The Interplay between Atmospheric Conditions and Grape Berry Quality Parameters in Portugal
Abstract
1. Introduction
2. Materials and Methods
2.1. Maturation Database
2.2. Climate Data
2.3. Relationships of Grape Berry Quality Parameters with Climate Variables
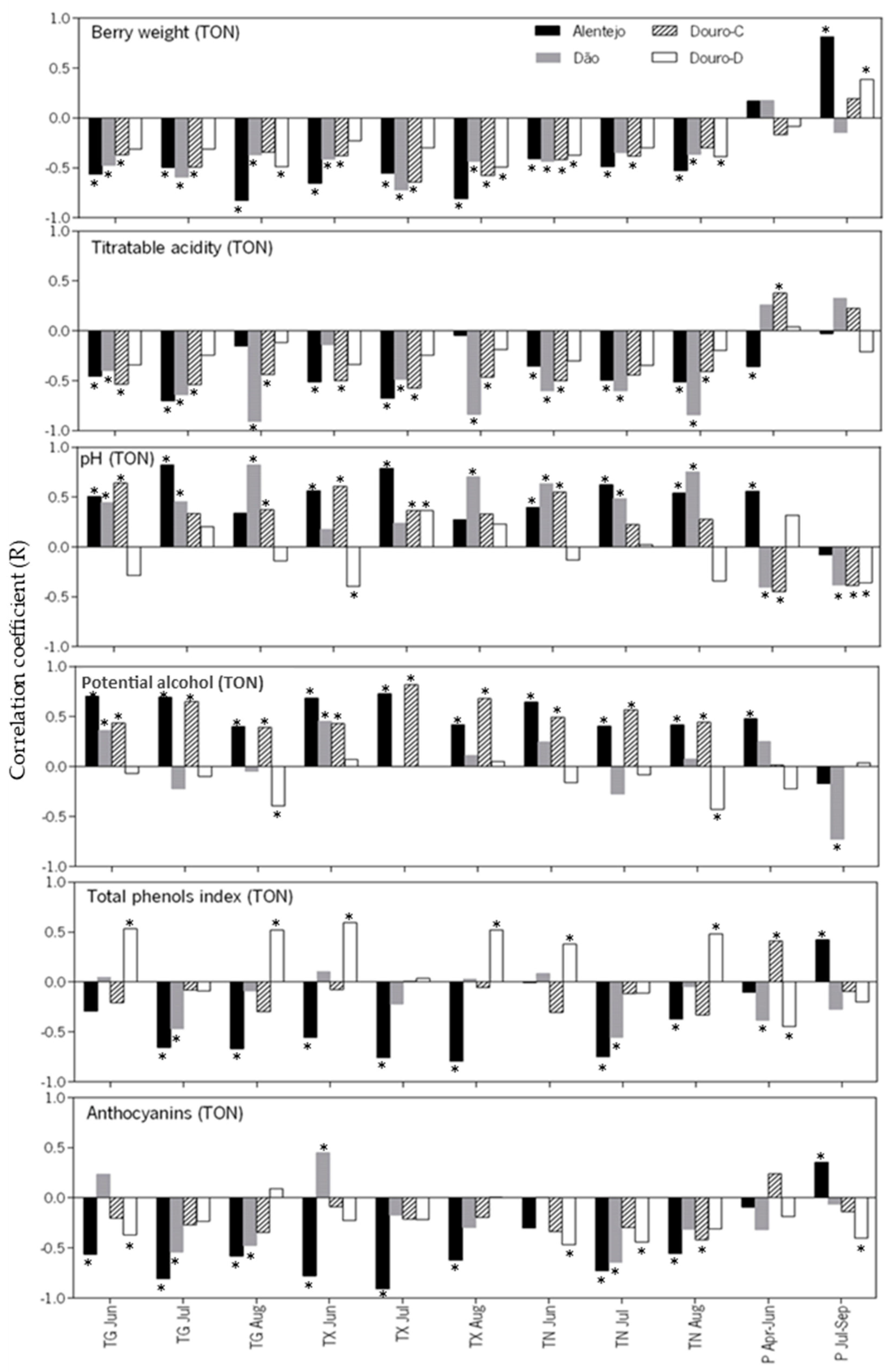
3. Results
3.1. Climate Characterization of the Selected Sites
3.2. Grape Berry Parameters versus Climate
3.2.1. Berry Weight
3.2.2. Titratable Acidity
3.2.3. pH
3.2.4. Potential Alcohol
3.2.5. Total Phenols Index
3.2.6. Anthocyanins
3.3. Assessment of Relations through a Clustering Approach
3.4. Relations on the Daily Timescale
4. Discussion
5. Conclusions
Author Contributions
Funding
Acknowledgments
Conflicts of Interest
References
- Organisation Internationale de la Vigne et du vin. 2019 Statistical Report on World Vitiviniculture; International Organisation of Vine and Wine: Paris, France, 2019. [Google Scholar]
- Fontoin, H.; Saucier, C.; Teissedre, P.-L.; Glories, Y. Effect of pH, ethanol and acidity on astringency and bitterness of grape seed tannin oligomers in model wine solution. Food Qual. Prefer. 2008, 19, 286–291. [Google Scholar] [CrossRef]
- Jones, G.; Reid, R.; Vilks, A. Climate, Grapes, and Wine: Structure and Suitability in a Variable and Changing Climate. In The Geography of Wine; Springer: Dordrecht, The Netherlands, 2012; pp. 109–133. [Google Scholar] [CrossRef]
- Bonada, M.; Sadras, V.O. Critical appraisal of methods to investigate the effect of temperature on grapevine berry composition. Aust. J. Grape Wine Res. 2015, 21, 1–17. [Google Scholar] [CrossRef]
- Fraga, H.; Santos, J.A.; Moutinho-Pereira, J.; Carlos, C.; Silvestre, J.; Eiras-Dias, J.; Mota, T.; Malheiro, A.C. Statistical modelling of grapevine phenology in Portuguese wine regions: Observed trends and climate change projections. J. Agric. Sci. 2016, 154, 795–811. [Google Scholar] [CrossRef]
- Costa, R.; Fraga, H.; Fonseca, A.; de Cortazar-Atauri, I.G.; Val, M.C.; Carlos, C.; Reis, S.; Santos, J.A. Grapevine Phenology of cv. Touriga Franca and Touriga Nacional in the Douro Wine Region: Modelling and Climate Change Projections. Agronomy 2019, 9, 210. [Google Scholar] [CrossRef]
- Bock, A.; Sparks, T.H.; Estrella, N.; Menzel, A. Climate-Induced Changes in Grapevine Yield and Must Sugar Content in Franconia (Germany) between 1805 and 2010. PLoS ONE 2013, 8, e69015. [Google Scholar] [CrossRef] [PubMed]
- Santos, J.; Graetsch, S.; Karremann, M.; Jones, G.; Pinto, J. Ensemble projections for wine production in the Douro Valley of Portugal. Clim. Chang. 2013, 117, 211–225. [Google Scholar] [CrossRef]
