Next Article in Journal
Optimization of Associative Knowledge Graph using TF-IDF based Ranking Score
Previous Article in Journal
Hybrid Load Forecasting Using Gaussian Process Regression and Novel Residual Prediction
 
 
Font Type:
Arial Georgia Verdana
Font Size:
Aa Aa Aa
Line Spacing:
Column Width:
Background:
Article

A Control-Oriented Linear Parameter-Varying Model of a Commercial Vehicle Air Brake System

1
School of Mechanical and Electronic Engineering, Wuhan University of Technology, Wuhan 430070, China
2
Department of Mechanical Engineering, Michigan State University, East Lansing, MI 48224, USA
*
Authors to whom correspondence should be addressed.
Appl. Sci. 2020, 10(13), 4589; https://doi.org/10.3390/app10134589
Submission received: 24 May 2020 / Revised: 28 June 2020 / Accepted: 29 June 2020 / Published: 2 July 2020

Abstract

This paper presents a control-oriented LPV (Linear Parameter-Varying) model for commercial vehicle air brake systems, where a pneumatic valve actuator is used to control the brake chamber pressure. To improve the brake system response time and reduce the vehicle stopping distance, the traditional treadle valves used in the air brake system are replaced by electro-pneumatic valves. Also, to develop the model-based brake control strategy, a nonlinear mathematical model is developed based on Newton’s second law, fluid dynamics of the orifice, force balance of spool, and solenoid dynamic characteristics. The brake chamber dynamics is also considered during the charging and discharging processes. The developed nonlinear model is calibrated based on both valve actuator geometry and test bench experimental results. It is proposed to model the nonlinear system in the LPV form so that gain-scheduling controllers can be developed. To obtain the LPV model, system identification is conducted using the calibrated nonlinear model to obtain a set of linearized models under different brake chamber pressure levels, and the resulting identified linear models are assembled to form the LPV model with brake chamber pressure as the varying parameters. A linear infinite-horizon continuous-time LQR (Linear Quadratic Regulator) controller was designed for the braking system based on the developed LPV model with the fixed parameter to demonstrate the effectiveness of the developed LPV model.

1. Introduction

The vehicle brake system is a crucial component of commercial vehicles and it is closely related to driving safety, especially under downhill braking and other emergency conditions to avoid an accident. Over 90% of vehicle rear-end accidents and 60% of frontal collisions could be avoided effectively if the brake response time could be reduced by one second based on the National Transportation Safety Board (NTSB) special investigation report [1]. The engineering solution for decreasing the rear-end accidents is to develop an advanced brake system [2]. Most commercial vehicles, such as buses, heavy- and mediate-duty trucks, are equipped with an air brake system. Compressed air is used as the actuation power in the air brake system of commercial vehicles. The air brake system used in commercial vehicles is quite different from the hydraulic brake system used in passenger cars, where hydraulic power is used, and air brake system response time is much slower than that of hydraulic brake system since air is compressible. Another major difference is the required braking torque, where commercial vehicle braking torque is much higher than that of passenger cars. Since air pressure is relatively difficult to regulate, controlling the air brake system to achieve the desired performance is a challenge. There are many literature in the air brake system and associated control methods [3,4]. Nowadays, electronically controlled pneumatic braking systems are widely used for commercial vehicles to improve their performance to make it possible to install a longitudinal driving assistance system, where the braking air pressure is electronically controlled using electro-pneumatic proportional valves.
As a result, studying the brake system characteristics is of great importance. The vital dynamic characteristics of the brake system centers on the pedal force, pedal travel, response time and vehicle stopping distance [5]. The key to improving air brake system performance is to reduce response time with smooth brake torque. The driver braking response time, the brake line layout, the actuation solenoid valve response time, and the master valve response time affect brake system response time, leading to undesired braking performance. The developed model was used to predict the brake chamber transient performance and estimate brake chamber actuator displacement, and it is also used to detect brake system leaks. This model is a useful tool for a control system to reduce response time and stopping distance [6]. Tankut Acarman et al. [7] developed a simple mathematical model describing the air flow dynamic characteristics for a pneumatic brake system. M. Zamzamzadeh [8] analyzed the effect of driver pedal force to brake distance through multi-body dynamic simulations of a Single Unit Truck (SUT) based on a validated vehicle model and showed that it is feasible to use the air brake system model to predict the transient brake chamber pressure performance. Ataur Rahman [9] proposed a mathematical model of electro-hydro-mechanical brake system for passenger cars to describe the braking force generated by the hydraulic master boost-cylinder. Jeevan N. Patil [10] developed a mathematical model using AMEsim software to evaluate the brake system dynamic characteristics. I. Type [11] designed the full brake system model to make a study of the performance of the brake system and individual brake system component. Zhe Wang, et al. [12] adopted a servo-device to simulate the brake pedal operations and study the hysteresis characteristics of pneumatic brake systems.
Active safety technology such as anti-lock brake system (ABS), adaptive cruise system (ACC), active collision avoidance system (CAS), Electronic Stability Control (ESC), Electronic braking system (EBS) and brake force distribution(EBD) are widely adopted. ABS is essential to prevent tire slipping and hence to maximize brake torque, and brake torque redistribution are also very important for reducing brake distance. A brake system model was developed and used to tune the associated PID controller to optimize the ABS performance [13]. ZONG Chang-fu et al. [14] researched the proportional relay valve and control algorithm for the purpose of pneumatic electric braking system (EBS) control strategy development. Ryosuke Matsumi et al. [15] developed an autonomous collision avoidance system (CAS) by electric braking torque of the electric vehicle. Commercial vehicles electronically controlled technology is developed slowly. As vehicle technology EBS is gaining its popularity, especially for electric vehicles [16], other vehicle control features, also require the brake system to work with them to achieve their functionality. Therefore, designing a brake control system with satisfactory performance becomes extremely important. During the development of the brake control system, it is dangerous to directly carry out on the real vehicle braking test. Establishing a mathematical model is vital for the design of controller parameters and simulation tests. To develop a model-based control strategy for reducing brake system response time, a control-oriented model is necessary. There are many brake system modeling tools, for example, AMEsim and Matlab/Simulink. Most of the existing researches on modeling focus on the original brake system components. For instance, Vikas Gautam et al. [17] developed a nonlinear brake system model to predict the brake chamber transient pressure, and model-based longitudinal control schemes are also designed to improve the transient braking performance and maintain the desired brake chamber pressure. Note that modeling the spool of a proportional valve is not a simple task, and the existing brake system model is either nonlinear or linearized based on the nonlinear one.
There are many literature on the brake system model linearization and associated linear control design for ABS brake systems but not many for pneumatic brake systems. Amir Poursamad [18] presented an adaptive neural network-based hybrid controller for the ABS using feedback linearization, but it was a challenge to handle the brake system nonlinearity and uncertain time-varying parameters. Mara Tanelli [19] also showed a nonlinear output feedback control law for ABS. The proposed control algorithm yields robust performance and guarantees the control action for unknown road conditions such as road grade. Juan J Castillo [20] proposed a new brake system architecture using proportional servo-valves and designed a fuzzy logic control strategy to achieve the optimal pressure in the brake circuit. To study the nonlinear characteristics of the brake system, Jurgen Heilig [21] used the nonlinear vehicle brake model to predict the brake noise and showed that the linearized model could be used to predict closed-loop system instability. Since it is challenging to design a controller with guaranteed performance for nonlinear systems due to a lack of available nonlinear control design methodologies, linearizing the nonlinear system model is one option to design a linear controller. An alternative method to linearization is using system identification, such as the PRBS (Pseudo-Random Binary Signal) q-Markov Cover [22], to obtain a linear model. The PRBS q-Markov Cover method was used for an electric variable valve timing system with satisfactory results in [23].
By comparing with the PID-type approaches, the model-based control action is ’intelligent’ and has advantages in uniformity, disturbance rejection, and setpoint tracking [24]. To further improve the closed-loop brake system performance, model-based gain-scheduling control is preferred, which requires a control-oriented LPV (Linear Parameter-Varying) system model. In this paper, a nonlinear pneumatic brake system model with electro-pneumatic proportional valves was developed. To make it feasible to design LPV gain-scheduling controllers for improving brake chamber pressure regulation performance, the developed nonlinear system model is linearized using the PRBS q-Markov Cover [25] at multiple brake chamber pressure levels, and then, linked into a single LPV model [26].
The main contribution of this paper is three-fold: (a) a physics-based spool modeling of the electro-pneumatic proportional valve including the continuous variations of multiple spring forces; (b) model linearization using q-Markov Cover system identification for the nonlinear air brake system model; and (c) formation of the LPV system model based on the set of identified linear models. Note that the development of the LPV model enables Model Predictive Control (MPC) and gain-scheduling control strategies for improving air braking system performance.

