Appropriate Matching Locations of Rail Expansion Regulator and Fixed Bearing of Continuous Beam Considering the Temperature Change of Bridge
Abstract
1. Introduction
2. Model
3. Verification
4. Procedures for Determining the Appropriate Locations of RER and the Fixed Bearing of the Continuous Beam
- (1)
- RER is located above the left end of the continuous beam.
- (2)
- The fixed bearing is also located at the left end of the continuous beam. Then, the additional force of rail along its length is calculated, and the maximum values of the tension and compression forces are obtained. It should be noted that the maximum and minimum values of the compression force refer to the absolute values, the same below.
- (3)
- The RER location remains unchanged. The fixed bearing location is changed from left to right before arriving at the right end of the beam, and the changing interval may be adopted as one beam element length.
- (4)
- The maximum additional tension and compression forces of rail are obtained corresponding to each location of the fixed bearing, and the curves of these forces are gained with the change of the location of the fixed bearing.
- (5)
- The minimum values in the above curves are those of the maximum additional tension and compression forces of rail when RER is located above the left end of the continuous beam.
- (6)
- The RER location changes from the left to right before arriving at the right end of the beam, and the changing interval also may be adopted as one beam element length. The minimum values of the maximum additional tension and compression forces of rail corresponding to each location of the RER are obtained by repeating Steps (2)–(4).
- (7)
- The curves of the minimum values mentioned in Step (6), with the change of the location of RER, are drawn. The abscissas corresponding to the minimum values in the curves are the locations of RER to be determined.