- Mira de Orduña, R. Climate change associated effects on grape and wine quality and production. Food Res. Int. 2010, 43, 1844–1855. [Google Scholar] [CrossRef]
- Gladstones, J. Viticulture and Environment; Winetitles: Adelaide, Australia, 1992. [Google Scholar]
- Ashenfelter, O.; Storchmann, K. Wine and Climate Change. Am. Assoc. Wine Econ. 2014, 164854, 319–343. [Google Scholar] [CrossRef]
- Conde, C.; Silva, P.; Fontes, N.; Dias, A.; Tavares, R.; Sousa, M.; Agasse, A.; Delrot, S.; Gerós, H. Biochemical changes throughout Grape Berry development and fruit and wine quality. Food 2007, 1, 1–22. [Google Scholar]
- Ubalde, J.M.; Sort, X.; Zayas, A.; Poch, R.M. Effects of Soil and Climatic Conditions on Grape Ripening and Wine Quality of Cabernet Sauvignon. J. Wine Res. 2010, 21, 1–17. [Google Scholar] [CrossRef]
- Barnuud, N.N.; Zerihun, A.; Gibberd, M.; Bates, B. Berry composition and climate: Responses and empirical models. Int. J. Biometeorol. 2014, 58, 1207–1223. [Google Scholar] [CrossRef] [PubMed]
- Buttrose, M.S.; Hale, C.R.; Kliewer, W.M. Effect of Temperature on the Composition of Cabernet Sauvignon Berries. Am. J. Enol. Vitic. 1971, 22, 71–75. [Google Scholar]
- Ruffner, H.P.; Hawker, J.S.; Hale, C.R. Temperature and enzymic control of malate metabolism in berries of Vitis vinifera. Phytochemistry 1976, 15, 1877–1880. [Google Scholar] [CrossRef]
- Lopez, M.I.; Sanchez, M.T.; Diaz, A.; Ramirez, P.; Morales, J. Influence of a deficit irrigation regime during ripening on berry composition in grapevines (Vitis vinifera L.) grown in semi-arid areas. Int. J. Food Sci. Nutr. 2007, 58, 491–507. [Google Scholar] [CrossRef]
- Coombe, B.G. Influence of temperature on composition and quality of grapes. Acta Hortic. 1987, 206, 23–36. [Google Scholar] [CrossRef]
- Keller, M. Managing grapevines to optimise fruit development in a challenging environment: A climate change primer for viticulturists. Aust. J. Grape Wine Res. 2010, 16, 56–69. [Google Scholar] [CrossRef]
- Poudel, P.R.; Mochioka, R.; Beppu, K.; Kataoka, I. Influence of temperature on berry composition of interspecific hybrid wine grape ‘Kadainou R-1’ (Vitis ficifolia var. ganebu × V. vinifera ‘Muscat of Alexandria’). J. Jpn. Soc. Hortic. Sci. 2009, 78, 169–174. [Google Scholar] [CrossRef][Green Version]
- Mori, K.; Sugaya, S.; Gemma, H. Decreased anthocyanin biosynthesis in grape berries grown under elevated night temperature condition. Sci. Hortic. 2005, 105, 319–330. [Google Scholar] [CrossRef]