2. Nonlinear Mathematical Modeling

This section presents the governing equations of the main valve component from the control voltage inputs to the output brake chamber pressure. The air brake system consists of two subsystems: pneumatic and mechanical subsystems. The pneumatic subsystem includes an air compressor, storage reservoir, brake line, quick release valve, relay valve, brake chamber and so on (see Figure 1); and the mechanical subsystem includes mainly push rod, slack regulator, brake pad, and so on (see [6] for details). There is a certain time lag (delay) from the time when a driver presses the pedal to the time that pressure starts building up in the brake chamber. To reduce the brake response time (or vehicle brake stopping distance), the treadle valves in the existing pneumatic system is replaced by the electro-pneumatic proportional valves; see Figure 1.
The electro-pneumatic proportional valve, such as the ITV series from SMC corporation [27], consists of two solenoid valves (supply and exhaust), pilot chamber, and a spool valve; see Figure 2. When a control voltage is applied to the supply solenoid valve, the air supply solenoid valve opens, air in the supply port passes through the air supply solenoid valve and flows into the pilot chamber with the exhaust solenoid valve off. The pressurized air in the pilot chamber presses the diaphragm and piston, and the piston rod (spool) moves down. As a result, the air supply valve opens, and the compressed air flows from the supply port to the output port. When the input voltage to the supply solenoid is set to zero, the air supply valve closes, airflow stops, and output pressure remains unchanged after supply, and output flow is stabilized. After the exhaust solenoid valve is turned on, the exhaust valve opens, the compressed air in the pilot chamber releases to the atmosphere, leading to decrement of output pressure. The valve control circuit also measures output pressure via a pressure sensor to regulate the output pressure to be proportional to the reference voltage.
Utilizing the principle of momentum, governing equations of fluid dynamics, valve motion and chamber pressure dynamics, a detailed nonlinear dynamic model of target pneumatic proportional valve is developed component-by-component based on the internal valve structure. There are four main subsystems for the valve model: solenoid valve, pilot chamber, valve spool, and brake chamber. The following assumptions are made for the proposed model:
(1)
leakage in the chamber is negligible;
(2)
the orifice flow process is isentropic;
(3)
air is treated as ideal gas; and
(4)
coulomb friction effect is ignored.

