Structural, Magnetic and Mechanical Properties of Nd16 (Fe76−xCox)B8 0 ≤ x ≤ 25 Alloys
Abstract
1. Introduction
2. Materials and Methods
3. Results
3.1. XRD
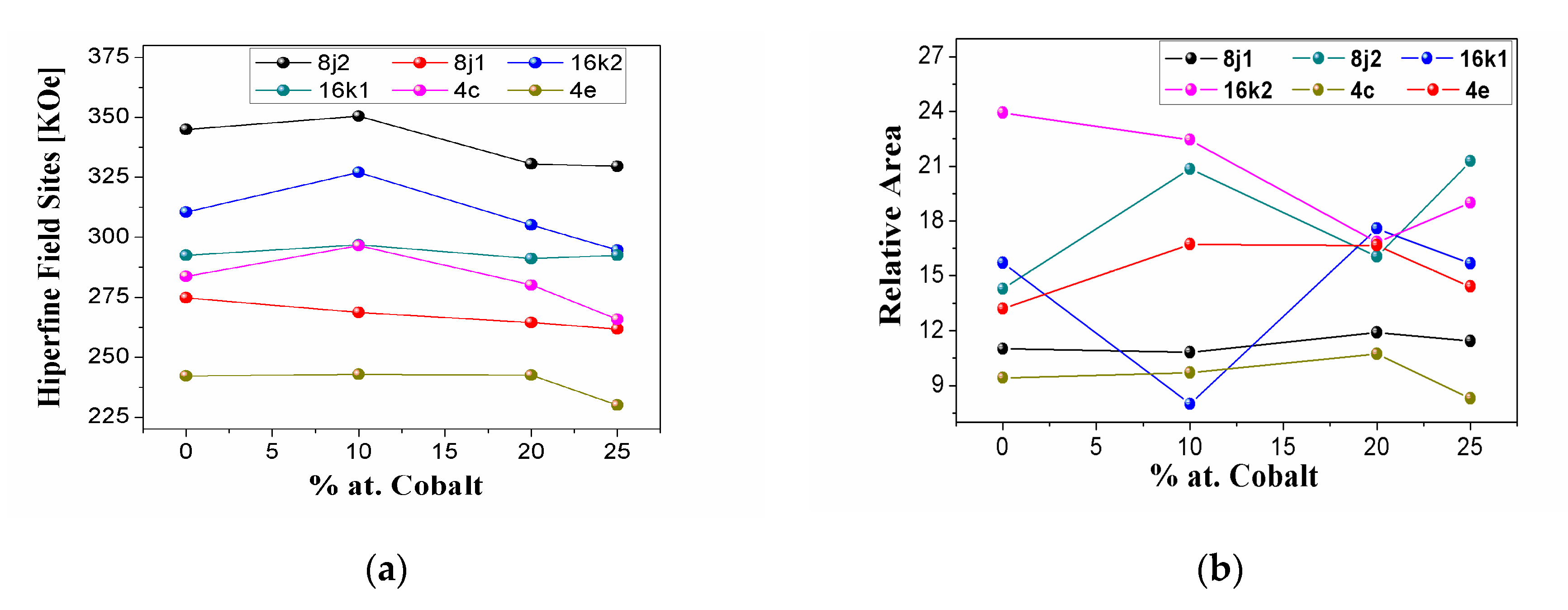
3.2. Mossbauer Results
3.3. Magnetic Properties
3.4. Microhardness
4. Conclusions
Author Contributions
Funding
Acknowledgments
Conflicts of Interest
References
- Croat, J.J.; Herbst, J.F.; Lee, R.W.; Pinkerton, F.E. High-energy product Nd-Fe-B permanent magnets. Appl. Phys. Lett. 1984, 44. [Google Scholar] [CrossRef]
- Sagawa, M.; Fujimura, S.; Togawa, N.; Yamamoto, H.; Matsuura, Y. New material for permanent magnets on a base of Nd and Fe (invited). J. Appl. Phys. 1984, 55. [Google Scholar] [CrossRef]
- Hadjipanayis, G.C. Nanophase hard magnets. J. Magn. Magn. Mater. 1999, 200. [Google Scholar] [CrossRef]
- Yang, F.; Zhang, X.; Guo, Z.; Ye, S.; Sui, Y.; Volinsky, A.A. 3D printing of NdFeB bonded magnets with SrFe12O19 addition. J. Alloy. Compd. 2019, 779. [Google Scholar] [CrossRef]
- Zhao, L.Z.; Yu, H.Y.; Guo, W.T.; Zhang, J.S.; Zhang, Z.Y.; Hussain, M.; Liu, Z.W.; Greneche, J.M. Phase and Hyperfine Structures of Melt-spun Nanocrystalline (Ce1-xNdx)16Fe78B6 Alloys. IEEE Trans. Magn. 2017, 53. [Google Scholar] [CrossRef]
- Madugundo, R.; Rama Rao, N.V.; Schönhöbel, A.M.; Salazar, D.; El-Gendy, A.A. Recent Developments in Nanostructured Permanent Magnet Materials and Their Processing Methods. In Magnetic Nanostructured Materials: From Lab to Fab; Elsevier: Amsterdam, The Netherlands, 2018. [Google Scholar]
- Fischbacher, J.; Kovacs, A.; Gusenbauer, M.; Oezelt, H.; Exl, L.; Bance, S.; Schrefl, T. Micromagnetics of rare-earth efficient permanent magnets. J. Phys. D Appl. Phys. 2018, 51. [Google Scholar] [CrossRef]
- McCallum, R.W.; Kadin, A.M.; Clemente, G.B.; Keem, J.E. High performance isotropic permanent magnet based on Nd-Fe-B. J. Appl. Phys. 1987, 61. [Google Scholar] [CrossRef]
- Coehoorn, R.; de Mooij, D.B.; Duchateau, J.P.W.B.; Buschow, K.H.J. Novel Permanent Magnetic Materials Made by Rapid Quenching. J. Phys. Colloq. 1988, 49. [Google Scholar] [CrossRef]
- Kneller, E.F.; Hawig, R. The exchange-spring magnet: A new material principle for permanent magnets. IEEE Trans. Magn. 1991, 27. [Google Scholar] [CrossRef]
- Fullerton, E.E.; Jiang, J.S.; Bader, S.D. Hard/soft magnetic heterostructures: Model exchange-spring magnets. J. Magn. Magn. Mater. 1999, 200. [Google Scholar] [CrossRef]
