Ultraviolet Photodetection Application in Magnesium Indium Oxide Thin Film Transistors via Co-Sputtering Deposition
Abstract
1. Introduction
2. Experiment and Device Fabrication
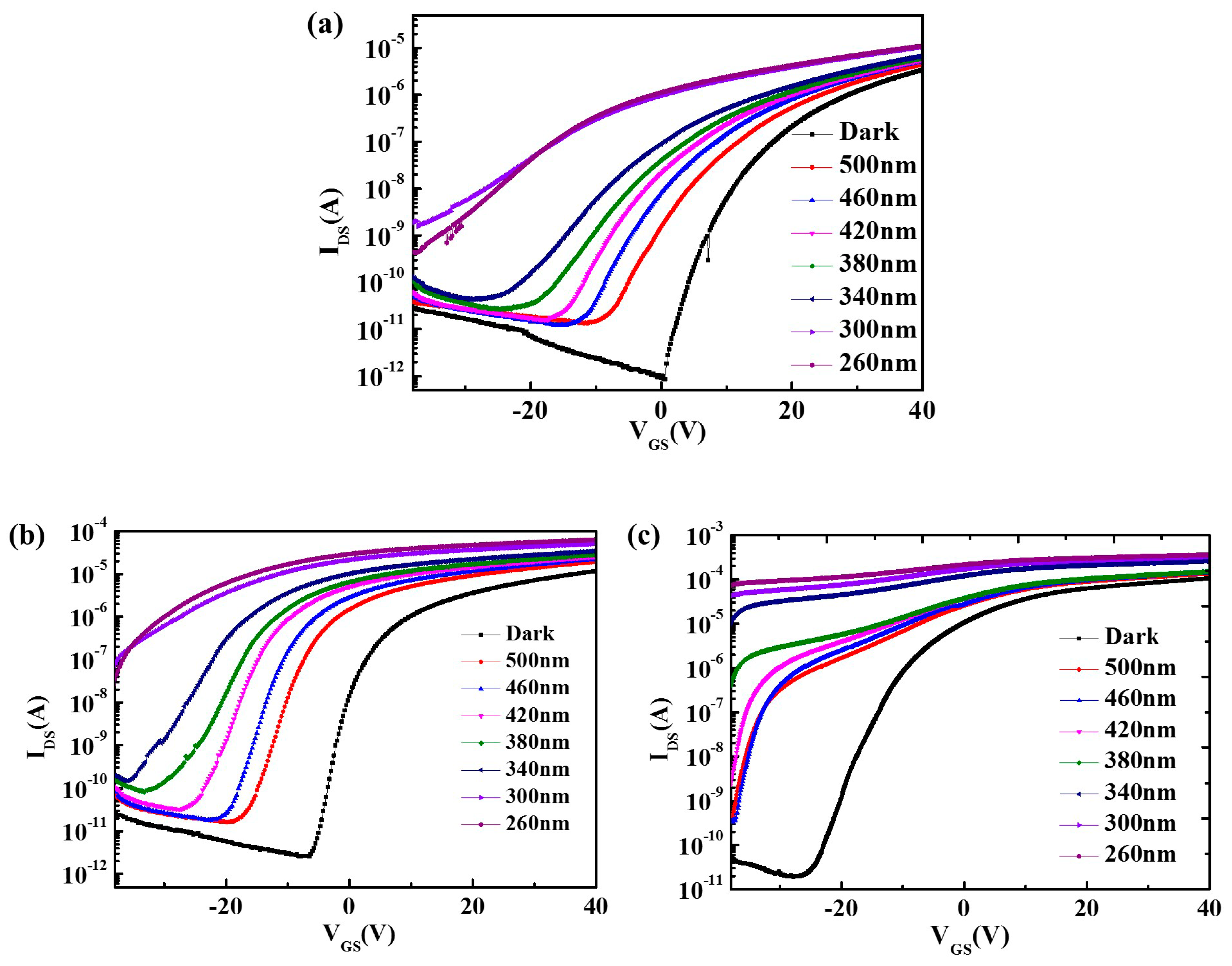
3. Results
4. Conclusions
Author Contributions
Funding
Conflicts of Interest
References
- Ferhati, H.; Djeffal, F. Planar junctionless phototransistor: A potential high-performance and low-cost device for optical-communications. Optics Laser Technol. 2017, 97, 29–35. [Google Scholar] [CrossRef]
- Gu, P.; Yao, Y.; Feng, L.; Niu, S.; Dong, H. Recent advances in polymer phototransistors. Polym. Chem. 2015, 6, 7933–7944. [Google Scholar] [CrossRef]
- Tang, Q.; Li, L.; Song, Y.; Li, H.; Xu, W.; Liu, Y.; Hu, W.; Zhu, D. Photoswitches and Phototransistors from Organic Single-Crystalline Sub-micro/nanometer Ribbons. Adv. Mater. 2007, 19, 2624–2628. [Google Scholar] [CrossRef]
- Guo, Y.; Yu, G.; Liu, Y. Functional organic field-effect transistors. Adv. Mater. 2010, 22, 4427–4447. [Google Scholar] [CrossRef]
- Dong, H.; Zhu, H.; Meng, Q.; Gong, X.; Hu, W. Organic photoresponse materials and devices. Chem Soc. Rev. 2012, 41, 1754–1808. [Google Scholar] [CrossRef]
- Wan, X.; Xu, Y.; Guo, H.; Shehzad, K.; Ali, A.; Liu, Y.; Yang, J.; Dai, D.; Lin, C.-T.; Liu, L.; et al. A self-powered high-performance graphene/silicon ultraviolet photodetector with ultra-shallow junction: Breaking the limit of silicon. npj 2D Mater. Appl. 2017, 1. [Google Scholar] [CrossRef]
- Qian, L.X.; Liu, X.Z.; Sheng, T.; Zhang, W.L.; Li, Y.R.; Lai, P.T. β-Ga2O3 solar-blind deep-ultraviolet photodetector based on a four-terminal structure with or without Zener diodes. AIP Adv. 2016, 6. [Google Scholar] [CrossRef]
- Monroy, E.; Omnès, F.; Calle, F. Wide-bandgap semiconductor ultraviolet photodetectors. Semicond. Sci. Technol. 2003, 18, R33–R51. [Google Scholar] [CrossRef]
- Shi, L.; Nihtianov, S. Comparative Study of Silicon-Based Ultraviolet Photodetectors. IEEE Sens. J. 2012, 12, 2453–2459. [Google Scholar] [CrossRef]
- Hou, Q.; Buckeridge, J.; Lazauskas, T.; Mora-Fonz, D.; Sokol, A.A.; Woodley, S.M.; Catlow, C.; Catlow, R.C.A. Defect formation in In2O3 and SnO2: A new atomistic approach based on accurate lattice energies. J. Mater. Chem. C 2018, 6, 12386–12395. [Google Scholar] [CrossRef]