2.1. Solenoid Valve Model

According to Figure 2, the solenoid valve has two states: on and off. Based on the PID controller output y p , V 1 and V 2 are generated based upon Equation (1), where V 1 is active when PID output is greater than 0.1 ; V 2 is active when PID output is smaller than 0.1 ; and V 1 = V 2 = 0 when the PID output is between 0.1 and 0.1 . The output of the algorithm is the PWM signal duty cycles x D C 1 and x D C 2 . The period of both PWM signals is 0.016 s , which is used in simulations and experiments. Then, V 1 and V 2 are generated based on the PWM signal.
x D C 1 = y p , i f y p > 0.1 0 , i f y p 0.1 , x D C 2 = 0 , i f y p 0.1 y p , i f y p < 0.1
The subsystem model from solenoid voltage input to the needle displacement is simplified as a first-order system defined in Equation (2).
X ( s ) = c τ s + 1 U ( s )
where X ( s ) is the Laplace transform of valve needle displacement x; U ( s ) is the Laplace transform of solenoid control input u (‘0’—off, ‘1’—on); τ is the time constant of the solenoid valve; and c is the valve displacement scaling factor.
When the needle moves with displacement x, flow through the equivalent solenoid valve is formed. For compressible fluids, the mass flow rate through an equivalent orifice of supply solenoid valve can be expressed by the quasi-steady-state isentropic orifice flow process defined in Equation (3).
q m s u p p l y = C d A ( x 1 ) P sup 2 γ R T 0 ( γ 1 ) * P p i l P sup > 0.528 ( P p i l P sup ) 2 γ ( P p i l P sup ) γ + 1 γ C d A ( x 1 ) P sup γ R T 0 * P p i l P sup 0.528 ( 2 γ + 1 ) γ + 1 γ 1
Similarly, the mass flow rate through an equivalent orifice of exhaust solenoid valve can also be expressed by the quasi-steady-state isentropic orifice flow process in Equation (4).
q m e x h a u s t = C d A ( x 2 ) P p i l 2 γ R T 0 ( γ 1 ) * P a t m P p i l > 0.528 ( P a t m P p i l ) 2 γ ( P a t m P p i l ) γ + 1 γ C d A ( x 2 ) P p i l γ R T 0 * P a t m P p i l 0.528 ( 2 γ + 1 ) γ + 1 γ 1
In Equations (3) and (4), x 1 is the air supply solenoid valve displacement; x 2 is the exhaust solenoid valve displacement; C d is the discharge coefficient; A ( x 1 ) and A ( x 2 ) are the equivalent areas of supply solenoid valve spool and exhaust solenoid valve spool as functions of associated valve displacements, respectively; P sup is supply pressure; R is the ideal gas constant; T 0 is supply air temperature; γ is the ratio of specific heats; P p i l is pressure of pilot chamber; and P a t m is atmosphere pressure. Therefore, the mass flow into the pilot chamber is defined as δ q m 1 in Equation (5).
δ q m 1 = q m 1 q m 2

2.2. Pilot Chamber and Spool Valve Displacement

Assuming that the flow in the pilot chamber is ideal gas and isentropic, the temperature and pressure in the pilot chamber can be expressed by Equation (6).
T p = T 0 ( P p P 0 ) γ 1 γ
where γ is the ratio of specific heats and is assumed to be constant; T p and P p are the temperature and pressure of the pilot chamber, respectively; and P 0 and T 0 are the temperature and pressure of supply air, respectively. The relation among the temperature, pressure, volume, and air mass in the pilot chamber can be achieved based on the ideal gas state as Equation (7).
m p = V p P p R T p
The pilot chamber is considered as a control volume as a function of the spool displacement with an initial volume of V 0 . The volume defined as Equation (8) is
V p = V 0 + A p y
Substituting Equations (6) and (8) into Equation (7) and differentiating the resulting equation yield Equation (9).
q m = 1 γ V p P ˙ p R T p + P p V ˙ p R T p
or equivalently the air mass flow rate into the pilot chamber can be determined by Equation (10)
q m = ( V 0 + A p y ) P ˙ p γ R T 0 ( P p P 0 ) 1 γ γ + P 0 A p y ˙ R T 0 ( P p P 0 ) 1 γ
Then, the pressure change in the pilot chamber is defined as Equation (11).
P ˙ p = δ q m 1 P 0 A p y ˙ R T 0 ( P p P 0 ) 1 γ ( V 0 + A p y ) γ R T 0 ( P p P 0 ) 1 γ γ
or equivalently
P ˙ p = γ R T 0 δ q m 1 γ P 0 A p y ˙ ( P p P 0 ) 1 γ ( V 0 + A p y ) ( P p P 0 ) 1 γ γ
Spool valve displacement is a function of pilot chamber pressure, outlet pressure, spring and damping forces applied to the spool. Furthermore, the spring forces applied to the spool is a function of displacement y described below as Equation (13):
f s p o o l = k 1 y + k 3 y + f 30 , y 0 k 1 y , y 0 y < 0 k 1 y + k 2 y f 20 , y < y 0
where k 1 , k 2 , and k 3 are equivalent spring stiffness of springs s 1 , s 2 and s 3 (see Figure 2), respectively; and f 20 and f 30 are preload spring forces assiated with springs s 2 and s 3 , respectively.
Then the spool motion is analyzed. The equation of motion can be derived by Newton’s second law as Equation (14):
m y ¨ + B y ˙ + f s p o o l = P p a 1 P b ( a 1 a 2 )
or equivalently Equation (15) below.
P p i l a 1 P o u t ( a 1 a 2 ) = ( m 1 + m 3 ) y ¨ + ( B 1 + B 3 ) y ˙ + k 1 y + k 3 y + f 30 , y 0 m 1 y ¨ + B 1 y ˙ + k 1 y , y 0 y < 0 ( m 1 + m 2 ) y ¨ + ( B 1 + B 2 ) y ˙ + k 1 y + k 2 y f 20 , y < y 0
In Equation (15), m 1 is the mass of spring 1 and piston; m 2 is the mass of spring 2; and m 3 is the mass of spring 3; B i ( i = 1 , 2 , 3 ) are damping coefficient associated with spring 1, 2, and 3, respectively; k i ( i = 1 , 2 , 3 ) are spring stiffness associated with spring 1, 2, and 3, respectively; a 1 is the contact area of pilot chamber and supply air; a 2 is the contact area of diagram and push rod; Since the preload of spring is different under the charging or discharging process. To avoid step load change due to preload, the preload is approximated by a continuous function.
Note that the mass flow rate is controlled by the equivalent area as a function of spool displacement. Based on the mass flow rate Equation (3), the mass flow through the supply valve can be determined, where the output pressure is changed from the pilot chamber pressure P p to the brake chamber pressure P b . Using the mass flow rate Equation (4), the mass flow through the exhaust valve can be found, where the supply pressure is changed from the pilot chamber pressure P p to the brake chamber pressure P b .
Therefore, the mass flow through the output port of the proportional valve can be obtained; see Equation (16) below.
δ q m 2 = q m 3 q m 4
where δ q m 2 is the mass flow rate through the brake chamber.

