Study on the Ultimate Supporting Force of Shield Excavation Face Based on Anisotropic Strength Theory
Abstract
Featured Application
Abstract
1. Introduction
2. Methodology
2.1. Casagrande Anisotropic Strength Theory
2.2. Rotation Effect of Principal Stress Axis
3. Modified “Wedge-Prism” Theoretical Calculation Model
4. Calculation Model of “Wedge-Prism”
4.1. Considering Anisotropy of Soil Strength
4.2. Casagrande Anisotropic Strength Theory
5. Case Study and Test
5.1. Case Study
5.2. Model Checking
6. Analysis of Parameter Sensitivity
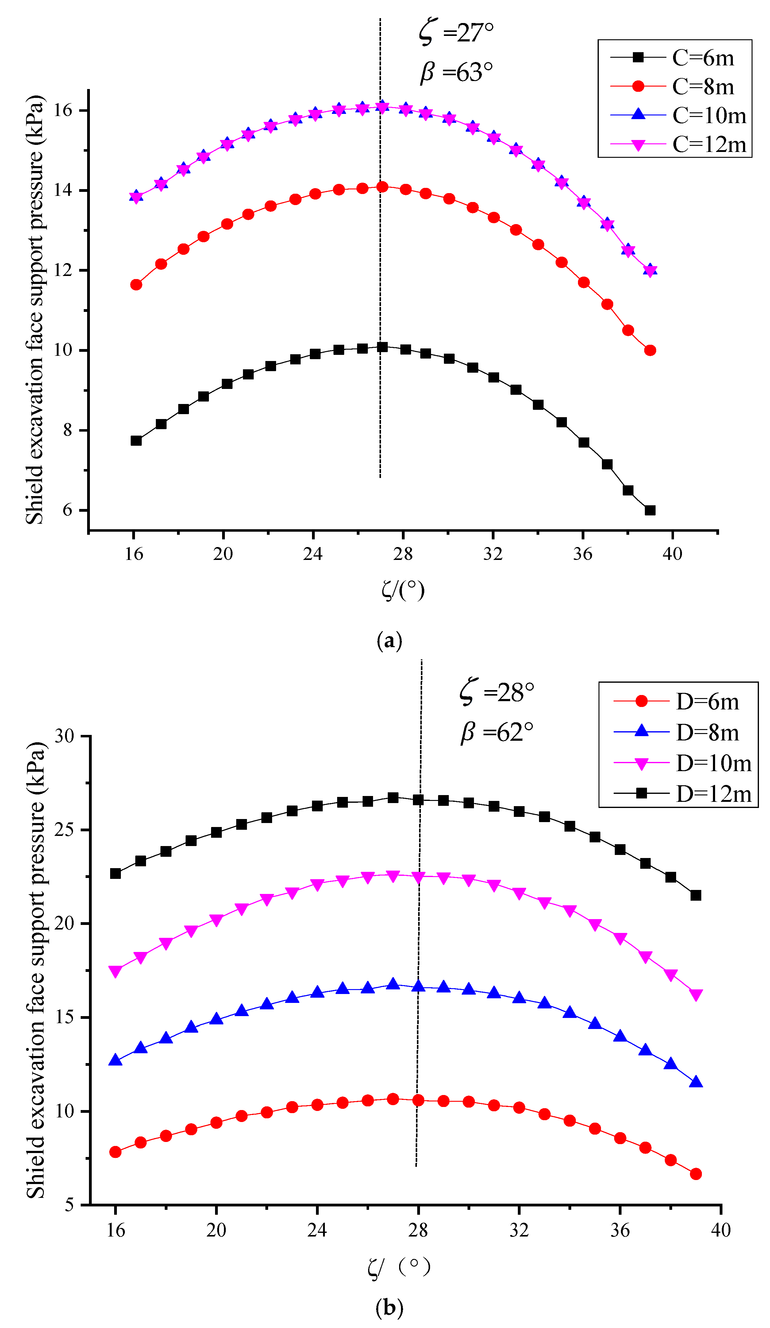
6.1. Influence of Loose Pressure of Overburden Soil
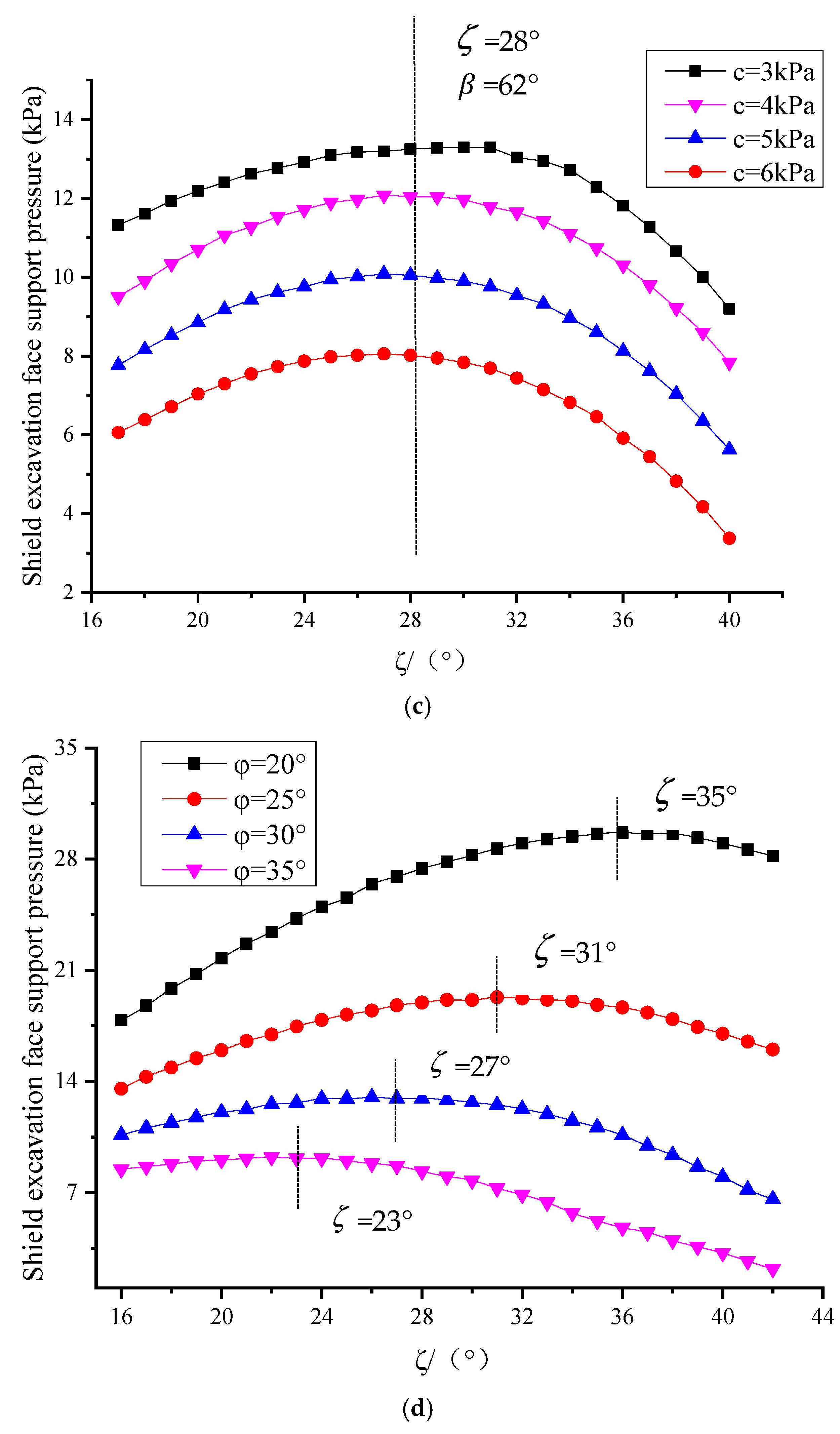
6.2. Influence of Anisotropy Ratio
6.3. Influence of Burial Depth Ratio
6.4. Influence of Cohesion
6.5. Influence of Angle of Internal Friction
7. Conclusions
Author Contributions
Funding
Conflicts of Interest
References
- Zhu, W.B.; Ju, S.J. Research on Risk Sources and Typical Accidents in Tunneling Construction; Jinan University Press: Guangzhou, China, 2009; pp. 78–86. [Google Scholar]
- Broms, B.B.; Bennermark, H. Stability of clay at vertical openings. J. Soil Mech. Found. Div. ASCE 1967, 96, 71–94. [Google Scholar]
- Leca, E.; Dormieux, L. Upper and lower bound solutions for the face stability of shallow circular tunnels in fric-tionalmaterial. Géotechnique 1990, 40, 581–606. [Google Scholar] [CrossRef]
- Lee, I.M.; Nam, S.W. The study of seepage forces actingon the tunnel lining and tunnel face in shallow tunnels. Tunn. Undergr. Space Technol. 2001, 16, 31–40. [Google Scholar] [CrossRef]
- Lv, X.L.; Wang, H.R.; Hang, M.S. Limit theoretical study on face stability of shield tunnels. Chin. J. Geotech. Eng. 2011, 33, 57–62. (In Chinese) [Google Scholar]
- Anagnostou, G.; Kovari, K. The face stability of slurry-shield-driven tunnels. Tunn. Undergr. Space Technol. 1994, 9, 165–174. [Google Scholar] [CrossRef]