- (8)
- The RER location determined above remains unchanged. According to Steps (3) and (4), the curves of the maximum additional tension and compression forces of rail, with the change of the location of the fixed bearing, can be obtained. The abscissas corresponding to the minimum value in the curves are the locations of the fixed bearing to be determined.
5. Examples
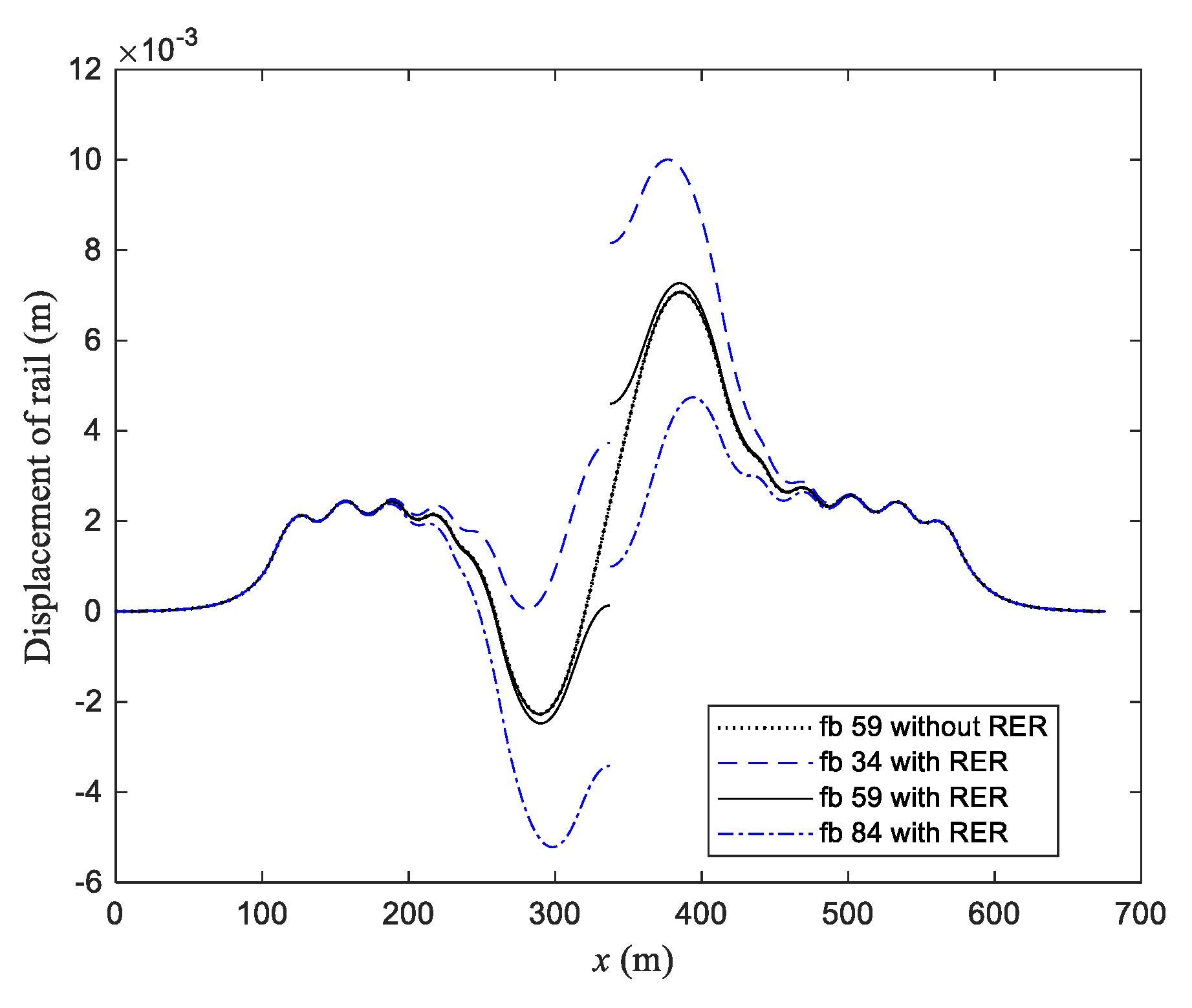
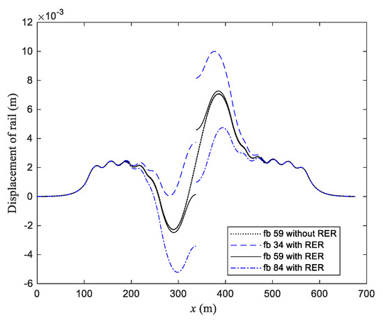
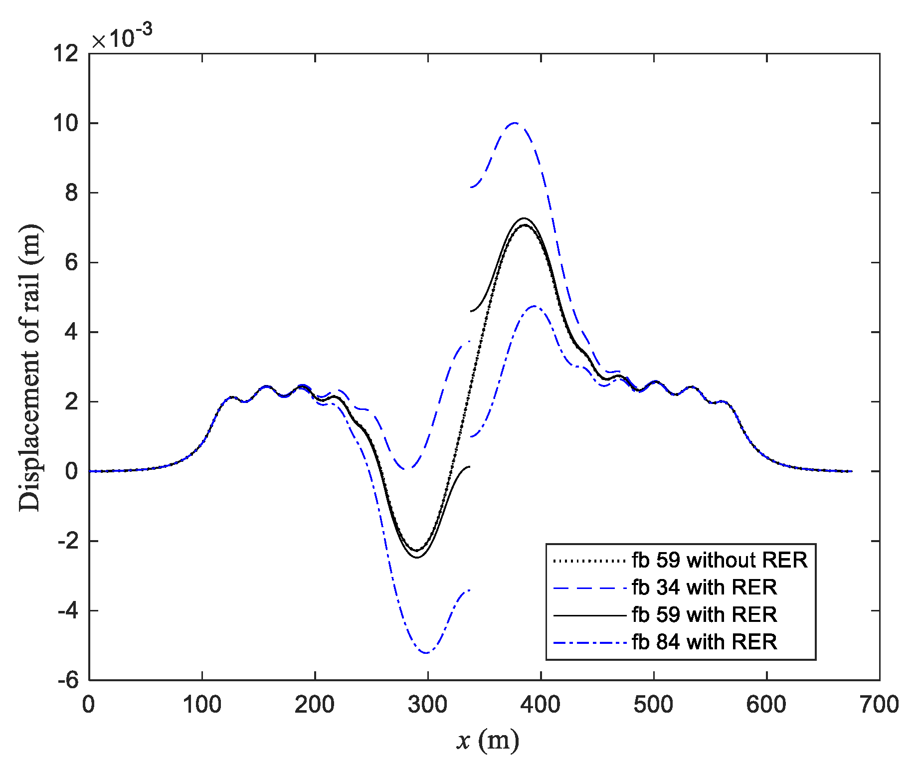
5.1. Appropriate Location of RER
5.2. Appropriate Matching Location of Fixed Bearing with RER
5.2.1. Shorter Continuous Beam
5.2.2. Longer Continuous Beam
6. Conclusions
- (1)
- When RER is arranged above the two ends of the continuous beam, the minimum value of the maximum additional compression force of rail does not change with the length of the continuous beam, but that of the tension force of rail increases with the length of the continuous beam, although the increase is small. However, when RER is arranged above the middle of the continuous beam, the minimum values of the maximum additional tension and compression forces of rail increase with the length of the continuous beam; in particular, the latter increases significantly.
- (2)
- As for the temperature rise of the beam, there is an upper limit value of the additional tension force of rail but no lower limit value of additional compression force, and when the temperature falls, the result just reverses. The limit value is .
- (3)
- There is a critical length for the continuous beam. For the shorter length, RER should be arranged above the middle of the beam, while for the longer length, RER should be arranged above the two ends of the beam, which is conducive to reducing the additional forces of rail.