- Bartolomé, M. Respuestas de la vid (Vitis vinifera L.) a Condiciones de Estrés Hídrico: Efectos Sobre las Relaciones Agua-Planta, el Crecimiento, la Producción y la Calidad (cv. Tempranillo); Universidad Politécnica de Madrid: Madrid, Spain, 1993. [Google Scholar]
- Cacho, J.; Fernández, P.; Ferreira, V.; Castells, J.E. Evolution of Five Anthocyanidin-3-Glucosides in the Skin of the Tempranillo, Moristel, and Garnacha Grape Varieties and Influence of Climatological Variables. Am. J. Enol. Vitic. 1992, 43, 244–248. [Google Scholar]
- Lorrain, B.; Chira, K.; Teissedre, P.-L. Phenolic composition of Merlot and Cabernet-Sauvignon grapes from Bordeaux vineyard for the 2009-vintage: Comparison to 2006, 2007 and 2008 vintages. Food Chem. 2011, 126, 1991–1999. [Google Scholar] [CrossRef]
- Mori, K.; Goto-Yamamoto, N.; Kitayama, M.; Hashizume, K. Loss of anthocyanins in red-wine grape under high temperature. J. Exp. Bot. 2007, 58, 1935–1945. [Google Scholar] [CrossRef] [PubMed]
- Ojeda, H.; Andary, C.; Kraeva, E.; Carbonneau, A.; Deloire, A. Influence of pre- and post-veraison water deficit on synthesis and concentration of skin phenolic compounds during berry growth of Vitis Vinifera cv. Shiraz. Am. J. Enol. Vitic. 2002, 53, 261–267. [Google Scholar]
- Matthews, M.; Anderson, M.M. Fruit ripening in Vitis vinifera L. responses to seasonal water deficits. Am. J. Enol. Vitic. 1988, 39, 313–320. [Google Scholar]
- Castellarin, S.D.; Pfeiffer, A.; Sivilotti, P.; Degan, M.; Peterlunger, E.; Di Gaspero, G. Transcriptional regulation of anthocyanin biosynthesis in ripening fruits of grapevine under seasonal water deficit. Plant Cell Environ. 2007, 30, 1381–1399. [Google Scholar] [CrossRef] [PubMed]
- Keller, M.; Tarara, J.M.; Mills, L.J. Spring temperatures alter reproductive development in grapevines. Aust. J. Grape Wine Res. 2010, 16, 445–454. [Google Scholar] [CrossRef]
- Jackson, D.I.; Lombard, P.B. Environmental and Management Practices Affecting Grape Composition and Wine Quality—A Review. Am. J. Enol. Vitic. 1993, 44, 409–430. [Google Scholar]
- Cogato, A.; Meggio, F.; Pirotti, F.; Cristante, A.; Marinello, F. Analysis and impact of recent climate trends on grape composition in north-east Italy. BIO Web. Conf. 2019, 13. [Google Scholar] [CrossRef]
- Jones, G.V.; Davis, R.E. Climate influences on grapevine phenology, grape composition, and wine production and quality for Bordeaux, France. Am. J. Enol. Vitic. 2000, 51, 249–261. [Google Scholar]
- Cunha, M.; Abreu, I.; Pinto, P.; Castro, R.d. Airborne Pollen Samples for Early-Season Estimates of Wine Production in a Mediterranean Climate Area of Northern Portugal. Am. J. Enol. Vitic. 2003, 54, 189–194. [Google Scholar]