- López-Ortega, A.; Estrader, M.; Salazar-Alvarez, G.; Roca, A.G.; Nogués, J. Applications of exchange coupled bi-magnetic hard/soft and soft/hard magnetic core/shell nanoparticles. Phys. Rep. 2015, 553. [Google Scholar] [CrossRef]
- Cui, W.B.; Takahashi, Y.K.; Hono, K. Nd2Fe14B/FeCo anisotropic nanocomposite films with a large maximum energy product. Adv. Mater. 2012, 24. [Google Scholar] [CrossRef] [PubMed]
- Chang, W.C.; Chiou, D.Y.; Wu, S.H.; Ma, B.M.; Bounds, C.O. High performance α-Fe/Nd2Fe14B-type nanocomposites. Appl. Phys. Lett. 1998, 72. [Google Scholar] [CrossRef]
- Kou, X.C.; Dahlgren, M.; Grössinger, R.; Wiesinger, G. Spin-reorientation transition in nano-, micro- and single-crystalline Nd2Fe14B. J. Appl. Phys. 1997, 81. [Google Scholar] [CrossRef]
- Villas-Boas, V.; Romero, S.A.; Missell, F.P. Flash annealing and magnetic interactions in Pr4Fe78B. J. Appl. Phys. 1997, 81. [Google Scholar] [CrossRef]
- Wang, G.P.; Liu, W.Q.; Huang, Y.L.; Ma, S.C.; Zhong, Z.C. Effects of sintering temperature on the mechanical properties of sintered NdFeB permanent magnets prepared by spark plasma sintering. J. Magn. Magn. Mater. 2014, 349. [Google Scholar] [CrossRef]
- Yan, H.Z.; Kong, F.Q.; Xiong, W.; Li, B.Q.; Li, J.; Wang, L. New La-Fe-B ternary system hydrogen storage alloys. Int. J. Hydrog. Energy 2010, 35. [Google Scholar] [CrossRef]
- Hou, B.Y.; Xu, Z.; Peng, S.; Rong, C.; Liu, J.P.; Sun, S. A facile synthesis of SmCo5 magnets from core/shell Co/Sm 2O3 nanoparticles. Adv. Mater. 2007, 19. [Google Scholar] [CrossRef]
- Betancourt, I.; Davies, H.A. Exchange coupled nanocomposite hard magnetic alloys. Mater. Sci. Technol. 2010, 26. [Google Scholar] [CrossRef]
- Oyola Lozano, D.; Zamora, L.E.; Pérez Alcázar, G.A.; Rojas, Y.A.; Bustos, H.; Greneche, J.M. Magnetic and structural properties of the Nd2(Fe 100-xNbx)14B system prepared by arc melting. Hyperfine Interact. 2006, 169. [Google Scholar] [CrossRef]
- You, C.Y.; Takahashi, Y.K.; Hono, K. Fabrication and characterization of highly textured Nd-Fe-B thin film with a nanosized columnar grain structure. J. Appl. Phys. 2010, 108, 043901. [Google Scholar] [CrossRef]
- Cui, B.Z.; Sun, X.K.; Xiong, L.Y.; Cao, S.T.; Zhang, X.X.; Liu, W.; Geng, D.Y.; Zhang, Z.D. Relation between structure and magnetic properties of Nd2(Fe, Co, Mo)14B/α-Fe nanocomposite magnets. J. Alloy. Compd. 2002, 340. [Google Scholar] [CrossRef]