2.3. Brake Chamber

When braking is activated, pressure in the brake chamber increases and moves the push rod; see Figure 3. The regulated brake chamber pressure P b is obtained based on Equation (7) with a variable volume V b . The mass flow rate can be written as Equation (17).
q m = 1 γ V b P ˙ b R T b + P b V ˙ b R T b
Considering the structure of the brake chamber with a push rod, the displacement equation of motion can be derived by Newton’s second law; see Equation (18) below.
m x ¨ b + k b ( x b + x p r e ) + b x ˙ b = ( P b P a t m ) A b
where x b is the displacement of the push rod of brake chamber; A b is the diagram area; k b is the spring stiffness of brake chamber; and x p r e is the spring preload of brake chamber.
The volume of the brake chamber due to the displacement of push rod can be expressed by Equation (19).
V b = V 01 , V 01 + A b x b , V 02 , x b < = 0 0 < x b < x b max x b = x b max
where V 01 is brake chamber initial volume; and V 02 is its maximum volume.
Neglecting the inertia effect of the brake chamber diaphragm, substituting Equations (6), (18) and (19) into Equation (17) and differentiating the resulting equation yield Equation (20). The complete nonlinear system model architecture is shown in the Figure 4, where each block is represented by the dynamic equations discussed in this section. The parameters for simulation are obtained by direct measurement and are shown in Table 1.
P ˙ b = δ q m 2 γ R T 0 P b γ 1 γ / V 01 P 0 γ 1 γ x b < = 0 δ q m 2 / ( V b P 0 γ 1 γ γ R T 0 P b γ 1 γ + A b 2 P b 1 γ P 0 γ 1 γ R T 0 k b ) 0 < x b < x b max δ q m 2 γ R T 0 P b γ 1 γ / V 02 P 0 γ 1 γ x b = x b max

3. Simulation and Experimental Validation

3.1. Experiment Setup

To experimentally validate the developed model, an air brake system test bench is constructed, consisting of an air chamber C3519VS05D, a switch valve, a pressure regulator, an air supply tank, a compact pneumatic pressure sensor PSE540, and DSpace; see Figure 5 for details.
Experiments were conducted under two different supply pressure levels, 4.5 and 5.8 bar. At the same time, the brake chamber pressure was maintained at 2, 3, and 4 bar through a proportional-integral-derivative (PID) controller. The main reason for using the closed-loop response for model validation is due to the high open-loop system gains that make maintaining an open-loop brake chamber pressure challenge.

3.2. Model Calibration Using Experimental Data

Based on the developed model, with the supply pressure levels of 4.5 and 5.8 bar and reference brake chamber pressure levels of 2, 3 and 4 bar, the PID control gains are manually tuned to optimize the step responses, and the resulting gains are fixed at K P = 0.8 , K I = 0.08 , and K D = 0.068 , respectively. To ensure that the supply and exhaust solenoid valves do not open at the same time, a hysteresis logic block is required to form a dead-zone to avoid overlapped opening of supply and exhaust valves by adjusting the PWM (pulse width modulated) duty-cycle. During the model development and system identification, the fixed step is used. This is mainly due to the switching nonlinearity of the valve system; for example, the intake ( V 1 ) and exhaust ( V 2 ) are switched based on the PID control output, which makes ode45 challenging to be used. In the simulation study, the PWM frequency is selected to be 60 Hz, and the simulations were conducted with a fixed-step of 0.001 s using the “ode4” Runge-Kutta solver in the Simulink.
Figure 6a,b compare the experimental results from the test bench (see Figure 5) and Matlab/Simulink simulation results for a pulse pressure reference, where the simulation results are in dashed-lines and experimental ones are in solid-lines. Note that for both experimental and simulation study, the brake chamber pressure is regulated by a PID controller based on the given reference pressure. It can be observed that for both supply pressure levels of 4.5 bar (see Figure 6a) and 5.8 bar (see Figure 6b), the pulse responses are very close. Note that it is vital to accurately predict the transient pressure response in the brake chamber since it is closely related to the brake force applied to the brake pad. From Figure 6a,b, the simulated system response time during the brake chamber charge process is close to the experimental one in general. The simulated system response time during the discharge process is slower than that of the experiment ones. For example, under the reference pressure of 3 bar and supply pressure of 4.5 bar, the experimental response time is 220 ms in discharging process and simulated one is 240 ms. The simulated and experimental system performances (relative error and response time) are compared in Table 2, where the maximum relative error is defined as the ratio of the absolute difference between the maximum and reference pressure to the reference pressure during the charging and discharging processes; and maximum steady-state error is the ratio of the absolute difference between the maximum and reference pressure to the reference pressure during the holding process.