- Lv, X.L.; Li, F.D.; Huang, M.S.; Wan, J.L. Three-dimensional numerical and analytical solutions of limit support pressure at shield tunnel face. J. Tongji Univ. (Nat. Sci.) 2012, 40, 1469–1473. (In Chinese) [Google Scholar]
- Tang, L.J.; Chen, R.P.; Yin, X.S.; Kong, L.G.; Huang, B. Centrifugal model tests on face stability ofshield tunnels in dense sand. Chin. J. Geotech. Eng. 2013, 35, 1830–1838. (In Chinese) [Google Scholar]
- Horn, M. Horizontal earth pressure on perpendicular tunnel face. In Proceedings of the Hungarian National Conference of the Foundation Engineer Industry, Budapest, Hungary, 18–21 June 1961; pp. 7–16. (In Hungarian). [Google Scholar]
- Jancsecz, S.; Steiner, W. Face support for a large mix-shield in heterogeneous ground conditions. In Proceedings of the Tunneling 94, Institution of Mining and Metallurgy, London, UK, 5–7 July 1994; Springer: New York, NY, USA, 1994; pp. 531–550. [Google Scholar]
- Broere, W. Face stability calculations for a slurry shield in heterogeneous soft soils. Tunn. Metrop. 1998, 23, 215–218. [Google Scholar]
- Wei, G.; He, F. Calculation of minimal support pressure acting on shield face during pipe jacking in sandy soil. Chin. J. Undergr. Space Eng. 2007, 3, 903–908. (In Chinese) [Google Scholar]
- Hu, W.T.; Lv, X.L.; Huang, M.S. Three—Dimensional Limit Equilibrium Solution of the Support Pressure on the Shield Tunnel Face. Chin. J. Undergr. Space Eng. 2011, 7, 853–856. (In Chinese) [Google Scholar]
- Anagnostou, G. The contribution of horizontal arching to tunnel face stability. Geotechnik 2012, 35, 34–44. [Google Scholar] [CrossRef]
- Chen, R.P.; Tang, L.J.; Yin, X.S. An improved 3d wedge—Prism model for the face stability analysis of the shield tunnel in cohesionless soils. Acta Geotech. 2015, 10, 683–692. [Google Scholar] [CrossRef]
- Lo, K.Y. Stability of slopes in anisotropic soils. J. Soil Mech. Found. Div. 2014, 91, 85–106. [Google Scholar]
- Casagrande, A. Shear failure of anisotropic materials. J. Boston Soc. Civ. Eng. 1944, 31, 74–87. [Google Scholar]