- Park, J.C.; Kim, S.W.; Kim, C.J.; Lee, H.-N. Low-Temperature Fabrication and Characteristics of Lanthanum Indium Zinc Oxide Thin-Film Transistors. IEEE Electron. Device Lett. 2012, 33, 685–687. [Google Scholar] [CrossRef]
- Park, J.C.; Kim, S.W.; Kim, C.J.; Lee, H.-N. The Effects of Gadolinium Incorporation Into Indium–Zinc–Oxide Thin-Film Transistors. IEEE Electron. Device Lett. 2012, 33, 809–811. [Google Scholar] [CrossRef]
- Choi, Y.; Kim, G.H.; Jeong, W.H.; Bae, J.H.; Kim, H.J.; Hong, J.-M.; Yu, J.-W. Carrier-suppressing effect of scandium in InZnO systems for solution-processed thin film transistors. Appl. Phys. Lett. 2010, 97. [Google Scholar] [CrossRef]
- Parthiban, S.; Kwon, J.-Y. Role of dopants as a carrier suppressor and strong oxygen binder in amorphous indium-oxide-based field effect transistor. J. Mater. Res. 2014, 29, 1585–1596. [Google Scholar] [CrossRef]
- Chen, K.-Y.; Vu, H.-T.; Yang, C.-C.; Hsu, C.-C.; Su, Y.-K. Amorphous MgInO Ultraviolet Solar-Blind Photodetectors. IEEE Access 2019, 7, 103250–103254. (In English) [Google Scholar] [CrossRef]
- Uberuaga, B.P.; Tang, M.; Jiang, C.; Valdez, J.A.; Smith, R.; Wang, Y.; Sickafus, K.E. Opposite correlations between cation disordering and amorphization resistance in spinels versus pyrochlores. Nat. Commun. 2015, 6, 8750. [Google Scholar] [CrossRef]
- Sirringhaus, H. 25th anniversary article: Organic field-effect transistors: The path beyond amorphous silicon. Adv. Mater. 2014, 26, 1319–1335. [Google Scholar] [CrossRef]
- Bharti, B.; Kumar, S.; Lee, H.N.; Kumar, R. Formation of oxygen vacancies and ti(3+) state in tio2 thin film and enhanced optical properties by air plasma treatment. Sci Rep 2016, 6, 32355. [Google Scholar] [CrossRef]
- Feng, L.; Yu, G.; Li, X.; Zhang, J.; Ye, Z.; Lu, J. Solution Processed Amorphous ZnSnO Thin-Film Phototransistors. IEEE Trans. Electron. Devices 2017, 64, 206–210. (In English) [Google Scholar] [CrossRef]
- Chen, K.-Y.; Hsu, C.-C.; Yu, H.-C.; Peng, Y.-M.; Yang, C.-C.; Su, Y.-K. The Effect of Oxygen Vacancy Concentration on Indium Gallium Oxide Solar Blind Photodetector. IEEE Trans. Electron. Devices 2018, 65, 1817–1822. [Google Scholar] [CrossRef]