- Santos, J.A.; Fraga, H.; Malheiro, A.C.; Moutinho-Pereira, J.; Dinis, L.-T.; Correia, C.; Moriondo, M.; Leolini, L.; Dibari, C.; Costafreda-Aumedes, S.; et al. A Review of the Potential Climate Change Impacts and Adaptation Options for European Viticulture. Appl. Sci. 2020, 10, 3092. [Google Scholar] [CrossRef]
- Blouin, J.; Peynaud, É. Connaissance et Travail du Vin, 3rd ed.; Dunod: Paris, France, 2001. [Google Scholar]
- Saint-Cricq, N.; Vivas, N.; Glories, Y. Maturité phénolique: Définition et contrôle. Rev. Française Oenologie 1998, 173, 22–25. [Google Scholar]
- Fonseca, A.R.; Santos, J.A. High-Resolution Temperature Datasets in Portugal from a Geostatistical Approach: Variability and Extremes. J. Appl. Meteorol. Clim. 2018, 57, 627–644. [Google Scholar] [CrossRef]
- Wilks, D.S. Statistical Methods in the Atmospheric Sciences, 4th ed.; Elsevier: Cambridge, MA, USA, 2019. [Google Scholar]
- Santos, M.; Fonseca, A.; Fraga, H.; Jones, G.V.; Santos, J.A. Bioclimatic conditions of the Portuguese wine denominations of origin under changing climates. Int. J. Climatol. 2020, 40, 927–941. [Google Scholar] [CrossRef]
- Fraga, H.; Atauri, I.G.D.; Santos, J.A. Viticultural irrigation demands under climate change scenarios in Portugal. Agric. Water Manag. 2018, 196, 66–74. [Google Scholar] [CrossRef]
- Santos, J.A.; Pinto, J.G.; Ulbrich, U. On the development of strong ridge episodes over the eastern North Atlantic. Geophys. Res. Lett. 2009, 36. [Google Scholar] [CrossRef]
- Santos, J.; Corte-real, J.; Leite, S. Atmospheric large-scale dynamics during the 2004/2005 winter drought in Portugal. Int. J. Climatol. 2007, 27, 571–586. [Google Scholar] [CrossRef]
- Fraga, H.; Atauri, I.G.D.; Malheiro, A.C.; Moutinho-Pereira, J.; Santos, J.A. Viticulture in Portugal: A review of recent trends and climate change projections. OENO One 2017, 51, 61–69. [Google Scholar] [CrossRef]
- Santos, M.; Fragoso, M.; Santos, J.A. Regionalization and susceptibility assessment to daily precipitation extremes in mainland Portugal. Appl. Geogr. 2017, 86, 128–138. [Google Scholar] [CrossRef]
- Santos, J.A.; Belo-Pereira, M. A comprehensive analysis of hail events in Portugal: Climatology and consistency with atmospheric circulation. Int. J. Climatol. 2019, 39, 188–205. [Google Scholar] [CrossRef]
- Fraga, H.; Molitor, D.; Leolini, L.; Santos, J.A. What Is the Impact of Heatwaves on European Viticulture? A Modelling Assessment. Appl. Sci. 2020, 10, 3030. [Google Scholar] [CrossRef]
- Santos, J.A.; Costa, R.; Fraga, H. New insights into thermal growing conditions of Portuguese grapevine varieties under changing climates. Appl. Clim. 2019, 135, 1215–1226. [Google Scholar] [CrossRef]
