | 12.96 | 25.92 | —"— |
| Wacker | BPS 1330R | 0.305 | 43.28 | 12.90 | 25.81 | —"— |
| Wacker | BPS 1330 | 0.305 | 43.32 | 12.91 | 25.82 | —"— |
| Wacker | VPG 160K | 0.533 | 25.31 | 9.87 | 19.74 | —"— |
| Wacker | VPA 1350W | 0.495 | 28.59 | 10.48 | 20.98 | —"— |
| Ingersoll-Rand | BX-8 | 0.483 | 32.08 | 11.11 | 22.22 | —"— |
| Multiquip | MVC 90 L | 0.498 | 31.67 | 11.04 | 22.08 | —"— |
| Bomag | BP 15/45 | 0.450 | 35.37 | 11.66 | 23.33 | —"— |
| Bomag | BP 19/48 | 0.480 | 34.92 | 11.59 | 23.18 | —"— |
| Bomag | BP 19/75 | 0.750 | 22.51 | 9.31 | 18.61 | —"— |
| Wacker | VPA 1750 | 0.495 | 36.59 | 11.86 | 23.73 | —"— |
| Case | 1300 | 0.495 | 37.55 | 12.02 | 24.04 | —"— |
| Ingersoll-Rand | BX-12 | 0.533 | 40.68 | 12.51 | 25.02 | —"— |
| Wacker | BPS 2550B | 0.495 | 53.21 | 14.31 | 28.62 | —"— |
| Wacker | VPG 155-A | 0.460 | 34.12 | 11.46 | 22.92 | [24] |
| Wacker | ES-45-Y | 0.250 | 48.00 | 13.59 | 27.18 | —"— |
| Dynapac | DFP12D | 0.500 | 52.46 | 14.21 | 28.41 | [31] |
| Dynapac | DRP15X | 0.500 | 52.80 | 14.25 | 28.50 | —"— |
| Dynapac | DFP11 | 0.500 | 52.16 | 14.17 | 28.33 | —"— |
| Bomag | BP 20/50 | 0.500 | 41.90 | 12.70 | 25.39 | [32] |
| Bomag | BVP 18/45 | 0.360 | 52.50 | 14.21 | 28.42 | —"— |
| MBW | GP1200 | 0.300 | 24.10 | 10.84 | 21.69 | [6] |
| Manufacturer | Model | Width (m) | Q (kN/m) | 0.45 | 0.90 | References |
|---|---|---|---|---|---|---|
| Bomag | BW 55 E | 0.559 | 18.31 | 8.39 | 16.79 | [30] |
| Bomag | BW 65 S | 0.650 | 25.53 | 9.91 | 19.82 | —"— |
| Bomag | BW 60 S | 0.599 | 28.50 | 10.47 | 20.94 | —"— |
| Bomag | BW 60 HG | 0.599 | 32.40 | 11.16 | 22.33 | —"— |
| Bomag | BW 60 HD | 0.599 | 32.89 | 11.24 | 22.50 | —"— |
| Wacker | RS 800A | 0.719 | 21.67 | 9.12 | 18.26 | —"— |
| Bomag | BW 75 E | 0.749 | 28.60 | 10.49 | 20.98 | —"— |
| Bomag | BW 35 W | 0.391 | 57.43 | 14.86 | 29.73 | —"— |
| Ingersoll-Rand | DX-60 | 0.584 | 38.83 | 12.22 | 24.45 | —"— |
| Bomag | BW 35 W | 0.391 | 58.03 | 14.94 | 29.88 | —"— |
| Bomag | BW 75 AD | 0.759 | 34.76 | 11.56 | 23.13 | —"— |
| Ingersoll-Rand | DX-70 | 0.635 | 42.03 | 12.72 | 25.43 | —"— |
| Bomag | 75 S | 0.749 | 38.35 | 12.15 | 24.29 | —"— |
| Bomag | 90 AD | 0.899 | 35.55 | 11.70 | 23.39 | —"— |
| Wacker | WDH 86-110 | 0.864 | 44.04 | 13.02 | 26.03 | —"— |
| Bomag | BW 90 S | 0.899 | 44.86 | 13.14 | 26.27 | —"— |
| Caterpiller | CW 34 | 2.080 | 60.96 | 15.31 | 30.63 | [26] |
| Materials Properties | 2 m SGC Mass | 6 m GRS Mass |
|---|---|---|
| Soil Properties | ||
| Model | Hardening Soil | Hardening Soil |
| Peak friction angle, | 50 | 45 |
| Apparent cohesion c (kPa) | 70 | 0 |
| Dilation angle | 19 | 15 |
| Unit weight (kN/m3) | 25 | 17 |
| (kN/m3) | 62,374 | 77,622 |
| (kN/m3) | 187,122 | 232,866 |
| Stress dependence exponent m | 0.5 | 0.5 |
| Poisson’s ratio | 0.2 | 0.2 |
| (kPa) | 100 | 100 |