4. Linearization Through System Identification

Since the developed system model is highly nonlinear with respect to control inputs and supply pressure and it is well-known that design a nonlinear controller with guaranteed performance is a challenge, a Linear Parameter-Varying (LPV) model for the system is developed so that a gain-scheduling controller can be designed for the air brake system in future. One of the approaches of developing an LPV model is to link a set of linearized system models to form a single LPV model and this method is adopted in this paper. For system linearization, q-Markov Cover (COVariance Equivalent Realization) [22] system identification approach is adopted in this paper. The main reasons for adopting the q-Markov Cover system identification approach for linearization is due to highly nonlinear characteristics of the supply and exhaust solenoid valves, where both valves operate in either on or off state. This makes conventional linearization approaches difficult to be applied. The q-Markov Cover utilizing the Pseudo-Random Binary Signal (PRBS) as the excitation. It is possible to conduct system identification using either pulse or white noise. However, for the air brake system, the pulse input may not generate a rich response for system identification purposes; and white noise cannot be realized accurately due to signal saturation, leading to system identification error. Note that PRBS can be realized exactly during system identification. The q-Markov Cover uses the pseudo-random binary signal (PRBS) as the excitation signal mainly due to its generation accuracy and the model identified is a linearized model of the target nonlinear system.
In general, there are two methods to obtain the linearized model through system identification using either simulated and experimental data. There are two reasons for using the simulation data for generating the linearized model. One is due to the long experimental time required to generate the steady-state PRBS response and the other is that system identification may operate the brake system outside its physical capability.
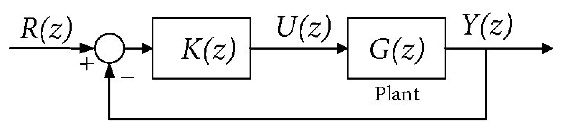
The general structure of a linear discrete-time SISO system is shown in Figure 7, where R ( z ) is the reference signal, U ( z ) is the input of plant, Y ( z ) is the output pressure of plant, K ( z ) is closed-loop controller gain, and G ( z ) is the plant transfer function.
The relationship between input and output signals, shown in Figure 7, can be expressed below in the form of closed-loop transfer function from R ( z ) to Y ( z ) .
G C L ( z ) = Y ( z ) R ( z ) = K ( z ) G ( z ) 1 + K ( z ) G ( z )
Assuming that 1 G C L ( z ) is invertible, and the plant transfer function can be expressed by
G P ( z ) = G C L ( z ) K ( z ) K ( z ) G C L ( z )
To identify the system model, the PRBS signal is added as a disturbance signal to the input signal to identify the system at the operational condition at the current input level (or air chamber pressure). The identification input is the PRBS signal added to the input reference pressure; and the output is the system output pressure (brake chamber pressure) signal minus the steady-state pressure due to input reference signal without PRBS. The PRBS signal used in this paper is based on maximum length sequences (also called m-sequence) for which the length of PRBS signal is m = 2 n 1 , where n is an integer (order of PRBS) [22], which contains m = 2 n 1 ones and m = 2 n 1 1 zeros. The PRBS signal is generated at the sample rate T p and the output pressure is sampled at the sample rate T s . With the multirate q-Markov Cover identification [25], the sample rate ratio between the PRBS signal and the output pressure is defined as follows.
n r = T p T s
Let z 1 represent the delay operator, and define p ^ ( z 1 ) and p ( z 1 ) to be polynomials defined below
p ( z 1 ) = a n z n + 1 a n 1 z n + 2 a 2 z 1 a 1
p ( z 1 ) = p ^ ( z 1 ) z 1 1
where a i is either zero or one, which can be chosen according to Table 3 and also from [28], and ⊕ obeys binary addition law. The coefficients of the irreducible polynomial with order between 1 and 34 are provided by Peterson [28]. The PRBS signal can be generated by the following equation
u ^ ( k + 1 ) = p ^ ( z 1 ) u ( k )
where k = 0 , 1 , 2 , u ^ ( 0 ) = 1 , u ^ ( 1 ) = = u ^ ( n ) = 0 . Let
s ( k ) = a ; k e v e n a ; k o d d
Then the signal
u ( k ) = s ( k ) ( a + 2 a u ^ ( k ) )
is called the inversed PRBS, where operator ⊙ obeys a a = a a = a , a a = a a = a . It’s clear that u has a period of 2 m and u ( k ) = u ( k + m ) . The length of PRBS signal for one cycle is 2 m n r .
In this paper, the notation PRBS is used to represent the inversed PRBS. Consider the discrete-time nonlinear air brake system
x ( k + 1 ) = f ( x ( k ) , w ( k ) ) y ( k ) = g ( x ( k ) , w ( k ) )
where x ( k ) , w ( k ) , y ( k ) are state, input, and output vectors, respectively. For a given input sequence { w ( 0 ) , w ( 1 ) , w ( 2 ) …}, the associated output sequence { y ( 0 ) , y ( 1 ) , y ( 2 ) …} can be obtained through simulation or experimentally. If a nonlinear system is q-identifiable, there exists the form of linear discrete-time asymptotically stable system in the following form
x ( k + 1 ) = A x ( k ) + B w ( k ) y ( k ) = C x ( k ) + D w ( k )
that is able to generate the same output sequence { y ( 0 ) , y ( 1 ) , y ( 2 ) …} for the same given input sequence { w ( 0 ) , w ( 1 ) , w ( 2 ) …}.
In this paper, a 10th order PRBS signal u ( k ) with magnitude of a = 0.4 or 0.6 is used to generate the output sequence y ( k ) . Note that PRBS order is related to the lowest frequency of the signal covered, and at order 10, the lowest frequency covered is about 0.008 Hz when the PRBS sample period is chosen to be 0.12 s; and the PRBS magnitude is selected to maximize the signal to noise ratio. After the system response is generated, the PRBS input and output sequences are fed into the PRBS system identification GUI (graphic user interface) [22]. Within the PRBS GUI, the identified model order and parameter q (number of Markov parameters) can be tuned to optimize the identified model accuracy and a closed-loop linear system model can be obtained in the state-space form in term of discrete-time system matrices A, B, C, and D. The parameters used for system identification are shown in the Table 4.
The discrete-time state-space model is transferred into the continuous-time one and then into a continuous-time transfer function for the air brake system with 5.8 bar supply pressure and 2 bar reference pressure; see Equation (30) below.
G C L ( s ) = 1.3 s + 249.1 s 2 + 6.75 s + 250
Using Equation (22), a second order system plant model can be generated below:
G P ( s ) = 1.6 s + 311.38 s 2 + 8 s + 0.9
In Figure 8, the responses of the nonlinear model with proportional gain 0.8 and the second-order linear system model are compared. One can see that the linear system model is a non-minimal phase with one zero at 194.6 on the complex plan, leading to an overshoot in the system response for an over-damped system. This is mainly caused by the time delay in the nonlinear air brake system since the time delay is often approximated by a non-minimal phase transfer function through system identification.
Fast Fourier transform (FFT) method is adopted for comparing simulation results between the nonlinear plant and identified linear models. The time domain data (input and output) is converted into the frequency domain using the Fast Fourier transform (FFT), where a constant input signal is applied to the nonlinear model and identified linear model to find the time domain outputs with a sample period of 0.01s. Due to that the high gain of the plant system, it’s very difficult to simulate the plant system. So the closed-loop system models are used for comparison afterward. FFT is applied to both plant input (generated by the P controller) and plant output (brake chamber pressure) with a reference pressure of 2 bar. The nonlinear system frequency response (dashed-line in Figure 9) is obtained by dividing the output FFT by the input FFT pointwise. The solid-line in Figure 9 is the Bode plot of the identified plant transfer function. It can be seen that they are very close, indicating that the model identified is accurate.
Note that the form of system transfer function does not change as a function of brake chamber pressure but its coefficients do. The following transfer function formula of the closed-loop and plant system are used; see Equation (32), Equation (33) below, respectively.
G C L ( s ) = α 1 s + α 2 s 2 + α 3 s + α 4
G P ( s ) = β 1 s + β 2 s 2 + β 3 s + β 4
And the coefficients are shown in Table 5 and Table 6, respectively.
From the data in Table 6, a trend can be found, which is β 1 0.2 β 3 , β 2 34.4 β 3 . So the formula of the plant system transfer function is simplified as below; see Equation (34).
G P ( s ) = 0.2 θ 1 s + 34.4 θ 1 s 2 + θ 1 s + θ 2
And the simplified results are also shown in Table 6. The comparison results between original linear data in Table 6 and simplified linear data in Table 6 are shown in Figure 10. It is observed that the simplified results are extremely close to the original linear results.