- Arrizabalaga, M.; Morales, F.; Oyarzun, M.; Delrot, S.; Gomes, E.; Irigoyen, J.J.; Hilbert, G.; Pascual, I. Tempranillo clones differ in the response of berry sugar and anthocyanin accumulation to elevated temperature. Plant Sci. 2018, 267, 74–83. [Google Scholar] [CrossRef] [PubMed]
- Van Leeuwen, C.; Trégoat, O.; Choné, X.; Bois, B.; Pernet, D.; Gaudillère, J.-P. Vine water status is a key factor in grape ripening and vintage quality for red Bordeaux wine. How can it be assessed for vineyard management purposes? OENO One 2009, 43, 121–134. [Google Scholar] [CrossRef]
- Dai, Z.W.; Ollat, N.; Gomès, E.; Decroocq, S.; Tandonnet, J.-P.; Bordenave, L.; Pieri, P.; Hilbert, G.; Kappel, C.; van Leeuwen, C.; et al. Ecophysiological, Genetic, and Molecular Causes of Variation in Grape Berry Weight and Composition: A Review. Am. J. Enol. Vitic. 2011, 62, 413–425. [Google Scholar] [CrossRef]
- Salazar-Parra, C.; Aguirreolea, J.; Sánchez-Díaz, M.; Irigoyen, J.; Morales, F. Effects of climate change scenarios on Tempranillo grapevine (Vitis vinifera L.) ripening: Response to a combination of elevated CO2 and temperature, and moderate drought. Plant Soil. 2010, 337, 179–191. [Google Scholar] [CrossRef]
- Smart, E.R. Principles of grapevine canopy microclimate manipulation with implications for yield and quality. A review. Am. J. Enol. Vitic. 1985, 36, 230–239. [Google Scholar]
- Zarrouk, O.; Costa, J.M.; Francisco, R.; Lopes, C.; Chaves, M.M. Drought and water management in Mediterranean vineyards. In Grapevine in a Changing Environment; Gerós, H., Chaves, M.M., Medrano Gil, H., Delrot, S., Eds.; John Wiley & Sons: New York, NY, USA, 2016; pp. 38–59. [Google Scholar]
- Carvalho, L.C.; Coito, J.L.; Goncalves, E.F.; Chaves, M.M.; Amancio, S. Differential physiological response of the grapevine varieties Touriga Nacional and Trincadeira to combined heat, drought and light stresses. Plant Biol. 2016, 18, 101–111. [Google Scholar] [CrossRef]
- Rogiers, S.Y.; Greer, D.H.; Hutton, R.J.; Landsberg, J.J. Does night-time transpiration contribute to anisohydric behaviour in a Vitis vinifera cultivar? J. Exp. Bot. 2009, 60, 3751–3763. [Google Scholar] [CrossRef]
- Costa, J.M.; Ortuño, M.F.; Lopes, C.M.; Chaves, M.M. Grapevine varieties exhibiting differences in stomatal response to water deficit. Funct. Plant Biol. 2012, 39, 179–189. [Google Scholar] [CrossRef]
- Chaves, M.M.; Zarrouk, O.; Francisco, R.; Costa, J.M.; Santos, T.; Regalado, A.P.; Rodrigues, M.L.; Lopes, C.M. Grapevine under deficit irrigation: Hints from physiological and molecular data. Ann. Bot. 2010, 105, 661–676. [Google Scholar] [CrossRef]