- Wrzesinski, G.; Pawluk, K.; Lendo-Siwicka, M.; Miszkowska, A. Undrained Shear Strength Anisotropy of Cohesive Soils Caused by the Principal Stress Rotation. In Proceedings of the 3rd World Multidisciplinary Civil Engineering, Architecture, Urban Planning Symposium (WMCAUS), Prague, Czech Republic, 18–22 June 2018. [Google Scholar]
- Zhang, Q.Y.; Xu, P.P.; Qian, H. Study on Shear Strength Anisotropy of Undisturbed Loess-Paleosol Sequence in Jingyang County. Chin. J. Rock Mech. Eng. 2019, 38, 2365–2376. [Google Scholar]
- Aikarni, A.A.; Aikarni, M.A. Study of the effect of soil anisotropy on slope stability using method of slices. Comput. Geotech. 2000, 26, 83–103. [Google Scholar]
- Huang, M.S.; Yu, S.B.; Qin, H.L. Upper bound method for basal stability analysis of braced excavations in K0- consolidated clays. Chin. Civ. Eng. J. 2011, 44, 101–108. (In Chinese) [Google Scholar] [CrossRef]
- Reddy, A.S.; Rao, K.N.V. Bearing capacity of strip footing on anisotropic and nonhomogeneous clay. Soils Found. 2008, 21, 1–6. [Google Scholar] [CrossRef]
- Liu, W.J.; Wang, T.H.; Xiao, J.X. Analysis of Shield Tunnel Excavation Surface Stability in Anisotropic Foundations. J. Chongqing Jiaotong Univ. (Nat. Sci.) 2018, 37, 14–19. (In Chinese) [Google Scholar]
- Wrzesinski, G.; Sulewska, M.J.; Lechowicz, Z. Evaluation of the Change in Undrained Shear Strength in Cohesive Soils due to Principal Stress Rotation Using an Artificial Neural Network. Appl. Sci. 2018, 8, 781. [Google Scholar] [CrossRef]
- Vereer, P.A.; Ruse, N.M.; Macher, T. Tunnel heading stability in drained ground. Felsbau 2002, 20, 8–18. [Google Scholar]
- Chambon, P.; Corte, J.F. Sallow tunnels in cohesionless soil: Stability of tunnel face. J. Geotech. Eng. 1994, 120, 1148–1164. [Google Scholar] [CrossRef]
- O’Sullivan, C.; Bray, J.D.; Riemer, M.F. Examination of the Response of Regularly Packed Specimens of Spherical Using Physical Tests and Discrete Element Simulations. J. Eng. Mech. 2004, 130, 1140–1150. [Google Scholar] [CrossRef]