- Valcanover, J.A.; Paduani, C.; Ardisson, J.D.; Pérez, C.A.S.; Yoshida, M.I. Mössbauer effect and magnetization studies of Nd16Fe 76 - XRuxB8 alloys. Acta Mater. 2005, 53. [Google Scholar] [CrossRef]
- Fukagawa, T.; Ohkubo, T.; Hirosawa, S.; Hono, K. Nano-sized disorders in hard magnetic grains and their influence on magnetization reversal at artificial Nd/Nd2Fe14B interfaces. J. Magn. Magn. Mater. 2010, 322. [Google Scholar] [CrossRef]
- Cui, W.B.; Takahashi, Y.K.; Hono, K. Microstructure optimization to achieve high coercivity in anisotropic Nd-Fe-B thin films. Acta Mater. 2011, 59. [Google Scholar] [CrossRef]
- Saito, T. Electrical resistivity and magnetic properties of Nd-Fe-B alloys produced by melt-spinning technique. J. Alloy. Compd. 2010, 505. [Google Scholar] [CrossRef]
- Ma, B.M.; Herchenroeder, J.W.; Smith, B.; Suda, M.; Brown, D.; Chen, Z. Recent development in bonded NdFeB magnets. J. Magn. Magn. Mater. 2002, 239. [Google Scholar] [CrossRef]
- Keavney, D.J.; Fullerton, E.E.; Pearson, J.E.; Bader, S.D. High-coercivity, c-axis oriented Nd2Fe14B films grown by molecular beam epitaxy. J. Appl. Phys. 1997, 81. [Google Scholar] [CrossRef]
- Nishio, T.; Koyama, S.; Kasai, Y.; Panchanathan, V. Low rare-earth Nd–Fe–B bonded magnets with improved irreversible flux loss. J. Appl. Phys. 1997, 81. [Google Scholar] [CrossRef]
- Corfield, M.R.; Williams, A.J.; Harris, I.R. Effects of long term annealing at 1000 °C for 24 h on the microstructure and magnetic properties of Pr-Fe-B/Nd-Fe-B magnets based on Nd16Fe76B8 and Pr16Fe76B. J. Alloy Compd. 2000, 296. [Google Scholar] [CrossRef]
- Yue, M.; Tian, M.; Zhang, J.X.; Zhang, D.T.; Niu, P.L.; Yang, F. Microstructure and magnetic properties of anisotropic Nd-Fe-B magnets produced by spark plasma sintering technique. Mater. Sci. Eng. B Solid-State Mater. Adv. Technol. 2006, 131. [Google Scholar] [CrossRef]
- Pandian, S.; Chandrasekaran, V.; Markandeyulu, G.; Iyer, K.J.L.; Rama Rao, K.V.S. Effect of Al, Cu, Ga, Nb additions on the magnetic properties and microstructural features of sintered NdFeB. J. Appl. Phys. 2002, 92. [Google Scholar] [CrossRef]
- Wang, Z.; Zhou, S.; Zhang, M.; Qiao, Y. High-performance α-Fe/Pr2Fe14B-type nanocomposite magnets produced by hot compaction under high pressure. J. Appl. Phys. 2000, 88. [Google Scholar] [CrossRef]