5. LPV State-Space Model Construction

In this section, the identified linear models are linked into one LPV model with the reference pressure as the varying parameters. Through the analysis of the linear models above, the plant transfer function under different reference pressure levels are obtained in Table 5. The LPV control design will be the future work based on the identified LPV model. For the LPV model, the state-space model is constructed in the following form.
x ˙ ( t ) = A ( θ ) x ( t ) + B ( θ ) u ( t ) y ( t ) = C ( θ ) x ( t )
where θ = θ 1 , θ 2 T is a varying parameter vector. The LPV system model matrices are
A = 0 0 1 0 1 0 0 0 θ 1 0 1 0 0 θ 2 B = 1 0 T , C = 0.2 34.4 θ 1
The scheduling parameters ( θ 1 , θ 2 ) are a function of brake chamber pressure defined in Table 6. To validate the LPV model, the comparison results beween LPV model and nonlinear model with proportional gain 0.8, 0.35, 0.4 under different reference pressure are shown in Figure 11. It is observed clearly that the LPV model is close to the nonlinear model.

6. LQR Controller Design

In this section, an infinite-horizon LQR (Linear Quadratic Regulator) controller is designed based on the identified LPV model with fixed parameter.

6.1. LQR Controller

Consider the linear continuous time-invariant system, obtained by fixing the scheduling parameter vector θ , in the form of
x ˙ ( t ) = A x ( t ) + B u ( t ) y ( t ) = C x ( t )
where x R n is the state vector; u R m the control vector; A the system matrix, B the input matrix, C is the output matrix.
The LQR control law u ( t ) minimizes the following performance cost function Equation (38).
J = 1 2 0 [ x T ( t ) Q x ( t ) + u T ( t ) R u ( t ) ] d t
where Q = Q T 0 is the state weighting matrix and R = R T > 0 is the control weighting matrix.
To obtain the optimal feedback gain matrix, the matrix Riccati Equation (39) is solved.
P A + A T P P B R 1 B T P + Q = 0
The optimal control gain can be obtained using Equation (40).
u ( t ) = K x ( t ) K = R 1 B T P

6.2. Simulation Results

By tuning both Q and R matrices in Equation (38), the optimal control performance can be achieved based on the developed LPV model. With the feedback gain matrix K, comparing simulation results of the LQR and PID control using the developed LPV model under different reference pressure levels are shown in Figure 12. It can be observed that the performance of the LQR controller is better than that of PID controller in terms of response time and overshoot/undershoot.

7. Conclusions

This paper presents a nonlinear model, linearized models under different brake chamber pressure, and a Linear Parameter-Varying (LPV) model for commercial vehicle air brake systems. Each component of the brake system is modeled accurately according to Newton’s second law and orifice flow equation for the nonlinear model. Using the system identification method, pseudo-random binary signal q-Markov Cover, a set of linearized models is obtained, and this set of linear models is linked into a single LPV model with two varying parameters. The developed nonlinear, linear, and LPV models are validated using the experimental data under different supply and reservoir pressure levels and it is concluded that the developed LPV model can be used for model-based control design such as model predictive control and LPV gain-scheduling controller. An infinite-horizon LQR (Linear Quadratic Regulation) controller is designed for the air brake system based on the developed LPV model. It is found that the performance of the LQR closed-loop system is better than that of the PID controller.

Author Contributions

D.H. mainly contributed by the formulization, simulation and wrote the original draft; G.L. mainly contributed by funding acquisition; G.Z. mainly contributed by the main idea, overall technical suggestions and the writing—review and editing; Z.L. contributed by the experiment data gathering; Y.W. mainly contributed by the linearization debugging. All authors have read and agreed to the published version of the manuscript.

Funding

This work is partly supported by the Research Fund for the Doctoral Program of Higher Education of China (No. 20130142110004) and China Postdoctoral Science Foundation (No. 2018M642937).

Conflicts of Interest

The authors declare no conflict of interest.