- Takano, D.; Otani, J.; Nagatani, H.; Mukunoki, T. Application of X-ray CT houndary value problems in geotechnical engineering—Research on tunnel face failure. In GeoCongress 2006: Geotechnical Engineering in the Information Technology Age; ASCE: Reston, VA, USA, 2006. [Google Scholar]
- Chen, R.P.; Li, J.; Kong, L.J. Experimental study on face instability of shield tunnel in sand. Tunn. Undergr. Space Technol. 2013, 33, 12–21. [Google Scholar] [CrossRef]
- Tang, L.J. Numerical Investigations and Centrifugal Model Tests on Face Stability of Shield Tunnel in Dry and Saturated Sandy Soils. Ph.D. Thesis, Zhejiang University, Hangzhou, China, 2014. [Google Scholar]
- Lv, X.L.; Zhou, Y.C.; Li, F.D. Centrifuge model test and numerical simulation of stability of excavation face of shield tunnel in silty sand. Rock Soil Mech. 2016, 37, 3324–3328. (In Chinese) [Google Scholar]
- Jin, D.L.; Yuan, D.J.; Zheng, H.T.; Li, X.G.; Ding, F. Centrifugal model tests on face stability of slurry shield tunnels under high water pressures. Chin. J. Geotech. Eng. 2019, 41, 1653–1660. (In Chinese) [Google Scholar]
- Lee, I.M.; Lee, J.S.; Nam, S.W. Effect of seepage force on tunnel face stability reinforced with multistep pipe grouting. Tunn. Undergr. Space Technol. 2004, 19, 551–565. [Google Scholar] [CrossRef]
- Qin, J.S. Study on Face Deformation and Collapse of Earth Pressure Shield Tunnel; Hehai University: Nanjing, China, 2005. [Google Scholar]
- Li, B.; Li, H. Prediction of tunnel face stability using a naive bayes classifier. Appl. Sci. 2019, 9, 4139. [Google Scholar] [CrossRef]
















| Researcher | Research Method | C/D | H | L | H/L |
|---|---|---|---|---|---|
| Chambon (1994) | Centrifuge Model Test | 0.5 | 0.5D | 0.46D | 1.09 |
| 1 | 0.75D | 0.5D | 1.5 | ||
| 2 | 0.85D | 0.5D | 1.7 | ||
| Oblozinsky (2004) | Centrifuge Model Test | 2 | 0.59D | 0.27D | 2.19 |
| Takano (2006) | 1 g Model Test | 2 | 1.19D | 0.6D | 1.98 |