- (4)
- For RER arranged above the middle of the continuous beam, the fixed bearing is suggested to be located at the midpoint between the two fixed bearings of the simple beam neighbor to the continuous beam, which can reduce the maximum additional forces of rail. The further the fixed bearing is away from the midpoint, the greater is the maximum additional forces of rail.
- (5)
- When RER is arranged above one end of a continuous beam, the fixed bearing is arranged at the other end, as far as possible. This matching arrangement can ensure that the maximum additional compression force of rail reaches a minimum value.
Author Contributions
Funding
Acknowledgments
Conflicts of Interest
References
- Frýba, L. Dynamics of Railway Bridges; Thomas Telford Ltd.: London, UK, 1996. [Google Scholar]
- Esveld, L.C. Modern Railway Track; MRT Production: Kâğıthane/İstanbul, Turkey, 2001. [Google Scholar]
- Cutillas, A.M. Track-Bridge Interaction Problems in Bridge Design; Taylor & Francis: Oxford, UK, 2009; pp. 19–28. [Google Scholar]
- Freystein, H. Track/bridge-interaction—State of the art and examples. Stahlbau 2010, 79, 220–231. [Google Scholar] [CrossRef]
- Chen, R.; Wang, P.; Wei, X.K. Track-bridge longitudinal interaction of continuous welded rails on arch bridge. Math. Probl. Eng. 2013, 494137. [Google Scholar] [CrossRef]
- Ruge, P.; Birk, C. Longitudinal forces in continuously welded rails on bridge decks due to nonlinear track-bridge interaction. Comput. Struct. 2007, 85, 458–475. [Google Scholar] [CrossRef]
- Ruge, P.; Widarda, D.R.; Schmälzlin, G.; Bagayoko, L. Longitudinal track-bridge interaction due to sudden change of coupling interface. Comput. Struct. 2009, 87, 47–58. [Google Scholar] [CrossRef]
- Ryjacek, P.; Vokac, M. Long-term monitoring of steel railway bridge interaction with continuous welded rail. J. Construct. Steel Res. 2014, 99, 176–186. [Google Scholar] [CrossRef]
- Zhang, J.; Wu, D.J.; Li, Q. Loading-history-based track-bridge interaction analysis with experimental fastener resistance. Eng. Struct. 2015, 83, 62–73. [Google Scholar] [CrossRef]
- Zhang, J.; Wu, D.J.; Li, Q.; Zhang, Y. Experimental and numerical investigation of track-bridge interaction for a long-span bridge. Struct. Eng. Mech. 2019, 70, 723–735. [Google Scholar]
- Alfred, S.; Saeed, K.; Martina, Š.; David, L.; Drahomír, N.; Frangopol, D.M.; Konrad, B. Monitoring based nonlinear system modeling of bridge-continuous welded rail interaction. Eng. Struct. 2018, 155, 25–35. [Google Scholar]
- Dai, G.; Chen, G.; Zheng, R.; Chen, Y.F. A new bilinear resistance algorithm to analyze the track-bridge interaction on long-span steel bridge under thermal action. J. Bridge Eng. 2020, 25, 04019138. [Google Scholar] [CrossRef]
- Yun, K.M.; Beomho, P.; Lim, N.H. Track-bridge longitudinal interaction response analysis considering the variation of temperature. J. Korean Soc. Hazard Mitig. 2015, 15, 65–71. [Google Scholar]
- Dai, G.L.; Liu, W.S. Applicability of small resistance fastener on long-span continuous bridges of high-speed railway. J. Cent. South Univ. 2013, 20, 1426–1433. [Google Scholar] [CrossRef]
- Liu, W.S.; Dai, G.L.; Yu, Z.W.; Chen, Y.F.; He, X.H. Interaction between continuous welded rail and long-span steel truss arch bridge of a high-speed railway under seismic action. Struct. Infrastruct. Eng. 2018, 14, 1051–1064. [Google Scholar] [CrossRef]
- Xie, K.; Zhao, W.; Cai, X.; Wang, P.; Zhao, J. Mechanical analysis and arrangement study of REJ for CWR on cable-stayed bridge. J. Railw. Eng. Soc. 2018, 35, 36–41. (In Chinese) [Google Scholar]
- Ramos, O.R.; Schanack, F.; Carreras, G.O.; Retuerto, J.D. Bridge length limits due to track-structure interaction in continuous girder prestressed concrete bridges. Eng. Struct. 2019, 196, 109310. [Google Scholar] [CrossRef]
- Yan, B.; Zhang, G.X.; Han, Z.S.; Lou, P. Longitudinal force of continuously welded rail on suspension bridge with length exceeding 1000 m. Struct. Eng. Int. 2019, 29, 390–395. [Google Scholar] [CrossRef]