- Hung, M.P.; Chare, C.; Nag, M.; Meux, A.D.J.D.; Genoe, J.; Steudel, S. Effect of High Oxygen Partial Pressure on Carrier Transport Mechanism in a-InGaZnO TFTs. IEEE Trans. Electron. Devices 2018, 65, 2833–2837. [Google Scholar] [CrossRef]
- Shao, Y.; Wu, X.; Zhang, M.-N.; Liu, W.-J.; Ding, S.-J. High-Performance a-InGaZnO Thin-Film Transistors with Extremely Low Thermal Budget by Using a Hydrogen-Rich Al2O3 Dielectric. Nanoscale Res. Lett. 2019, 14, 122. [Google Scholar] [CrossRef] [PubMed]







| Threshold Voltage (V) | μFE (cm2/Vs) | S.S (V/dec) | On/Off Ratio | |
|---|---|---|---|---|
| Sample A | 13.2 | 0.134 | 2.59 | 2.2 × 105 |
| Sample B | −0.88 | 0.25 | 1.81 | 6 × 105 |
| Sample C | −12.2 | 2.01 | 2.83 | 1.4 × 105 |
| M–O (%) | VO (%) | M–OH (%) | |
|---|---|---|---|
| Sample A | 54.63 | 27.59 | 17.78 |
| Sample B | 54.35 | 32.96 | 12.69 |
| Sample C | 53.15 | 40.91 | 5.94 |
| Mg 2p | In 3d | O 1s | |
|---|---|---|---|
| Sample A | 17.50 | 34.75 | 47.75 |
| Sample B | 15.08 | 37.06 | 47.86 |
| Sample C | 11.56 | 38.82 | 49.63 |
© 2020 by the authors. Licensee MDPI, Basel, Switzerland. This article is an open access article distributed under the terms and conditions of the Creative Commons Attribution (CC BY) license (http://creativecommons.org/licenses/by/4.0/).
Share and Cite
Yang, C.-C.; Chen, K.-Y.; Yeh, W.-S.; Su, Y.-K.; Wang, Z.-H. Ultraviolet Photodetection Application in Magnesium Indium Oxide Thin Film Transistors via Co-Sputtering Deposition. Appl. Sci. 2020, 10, 5128. https://doi.org/10.3390/app10155128
Yang C-C, Chen K-Y, Yeh W-S, Su Y-K, Wang Z-H. Ultraviolet Photodetection Application in Magnesium Indium Oxide Thin Film Transistors via Co-Sputtering Deposition. Applied Sciences. 2020; 10(15):5128. https://doi.org/10.3390/app10155128
Chicago/Turabian StyleYang, Chih-Chiang, Kuan-Yu Chen, Wei-Sheng Yeh, Yan-Kuin Su, and Zi-Hao Wang. 2020. "Ultraviolet Photodetection Application in Magnesium Indium Oxide Thin Film Transistors via Co-Sputtering Deposition" Applied Sciences 10, no. 15: 5128. https://doi.org/10.3390/app10155128
APA StyleYang, C.-C., Chen, K.-Y., Yeh, W.-S., Su, Y.-K., & Wang, Z.-H. (2020). Ultraviolet Photodetection Application in Magnesium Indium Oxide Thin Film Transistors via Co-Sputtering Deposition. Applied Sciences, 10(15), 5128. https://doi.org/10.3390/app10155128