| Chen (2013) | 1 g Model Test | 2 | 1.5D | 0.75D | 2 |
| Tang (2014) | Centrifuge Model Test | 0.5 | 0.5D | 0.3D | 1.67 |
| 1 | 0.5D | 0.3D | 2 | ||
| 2 | 0.5D | 0.3D | 2 | ||
| Lv (2016) | Centrifuge Model Test | 0.5 | 0.5D | 0.4D | 1.25 |
| 1 | 0.65D | 0.4D | 1.63 | ||
| Jin (2019) | Centrifuge Model Test | 2 | 1.3D | 0.6D | 2.17 |
| Diameter (D) | Buried Depth (C) | Cohesive Force (c) | Unit Weight of Soil (γ) | The Angle of Internal Friction (φ) | Ultimate Supporting Force (σs) | |
|---|---|---|---|---|---|---|
| Results of Centrifugation Tests | Results of Calculation Model | |||||
| m | m | kPa | kN/m3 | ° | kPa | kPa |
| 5 | 2.5 | 3 | 17 | 38 | 3.2 | 3.953 |
| 5 | 5 | 3 | 17 | 38 | 3.5 | 4.575 |
| 5 | 10 | 3 | 17 | 38 | 4.0 | 5.834 |
| 10 | 10 | 3 | 17 | 38 | 7.5 | 8.976 |
| 10 | 20 | 3 | 17 | 38 | 8.0 | 9.954 |
| 10 | 30 | 3 | 17 | 38 | 8.3 | 10.553 |
| 10 | 40 | 3 | 17 | 38 | 8.4 | 10.925 |
© 2020 by the authors. Licensee MDPI, Basel, Switzerland. This article is an open access article distributed under the terms and conditions of the Creative Commons Attribution (CC BY) license (http://creativecommons.org/licenses/by/4.0/).
Share and Cite
Dai, C.; Sui, H.; Ma, C. Study on the Ultimate Supporting Force of Shield Excavation Face Based on Anisotropic Strength Theory. Appl. Sci. 2020, 10, 5222. https://doi.org/10.3390/app10155222
Dai C, Sui H, Ma C. Study on the Ultimate Supporting Force of Shield Excavation Face Based on Anisotropic Strength Theory. Applied Sciences. 2020; 10(15):5222. https://doi.org/10.3390/app10155222
Chicago/Turabian StyleDai, Chunquan, Hongtao Sui, and Chao Ma. 2020. "Study on the Ultimate Supporting Force of Shield Excavation Face Based on Anisotropic Strength Theory" Applied Sciences 10, no. 15: 5222. https://doi.org/10.3390/app10155222
APA StyleDai, C., Sui, H., & Ma, C. (2020). Study on the Ultimate Supporting Force of Shield Excavation Face Based on Anisotropic Strength Theory. Applied Sciences, 10(15), 5222. https://doi.org/10.3390/app10155222