- Pop, V.; Gutoiu, S.; Dorolti, E.; Isnard, O.; Chicina, I. The influence of short time heat treatment on the structural and magnetic behaviour of Nd 2 Fe 14 B/α-Fe nanocomposite obtained by mechanical milling. J. Alloy. Compd. 2011, 509. [Google Scholar] [CrossRef]
- Neu, V.; Schultz, L. Two-phase high-performance Nd-Fe-B powders prepared by mechanical milling. J. Appl. Phys. 2001, 90. [Google Scholar] [CrossRef]
- Horton, J.A.; Herchenroeder, J.W.; Wright, J.L.; Easton, D.S. Fracture toughness of Nd2Fei4B magnets. Mater. Trans. Jim 1996, 37. [Google Scholar] [CrossRef]
- Hu, Z.H.; Zhu, M.G.; Li, W.; Lian, F.Z. Effects of Nb on the coercivity and impact toughness of sintered Nd-Fe-B magnets. J. Magn. Magn. Mater. 2008, 320. [Google Scholar] [CrossRef]
- Szymura, S.; Wyslocki, J.J.; Rabinovich, Y.M.; Bala, H. Domain structure, magnetic and mechanical properties of Nd Fe B magnets with different grain size. Phys. Status Solidi (a) 1994, 141. [Google Scholar] [CrossRef]
- Varret, F.; Teillet, J. Unpublished MOSFIT program. Maine University: Le Mans, France.
- Larson, A.C.; von Dreele, R.B. General Structure Analysis System (GSAS); Los Alamos National Laboratory Report LAUR: Laur, Philippines, 2004.
- Gao, J.; Volkmann, T.; Roth, S.; Löser, W.; Herlach, D.M. Phase formation in undercooled NdFeB alloy droplets. J. Magn. Magn. Mater. 2001, 234. [Google Scholar] [CrossRef]
- Wang, S.C.; Li, Y. A new structure of Nd1+εFe4B4 phase in NdFeB magnet. J. Mater. Sci. 2005, 40. [Google Scholar] [CrossRef][Green Version]
- Gang, S.; Lianxi, H.; Erde, W. Preparation, microstructure, and magnetic properties of a nanocrystalline Nd12Fe82B6 alloy by HDDR combined with mechanical milling. J. Magn. Magn. Mater. 2006, 301. [Google Scholar] [CrossRef]
- Sheng, H.; Zeng, X.; Fu, D.; Deng, F. Differences in microstructure and magnetic properties between directly-quenched and optimally-annealed Nd-Fe-B nanocomposite materials. Phys. B Condens. Matter 2010, 405. [Google Scholar] [CrossRef]
- Hadjipanayis, G.C.; Gong, W. Magnetic hysteresis in melt-spun Nd-Fe-Al-B-Si alloys with high remanence. J. Appl. Phys. 1988, 64. [Google Scholar] [CrossRef]
- Manaf, A.; Buckley, R.A.; Davies, H.A. New nanocrystalline high-remanence Nd-Fe-B alloys by rapid solidification. J. Magn. Magn. Mater. 1993, 128. [Google Scholar] [CrossRef]