References

  1. National Transportation Safety Board. Special investigation report-highway vehicle and infrastructure-based technology for the prevention of rear-end collisions. In NTSB Number SIR-OI/(ll; NTSB: Washington, DC, USA, 2001. [Google Scholar]
  2. Young, M.S.; Stanton, N.A. Back to the future: Brake reaction times for manual and automated vehicles. Ergonomics 2007, 50, 46–58. [Google Scholar] [CrossRef]
  3. Limpert, R. Brake Design and Safety; SAE: Pennsylvania, PA, USA, 2011. [Google Scholar]
  4. Breuer, B.; Bill, K. Brake Technology Handbook; SAE: Pennsylvania, PA, USA, 2008. [Google Scholar]
  5. Lee, S.D.; Kim, S.L. Characterization and development of the ideal pedal force, pedal travel, and response time in the brake system for the translation of the voice of the customer to engineering specifications. Proc. Inst. Mech. Eng. Part D J. Automob. Eng. 2010, 224, 1433–1450. [Google Scholar] [CrossRef]
  6. Subramanian, S.C.; Darbha, S.; Rajagopal, K. A diagnostic system for air brakes in commercial vehicles. IEEE Trans. Intell. Transp. Syst. 2006, 7, 360–376. [Google Scholar] [CrossRef]
  7. Acarman, T.; Ozguner, U.; Hatipoglu, C.; Igusky, A.M. Pneumatic Brake System Modeling for Systems Analysis; Technical Report; SAE: Pennsylvania, PA, USA, 2000. [Google Scholar]
  8. Zamzamzadeh, M.; Saifizul, A.; Ramli, R.; Soong, M. Dynamic simulation of brake pedal force effect on heavy vehicle braking distance under wet road conditions. Int. J. Automot. Mech. Eng. 2016, 13, 3555–3563. [Google Scholar] [CrossRef]
  9. Rahman, A.; Amsyar, M.; Ihsan, S.; Mohiuddin, A. Electro-hydro-mechanical Braking System for Passenger Vehicle. J. Appl. Sci. 2018, 18, 56–64. [Google Scholar] [CrossRef]
  10. Patil, J.N.; Palanivelu, S.; Aswar, V.; Sharma, V. Mathematical Model to Evaluate and Optimize the Dynamic Performance of Pneumatic Brake System; Technical Report; SAE: Pennsylvania, PA, USA, 2015. [Google Scholar]
  11. Ho, H.P. The Influence of Braking System Component Design Parameters on Pedal Force and Displacement Characteristics. Simulation of a Passenger Car Brake System, Focusing on the Prediction of Brake Pedal Force and Displacement Based on the System Components and Their Design Characteristics. Ph.D. Thesis, University of Bradford, Bradford, UK, 2015. [Google Scholar]
  12. Wang, Z.; Zhou, X.; Yang, C.; Chen, Z.; Wu, X. An experimental study on hysteresis characteristics of a pneumatic braking system for a multi-axle heavy vehicle in emergency braking situations. Appl. Sci. 2017, 7, 799. [Google Scholar] [CrossRef]
  13. Aparow, V.R.; Ahmad, F.; Hudha, K.; Jamaluddin, H. Modelling and PID control of antilock braking system with wheel slip reduction to improve braking performance. Int. J. Veh. Saf. 2013, 6, 265–296. [Google Scholar] [CrossRef]
  14. Zong, C.F.; Wan, Y.; Zhao, W.Q.; Zhang, B.Y.; Han, Z.T. Development of simulation platform and hysteresis control strategy of pneumatic electronic braking system for commercial vehicles. J. Jilin Univ. 2016, 46, 711–717. [Google Scholar]
  15. Matsumi, R.; Raksincharoensak, P.; Nagai, M. Autonomous Braking Control System for Pedestrian Collision Avoidance by Using Potential Field. IFAC Proc. Vol. 2013, 46, 328–334. [Google Scholar] [CrossRef]
  16. Palkovics, L.; Fries, A. Intelligent electronic systems in commercial vehicles for enhanced traffic safety. Veh. Syst. Dyn. 2001, 35, 227–289. [Google Scholar] [CrossRef]
  17. Gautam, V.; Rajaram, V.; Subramanian, S.C. Model-based braking control of a heavy commercial road vehicle equipped with an electropneumatic brake system. Proc. Inst. Mech. Eng. Part D J. Automob. Eng. 2017, 231, 1693–1708. [Google Scholar] [CrossRef]
  18. Poursamad, A. Adaptive feedback linearization control of antilock braking systems using neural networks. Mechatronics 2009, 19, 767–773. [Google Scholar] [CrossRef]
  19. Tanelli, M.; Astolfi, A.; Savaresi, S.M. Robust nonlinear output feedback control for brake by wire control systems. Automatica 2008, 44, 1078–1087. [Google Scholar] [CrossRef]
  20. Castillo, J.J.; Cabrera, J.A.; Guerra, A.J.; Simón, A. A novel electrohydraulic brake system with tire—Road friction estimation and continuous brake pressure control. IEEE Trans. Ind. Electron. 2016, 63, 1863–1875. [Google Scholar] [CrossRef]
  21. Heilig, J.; Wauer, J. Stability of a nonlinear brake system at high operating speeds. Nonlinear Dyn. 2003, 34, 235–247. [Google Scholar] [CrossRef]
  22. Zhu, G.G.; Skelton, R.E.; Li, P. Q-Markov Cover identification using pseudo-random binary signals. Int. J. Control 1995, 62, 1273–1290. [Google Scholar] [CrossRef]
  23. Ren, Z.; Zhu, G.G. Integrated system ID and control design for an IC engine variable valve timing system. J. Dyn. Syst. Meas. Control. 2011, 133, 021012. [Google Scholar] [CrossRef]
  24. Caccavale, P.F.; Iamarino, M. Model-Based Control; Springer: Berlin, Germany, 2011. [Google Scholar]
  25. Zhu, G.G. Weighted multirate q-Markov Cover identification using PRBS–an application to engine systems. Math. Probl. Eng. 2000, 6, 201–224. [Google Scholar] [CrossRef]
  26. Al-Jiboory, A.K.; Zhu, G.; Swei, S.S.M.; Su, W.; Nguyen, N.T. LPV modeling of a flexible wing aircraft using modal alignment and adaptive gridding methods. Aerosp. Sci. Technol. 2017, 66, 92–102. [Google Scholar] [CrossRef] [PubMed]
  27. Parr, A. Hydraulics and Pneumatics; Butterworth-Heinemann: Oxford, UK, 2011. [Google Scholar]
  28. Peterson, W.W.; Peterson, W.; Weldon, E.; Weldon, E. Error-Correcting Codes; MIT Press: Cambridge, MA, USA, 1972. [Google Scholar]
Figure 1. Pneumatic brake system scheme.
Figure 1. Pneumatic brake system scheme.
Applsci 10 04589 g001
Figure 2. Sectional view of proportional valve.
Figure 2. Sectional view of proportional valve.
Applsci 10 04589 g002
Figure 3. The sketch of brake chamber.
Figure 3. The sketch of brake chamber.
Applsci 10 04589 g003
Figure 4. Model block diagram.
Figure 4. Model block diagram.
Applsci 10 04589 g004
Figure 5. Experiment setup. (a) Experiment schematic, (b) Test bench.
Figure 5. Experiment setup. (a) Experiment schematic, (b) Test bench.
Applsci 10 04589 g005
Figure 6. Comparing between experimental and simulation results under different reference pressure levels with 4.5/5.8 bar supply pressure. (a) Comparison results with 4.5 bar supply pressure, (b) Comparison results with 5.8 bar supply pressure.
Figure 6. Comparing between experimental and simulation results under different reference pressure levels with 4.5/5.8 bar supply pressure. (a) Comparison results with 4.5 bar supply pressure, (b) Comparison results with 5.8 bar supply pressure.
Applsci 10 04589 g006
Figure 7. System identification framework.
Figure 7. System identification framework.
Applsci 10 04589 g007
Figure 8. Comparison between the nonlinear and linear models.
Figure 8. Comparison between the nonlinear and linear models.
Applsci 10 04589 g008
Figure 9. Bode plot of the plant model at 2 bar.
Figure 9. Bode plot of the plant model at 2 bar.
Applsci 10 04589 g009
Figure 10. Comparison results between original linear model and simplified linear model.
Figure 10. Comparison results between original linear model and simplified linear model.
Applsci 10 04589 g010
Figure 11. Comparison results between the Linear Parameter-Varying (LPV) model and nonlinear model.
Figure 11. Comparison results between the Linear Parameter-Varying (LPV) model and nonlinear model.
Applsci 10 04589 g011
Figure 12. Comparison results between LPV model and nonlinear model.
Figure 12. Comparison results between LPV model and nonlinear model.
Applsci 10 04589 g012
Table 1. Parameters for simulation.
Table 1. Parameters for simulation.
TitleValueTitleValue
τ 0.005 k 3 /N/m2955
C d 0.82 f 20 /N10.2
γ 1.4 f 30 /N7.8
R287 a 1 /m 2 1.96 × 10 3
T 0 /K298 a 2 /m 2 1.96 × 10 7
V 0 /m 3 1.5 × 10 6 k b /N/m15,000
A p /m 2 2 × 10 4 x p r e /m0.0057
k 1 /N/m2637 A b /m 2 0.0132
k 2 /N/m2955
Table 2. Comparison of experimental and simulation results under different reference pressure.
Table 2. Comparison of experimental and simulation results under different reference pressure.
Reference Pressure/BarSupply Pressure/barMaximum Relative ErrorMaximum Steady State ErrorResponse Time under Simulation/Experiment in Charge Process/msResponse Time under Simulation/Experiment in Discharge Process/ms
25.815%5.6%302/293223/215
35.813%3.3%324/306240/220
45.811.5%2.4%359/330290/265
Table 3. Coefficients for m-sequences.
Table 3. Coefficients for m-sequences.
Order of Polynomia nPeriod of Sequence mNon-Zero Coefficients a i
23 a 1 , a 2
37 a 2 , a 3
415 a 3 , a 4
531 a 3 , a 5
663 a 5 , a 6
7127 a 4 , a 7
8255 a 2 , a 3 , a 4 , a 8
9511 a 5 , a 9
101023 a 7 , a 10
Table 4. Parameters for Pseudo-Random Binary Signal (PRBS) system identification.
Table 4. Parameters for Pseudo-Random Binary Signal (PRBS) system identification.
Reference Pressure2 Bar3 Bar4 Bar
Supply Pressure5.8 Bar5.8 Bar5.8 Bar
Gain K0.80.350.4
PRBS magnitude0.40.60.4
Input sample rate (s)0.120.120.12
Output sample rate (s)0.010.010.01
Input/output sample ratio121212
Markov parameter202523
ID open-loop model order222
Table 5. The closed-loop system transfer function coefficients under different reference pressure levels.
Table 5. The closed-loop system transfer function coefficients under different reference pressure levels.
Reference Pressure/Bar α 1 α 2 α 3 α 4
2−1.3249.16.75250
3−0.62108.58.58108.6
4−0.94123.89.15123.8
Table 6. The plant system transfer function coefficients under different reference pressure levels.
Table 6. The plant system transfer function coefficients under different reference pressure levels.
Reference Pressure/Bar β 1 β 2 β 3 = θ 1 β 4 = θ 2
2−1.6311.3880.9
3−1.77310.19.20.1
4−2.34309.5100