| Reinforcement | Single-sheet Geotex 4 × 4 | Double-sheet Geotex 4 × 4 |
| Elastic axial stiffness (kN/m) | 1000 | 2000 |
| Reinforcement spacing (m) | 0.2 | 0.2 |
| Modular Block Properties | ||
| Model | Model Linear elastic | N/A |
| Stiffness modulus (kPa) | 3 | N/A |
| Unit weight (kN/m3) | 12.5 | N/A |
| Poisson’s ratio | 0 | N/A |
| Block-Block Interface | ||
| Model | Mohr-Coulomb | N/A |
| Stiffness modulus (kPa) | 3 | N/A |
| Unit weight (kN/m3) | 0 | N/A |
| Poisson’s ratio | 0.45 | N/A |
| Friction angle | 33 | N/A |
| Apparent cohesion c (kPa) | 2 | N/A |
| Soil-Block Interface | ||
| Model | Mohr-Coulomb | |
| Unit weight (kN/m3) | 0 | N/A |
| Poisson’s ratio | 0.45 | N/A |
| Friction angle | 33.33 | N/A |
| Apparent cohesion c (kPa) | 46.67 | N/A |
| Stiffness modulus (kPa) | 74,829.711 | N/A |
| Soil-Reinforcement Interface | ||
| Model | Mohr-Coulomb | Mohr-Coulomb |
| Unit weight (kN/m3) | 0 | 0 |
| Poisson’s ratio | 0.45 | 0.45 |
| Friction angle | 40 | 36 |
| Apparent cohesion c (kPa) | 56 | 0 |
| Stiffness modulus (kPa) | 106,685.26 | 88,000 |
| Geometrical Configuration | ||
| Wall height H (m) | 2 | 6 |
| Wall aspect ratio L/H | 0.7 | 0.7 |
| Reinforcement vertical spacing (m) | 0.2 | 0.2 |
| Surcharges | 400 kPa | 1000 kPa | 2000 kPa | 2500 kPa | |
|---|---|---|---|---|---|
| Comp. Procedures | |||||
| Type-I | 2.91 mm | 12.16 mm | 28.82 mm | 37.07 mm | |
| Type-II | 2.84 mm | 11.48 mm | 27.23 mm | 34.90 mm | |
| Type-III (w = 0.70 m) | 2.79 mm | 11.75 mm | 27.29 mm | 35.10 mm | |
| Type-III (w = 0.35 m) | 2.85 mm | 11.74 mm | 27.32 mm | 35.04 mm | |
| Type-III (w = 0.175 m) | 2.80 mm | 11.74 mm | 27.39 mm | 35.03 mm | |
© 2020 by the authors. Licensee MDPI, Basel, Switzerland. This article is an open access article distributed under the terms and conditions of the Creative Commons Attribution (CC BY) license (http://creativecommons.org/licenses/by/4.0/).
Share and Cite
Gui, M.; Phan, T.; Pham, T. Impacts of Compaction Load and Procedure on Stress-Deformation Behaviors of a Soil Geosynthetic Composite (SGC) Mass—A Case Study. Appl. Sci. 2020, 10, 6339. https://doi.org/10.3390/app10186339
Gui M, Phan T, Pham T. Impacts of Compaction Load and Procedure on Stress-Deformation Behaviors of a Soil Geosynthetic Composite (SGC) Mass—A Case Study. Applied Sciences. 2020; 10(18):6339. https://doi.org/10.3390/app10186339
Chicago/Turabian StyleGui, Meenwah, Truc Phan, and Thang Pham. 2020. "Impacts of Compaction Load and Procedure on Stress-Deformation Behaviors of a Soil Geosynthetic Composite (SGC) Mass—A Case Study" Applied Sciences 10, no. 18: 6339. https://doi.org/10.3390/app10186339
APA StyleGui, M., Phan, T., & Pham, T. (2020). Impacts of Compaction Load and Procedure on Stress-Deformation Behaviors of a Soil Geosynthetic Composite (SGC) Mass—A Case Study. Applied Sciences, 10(18), 6339. https://doi.org/10.3390/app10186339