- Bolzoni, F.; Gavigan, J.P.; Givord, D.; Li, H.S.; Moze, O.; Pareti, L. 3d magnetism in R2Fe14B compounds. J. Magn. Magn. Mater. 1987, 66. [Google Scholar] [CrossRef]
- Sagawa, M.; Hirosawa, S.; Yamamoto, H.; Fujimura, S.; Matsuura, Y. Nd-Fe-B Permanent Magnet Materials. Jpn. J. Appl. Phys. 1987, 26. [Google Scholar] [CrossRef]
- Hernández, J.S.T.; Tabares, J.A.; Alcázar, G.A.P. Structural, magnetic, and mechanical hardness characterization of the alloy Nd16(Fe76−xNix)B8 with x = 0, 10, 20, and 25. Appl. Phys. A Mater. Sci. Process. [CrossRef]
- Dai, S.; Morrish, A.H.; Zhou, X.Z.; Hu, B.P.; Zhang, S.G. Mössbauer study of the permanent-magnet material Nd 2(Fe1-xNix)14B. J. Appl. Phys. 1988, 63. [Google Scholar] [CrossRef]
- Liao, L.X.; Altounian, Z.; Ryan, D.H. Cobalt site preferences in iron rare-earth-based compounds. Phys. Rev. B 1993, 47. [Google Scholar] [CrossRef]
- Lin, C.; Liu, Z.X.; Sun, Y.X.; Bai, C.X.; Zhao, T.S. Effect of exchange interaction on spin reorientation in the Nd2Fe14B system. Phys. Rev. B 1989, 39. [Google Scholar] [CrossRef]








| PHASE | Nd2Fe14B | |||||
|---|---|---|---|---|---|---|
| % Co | % Phase ± 0.3 | a[Å] ± 0.001 | c[Å] ± 0.001 | Vol. [Å3] ± 0.6 | Φ ⊥ [nm] ± 1.7 | Φ [nm] ± 1.7 |
| 0 | 83.8 | 8.814 | 12.210 | 948.7 | 19.3 | 25.0 |
| 10 | 68.8 | 8.799 | 12.174 | 942.7 | 32.4 | 48.3 |
| 20 | 60.5 | 8.768 | 12.138 | 933.2 | 55.0 | 94.8 |
| 25 | 63.5 | 8.762 | 12.136 | 931.9 | 44.5 | 81.0 |
| PHASE | Nd1.1Fe4B4 | |||||
| % Co | % Phase ± 0.3 | a[Å] ± 0.001 | c[Å] ± 0.001 | Vol. [Å3] ± 0.6 | Φ⊥ [nm] ± 1.0 | Φ[nm] ± 1.0 |
| 0 | 15.9 | 7.113 | 35.632 | 1802.9 | 64.7 | 5.2 |
| 10 | 31.2 | 7.096 | 35.090 | 1769.9 | 85.7 | 10.7 |
| 20 | 33.1 | 7.108 | 35.126 | 1761.1 | 52.6 | 3.8 |
| 25 | 28.7 | 7.100 | 34.993 | 1764.6 | 32.3 | 15.5 |
| PHASE | CoO | |||||
| % Co | % Phase ± 0.4 | a[Å] ± 0.001 | c[Å] ± 0.001 | Vol. [Å3] ± 0.2 | Φ⊥ [nm] ± 2.0 | Φ[nm] ± 2.0 |
| 0 | -- | -- | -- | -- | -- | |
| 10 | -- | -- | -- | -- | -- | |
| 20 | 6.4 | 3.185 | 5.249 | 46.1 | 19.0 | 22.6 |
| 25 | 7.7 | 3.240 | 5.234 | 47.61 | 38.8 | 25.3 |
| % at Co | Phase | Site | [%]Area ± 0.1 | Hhf[T] ± 0.1 |
|---|---|---|---|---|
| X = 0 (N16Fe76B8) | Nd1.1Fe4B4 | d | 8.4 | 0 |
| αFe | sb | 4.0 | 330 | |
| Nd2Fe14B | 16k1 | 14.3 | 292.4 | |