Share and Cite

MDPI and ACS Style

Hu, D.; Li, G.; Zhu, G.; Liu, Z.; Wang, Y. A Control-Oriented Linear Parameter-Varying Model of a Commercial Vehicle Air Brake System. Appl. Sci. 2020, 10, 4589. https://doi.org/10.3390/app10134589

AMA Style

Hu D, Li G, Zhu G, Liu Z, Wang Y. A Control-Oriented Linear Parameter-Varying Model of a Commercial Vehicle Air Brake System. Applied Sciences. 2020; 10(13):4589. https://doi.org/10.3390/app10134589

Chicago/Turabian Style

Hu, Dawei, Gangyan Li, Guoming Zhu, Zihao Liu, and Yingxu Wang. 2020. "A Control-Oriented Linear Parameter-Varying Model of a Commercial Vehicle Air Brake System" Applied Sciences 10, no. 13: 4589. https://doi.org/10.3390/app10134589

APA Style

Hu, D., Li, G., Zhu, G., Liu, Z., & Wang, Y. (2020). A Control-Oriented Linear Parameter-Varying Model of a Commercial Vehicle Air Brake System. Applied Sciences, 10(13), 4589. https://doi.org/10.3390/app10134589

Note that from the first issue of 2016, this journal uses article numbers instead of page numbers. See further details here.

Article Metrics

Back to TopTop