| Wine Region | Sub-Region | Vineyard Designation | Vine Block Area (m2) | Variety | Years |
|---|---|---|---|---|---|
| Alentejo | Vidigueira | Alentejo | 168 000 | TON | 2012–2017 |
| Alentejo | Vidigueira | Alentejo | 51 000 | ARA | 2004–2017 |
| Dão | Terras da Azurara | Dão | 16 000 | TON | 2008–2017 |
| Dão | Terras da Azurara | Dão | 23 000 | ARA | 2008–2017 |
| Douro | Cima Corgo | Douro-C | 42 000 | TON | 2007–2017 |
| Douro | Cima Corgo | Douro-C | 33 000 | ARA | 2007–2017 |
| Douro | Douro Superior | Douro-D | 187 000 | TON | 1999–2017 |
| Douro | Douro Superior | Douro-D | 19 000 | ARA | 1999–2017 |
| Vineyard | GST (°C) | JJA TG (°C) | JJA TX (°C) | JJA TN (°C) | RR (mm) |
|---|---|---|---|---|---|
| 1. Douro-D | 20.5 | 24.4 | 31.8 | 16.2 | 563 |
| 2. Douro-C | 18.2 | 21.9 | 29.0 | 14.0 | 681 |
| 3. Dão | 18.1 | 21.3 | 29.5 | 12.9 | 992 |
| 4. Alentejo | 21.1 | 24.2 | 33.1 | 15.5 | 637 |
| Vineyard | Weight of 100 Berries (g) | Titratable Acidity (g/L T.A.) * | pH | Potential Alcohol (17 g/1%) | TPI | Anthocyanins (mg/L) |
|---|---|---|---|---|---|---|
| Douro-D (TON) | 135 | 4.35 | 3.85 | 12.70 | 40.80 | 282 |
| Douro-C (TON) | 189 | 5.80 | 3.55 | 12.80 | 41.25 | 301 |
| Dão (TON) | 150 | 5.05 | 3.72 | 12.00 | 40.95 | 426 |
| Alentejo (TON) | 135 | 4.10 | 3.86 | 13.50 | 55.50 | 419 |
| Douro-D (ARA) | 163 | 3.40 | 3.94 | 14.70 | 40.90 | 306 |
| Douro-C (ARA) | 222 | 4.40 | 3.77 | 14.40 | 39.80 | 369 |
| Dão (ARA) | 219 | 4.35 | 3.86 | 13.90 | 37.80 | 399 |
| Alentejo (ARA) | 167 | 3.70 | 4.06 | 14.75 | 53.30 | 503 |
| Quality Parameter | Alentejo | Dão | Douro-C | |||||||
|---|---|---|---|---|---|---|---|---|---|---|
| Jun | Jul | Aug | Jun | Jul | Aug | Jun | Jul | Aug | ||
| Berry weight | ∆TX | −2.0 ** | −3.0 *** | −1.5 ** | −1.8 ** | −1.8 *** | −1.5 *** | |||
| ∆TG | −1.0 * | −1.3 *** | −1.3 * | −1.2 ** | −1.0 * | |||||
| ∆TN | −1.0 ** | −0.8 * | −1.0 ** | −1.0 ** | ||||||
| Titratable acidity | ∆TX | −1.4 * | −2.1 *** | −2.0 *** | −1.5 *** | |||||
| ∆TG | −1.3 *** | −1.9 *** | −1.8 *** | −0.9 * | −1.8 *** | −0.9 ** | ||||
| ∆TN | −0.8 * | −1.0 ** | −1.5 *** | −1.4 *** | −1.0 ** | −1.9 *** | −0.9 ** | |||
| pH | ∆TX | 2.7 *** | 3.5 *** | 2.0 *** | 1.6 *** | 2.6 *** | 1.2 * | 1.2 *** | ||
| ∆TG | 1.7 ** | 1.8 *** | 0.8 * | 1.4 *** | 1.9 *** | 1.2 ** | 1.2 ** | 1.1 *** | ||
| ∆TN | 1.1 * | 1.0 ** | 0.8 * | 0.9 * | 1.6 *** | 1.7 *** | 1.2 *** | 1.1 ** | ||
| Potential alcohol | ∆TX | 2.7 *** | 3.5 *** | 2.0 *** | 2.0 *** | 1.1 ** | 3.3 *** | 2.1 *** | ||
| ∆TG | 1.7 ** | 1.8 *** | 0.8 * | 1.0 * | 2.7 *** | 1.3 *** | ||||