| 16k2 | 15.7 | 310.5 | ||
| 8j1 | 13.2 | 274.7 | ||
| 8j2 | 11.0 | 344.9 | ||
| 4c | 23.9 | 283.7 | ||
| 4e | 9.4 | 242.3 | ||
| X = 10 (N16Fe66Co10B8) | Nd1.1Fe4B4 | d | 6.4 | 0 |
| αFe | sb | 5.0 | 330 | |
| Nd2Fe14B | 16k1 | 20.9 | 296.8 | |
| 16k2 | 7.9 | 327.,1 | ||
| 8j1 | 16.7 | 268.7 | ||
| 8j2 | 10.8 | 350.5 | ||
| 4c | 22.5 | 296.4 | ||
| 4e | 9.7 | 242.8 | ||
| X = 20 (N16Fe56Co20B8) | Nd1.1Fe4B4 | d | 6.7 | 0 |
| αFe | sb | 3.5 | 330 | |
| Nd2Fe14B | 16k1 | 16.1 | 291.1 | |
| 16k2 | 17.6 | 305.2 | ||
| 8j1 | 16.7 | 264.5 | ||
| 8j2 | 11.9 | 330.6 | ||
| 4c | 16.8 | 280.1 | ||
| 4e | 10.7 | 242.5 | ||
| X = 25 (N16Fe51Co25B8) | Nd1.1Fe4B4 | d | 6.9 | 0 |
| αFe | sb | 3.1 | 330 | |
| Nd2Fe14B | 16k1 | 21.3 | 292.5 | |
| 16k2 | 15.7 | 294.6 | ||
| 8j1 | 14.4 | 261.8 | ||
| 8j2 | 11.4 | 329.6 | ||
| 4c | 19.0 | 265.7 | ||
| 4e | 8.3 | 229.9 |
© 2020 by the authors. Licensee MDPI, Basel, Switzerland. This article is an open access article distributed under the terms and conditions of the Creative Commons Attribution (CC BY) license (http://creativecommons.org/licenses/by/4.0/).
Share and Cite
Trujillo Hernández, J.S.; Talaat, A.; Tabares, J.; Oyola Lozano, D.; Bustos Rodríguez, H.; Martínez Sánchez, H.; Pérez Alcázar, G.A. Structural, Magnetic and Mechanical Properties of Nd16 (Fe76−xCox)B8 0 ≤ x ≤ 25 Alloys. Appl. Sci. 2020, 10, 5656. https://doi.org/10.3390/app10165656
Trujillo Hernández JS, Talaat A, Tabares J, Oyola Lozano D, Bustos Rodríguez H, Martínez Sánchez H, Pérez Alcázar GA. Structural, Magnetic and Mechanical Properties of Nd16 (Fe76−xCox)B8 0 ≤ x ≤ 25 Alloys. Applied Sciences. 2020; 10(16):5656. https://doi.org/10.3390/app10165656
Chicago/Turabian StyleTrujillo Hernández, Juan Sebastián, Ahmed Talaat, Jesús Tabares, Dagoberto Oyola Lozano, Humberto Bustos Rodríguez, Hugo Martínez Sánchez, and German Antonio Pérez Alcázar. 2020. "Structural, Magnetic and Mechanical Properties of Nd16 (Fe76−xCox)B8 0 ≤ x ≤ 25 Alloys" Applied Sciences 10, no. 16: 5656. https://doi.org/10.3390/app10165656
APA StyleTrujillo Hernández, J. S., Talaat, A., Tabares, J., Oyola Lozano, D., Bustos Rodríguez, H., Martínez Sánchez, H., & Pérez Alcázar, G. A. (2020). Structural, Magnetic and Mechanical Properties of Nd16 (Fe76−xCox)B8 0 ≤ x ≤ 25 Alloys. Applied Sciences, 10(16), 5656. https://doi.org/10.3390/app10165656