- Lou, P.; Wang, Q.; Au, F.T.K.; Cheng, Y.W.; Yan, B.; Xu, Q.Y. Finite element analysis of the thermal interaction of continuously welded rails with simply supported bridges considering nonlinear stiffness. Proc. Inst. Mech. Eng. Part F J. Rail Rapid Transit 2020, 234, 1358–1367. [Google Scholar] [CrossRef]
- Liu, W.S.; Dai, G.L.; Qin, H.X. Influence of friction effect of sliding bearing on track-bridge interaction between continuous welded rail and long-span bridge in high-speed railway. Sci. Technol. 2019, 50, 627–633. (In Chinese) [Google Scholar]
- Yu, X.D.; Sha, S.; Yan, B. Track-bridge interaction of long-span simply supported steel truss bridge in mixed passenger and freight railway. Nat. Sci. 2014, 41, 106–111. (In Chinese) [Google Scholar]
- Wenner, M.; Marx, S.; Koca, M. Additional rail stresses due to long-term deformations of railway viaducts with ballastless track—Model and reality. Bautechnik 2019, 96, 674–695. [Google Scholar] [CrossRef]
- Mirza, O.; Kaewunruen, S.; Dinh, C.; Pervanic, E. Numerical investigation into thermal load responses of railway transom bridge. Eng. Fail. Anal. 2016, 60, 280–295. [Google Scholar] [CrossRef]
- Mirza, O.; Kaewunruen, S.; Galia, D. Seismic vulnerability analysis of Bankstown’s West Terrace railway bridge. Struct. Eng. Mech. 2016, 57, 569–585. [Google Scholar] [CrossRef]
- Choi, H.S.; Lee, K.C.; Lee, S.C.; Lee, J. Interaction analysis of sliding slab track on railway bridge considering behavior of end-supporting anchors. Int. J. Steel Struct. 2019, 19, 1939–1950. [Google Scholar] [CrossRef]
- Chinese National Standard, TB10015-2012. Code for Design of Railway Continuous Welded Rail; China Railway Publishing House: Beijing, China, 2012. (In Chinese) [Google Scholar]
















| Notation | Item | Value |
|---|---|---|
| E | Modulus of elasticity of rail | 2.1 × 1011 N/m2 |
| A | Area of the cross-section of rail | 7.745 × 10−3 m2 |
| Coefficient of thermal extension of rail | 1.18 × 10−5/°C | |
| Length of continuous beam | 120 m | |
| Temperature change of beam | 15 °C | |
| Coefficient of thermal extension of beam | 1.0 × 10−5/°C | |
| spring stiffness per unit length and per rail of rail foundation on embankment and on beam, respectively | 4.4 × 106 and 1.6 × 107 N/m2/rail | |
| Critical value of relative displacement on beam | 0.5 mm | |
| Constant longitudinal restoring force per rail corresponds to the critical value on beam | 8000 N/m/rail | |
| Critical value of relative displacement on embankment | 2.0 mm | |
| Constant longitudinal restoring force per rail corresponds to the critical value on embankment | 8800 N/m/rail | |
| Length of CWR track on each side embankment | 100 m |
© 2020 by the authors. Licensee MDPI, Basel, Switzerland. This article is an open access article distributed under the terms and conditions of the Creative Commons Attribution (CC BY) license (http://creativecommons.org/licenses/by/4.0/).
Share and Cite
Lou, P.; Li, T.; Huang, X.; Huang, G.; Yan, B. Appropriate Matching Locations of Rail Expansion Regulator and Fixed Bearing of Continuous Beam Considering the Temperature Change of Bridge. Appl. Sci. 2020, 10, 6046. https://doi.org/10.3390/app10176046
Lou P, Li T, Huang X, Huang G, Yan B. Appropriate Matching Locations of Rail Expansion Regulator and Fixed Bearing of Continuous Beam Considering the Temperature Change of Bridge. Applied Sciences. 2020; 10(17):6046. https://doi.org/10.3390/app10176046
Chicago/Turabian StyleLou, Ping, Te Li, Xinde Huang, Ganggui Huang, and Bin Yan. 2020. "Appropriate Matching Locations of Rail Expansion Regulator and Fixed Bearing of Continuous Beam Considering the Temperature Change of Bridge" Applied Sciences 10, no. 17: 6046. https://doi.org/10.3390/app10176046
APA StyleLou, P., Li, T., Huang, X., Huang, G., & Yan, B. (2020). Appropriate Matching Locations of Rail Expansion Regulator and Fixed Bearing of Continuous Beam Considering the Temperature Change of Bridge. Applied Sciences, 10(17), 6046. https://doi.org/10.3390/app10176046