| ∆TN | 1.1 * | 1.0 ** | 0.8 * | 1.3 *** | 2.9 *** | 1.8 *** | ||||
| Anthocyanin | ∆TX | −2.7 *** | −3.5 *** | −2.0 *** | −1.3 * | −1.0 * | −1.4 ** | |||
| ∆TG | −1.7 ** | −1.8 *** | −0.8 * | −1.4 *** | −0.9 ** | |||||
| ∆TN | −1.1 * | −1.0 ** | −0.8 * | −1.8 *** | −0.6 * | −0.8 * | −1.0 ** | |||
| TPI | ∆TX | −2.0 ** | −3.0 *** | −2.0 *** | −1.2 * | −1.4 *** | ||||
| ∆TG | −1.0 * | −1.3 *** | −2.1 *** | −1.0 ** | ||||||
| ∆TN | −1.0 ** | −2.2 *** | −0.8 ** | −0.8 * | −1.0 ** | |||||
| Quality Parameter | Alentejo | Dão | Douro-C | |||||||
|---|---|---|---|---|---|---|---|---|---|---|
| Jun | Jul | Aug | Jun | Jul | Aug | Jun | Jul | Aug | ||
| Berry weight | ∆TX | −1.1 * | −1.2 * | −1.4 ** | −1.1 * | −1.9 *** | −1.6 *** | |||
| ∆TG | −1.4 *** | −0.9 ** | −1.5 *** | −1.3 *** | ||||||
| ∆TN | −1.0 *** | −1.2 *** | −1.3 *** | −1.1 ** | ||||||
| Titratable acidity | ∆TX | −2.1 *** | −1.3 * | −1.2 ** | ||||||
| ∆TG | −1.3 ** | −1.0 ** | ||||||||
| ∆TN | −1.3 *** | |||||||||
| pH | ∆TX | 1.5 *** | ||||||||
| ∆TG | 1.2 *** | |||||||||
| ∆TN | 1.5 *** | |||||||||
| Potential alcohol | ∆TX | 2.0 ** | ||||||||
| ∆TG | 1.5 *** | |||||||||
| ∆TN | 0.9 * | |||||||||
| Anthocyanins | ∆TX | −1.1 ** | ||||||||
| ∆TG | −0.7 ** | |||||||||
| ∆TN | −0.8 ** | |||||||||
| TPI | ∆TX | |||||||||
| ∆TG | ||||||||||
| ∆TN | ||||||||||
© 2020 by the authors. Licensee MDPI, Basel, Switzerland. This article is an open access article distributed under the terms and conditions of the Creative Commons Attribution (CC BY) license (http://creativecommons.org/licenses/by/4.0/).
Share and Cite
Costa, C.; Graça, A.; Fontes, N.; Teixeira, M.; Gerós, H.; Santos, J.A. The Interplay between Atmospheric Conditions and Grape Berry Quality Parameters in Portugal. Appl. Sci. 2020, 10, 4943. https://doi.org/10.3390/app10144943
Costa C, Graça A, Fontes N, Teixeira M, Gerós H, Santos JA. The Interplay between Atmospheric Conditions and Grape Berry Quality Parameters in Portugal. Applied Sciences. 2020; 10(14):4943. https://doi.org/10.3390/app10144943
Chicago/Turabian StyleCosta, Cátia, António Graça, Natacha Fontes, Marta Teixeira, Hernâni Gerós, and João A. Santos. 2020. "The Interplay between Atmospheric Conditions and Grape Berry Quality Parameters in Portugal" Applied Sciences 10, no. 14: 4943. https://doi.org/10.3390/app10144943
APA StyleCosta, C., Graça, A., Fontes, N., Teixeira, M., Gerós, H., & Santos, J. A. (2020). The Interplay between Atmospheric Conditions and Grape Berry Quality Parameters in Portugal. Applied Sciences, 10(14), 4943. https://doi.org/10.3390/app10144943

