Integrating Amendment and Liquid Fertilizer for Aided-Phytostabilization and Its Impacts on Soil Microbiological Properties in Arsenic-Contaminated Soil
Abstract
1. Introduction
2. Materials and Methods
2.1. Experimental Set-Up
2.2. Soil, Amendments, Liquid Fertilizer Characteristics
2.3. Soil Microbial and Enzyme Activity for Biological Assessment
2.4. Statistical Analysis
3. Results and Discussion
3.1. Basic Properties of Soil, Amendments and Liquid Fertilizer
3.2. Effects of Treatments on the Soil Characteristics
3.3. Early Root Growth of Hairy Vetch
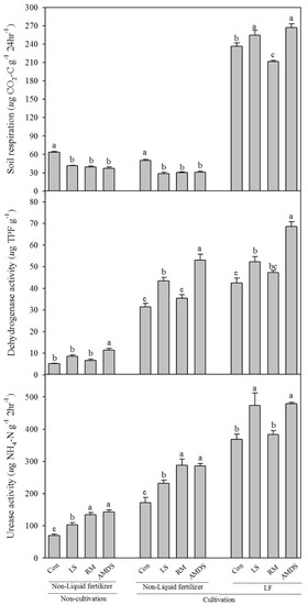
3.4. Effects of Hairy Vetch Cultivation and Amendment Types on Soil Microbial and Enzyme Activity
3.5. Impact of Changed Soil Characteristics on Soil Microbial and Enzyme Activity
4. Conclusions
Author Contributions
Funding
Conflicts of Interest
References
- Yoon, Y.M.; Lee, S.E.; Chung, D.Y.; Cho, G.Y.; Kim, J.D.; Kim, C.H. The analysis of environmental loads and material recycling of the nutrients by the livestock wastewater originating from imported feeds. J. Kor. Grassl. Forage. Sci. 2008, 28, 139–154. [Google Scholar]
- Hasse, M.; Rösch, C.; Ulrici, O. Feasibility study on the processing of surplus livestock manure into an organic fertilizer by thermal concentration–the case study of Les Plenesses in Wallonia. J. Clean. Prod. 2017, 161, 896–907. [Google Scholar] [CrossRef]
- Shin, D.W.; Joo, H.S.; Seo, E.; Kim, C.Y. Management Strategies to Reduce PM-2.5 emission: Emphasis-Ammonia; Korea Environment Institute: Sejong City, Korea, 2017. [Google Scholar]
- Svanbäck, A.; McCrackin, M.L.; Swaney, D.P.; Linefur, H.; Gustafsson, B.G.; Howarth, R.W.; Humborg, C. Reducing agricultural nutrient surpluses in a large catchment–links to livestock density. Sci. Total Environ. 2019, 648, 1549–1559. [Google Scholar] [CrossRef] [PubMed]
- Kim, M.S.; Lee, S.H.; Kim, J.G. Assessment of fraction and mobility of arsenic in soil near the mine waste dam. Sustainability 2020, 12, 1480. [Google Scholar] [CrossRef]
- Zheng, J.; Chen, K.H.; Yan, X.; Chen, S.J.; Hu, G.C.; Peng, X.W.; Yuan, J.G.; Mai, B.X.; Yang, Z.Y. Heavy metals in food, house dust, and water from an e-waste recycling area in South China and the potential risk to human health. Ecotox. Environ. Safe. 2013, 96, 205–212. [Google Scholar] [CrossRef]
- Zhuang, P.; Lu, H.; Li, Z.; Zou, B. McBride, M.B. Multiple exposure and effects assessment of heavy metals in the population near mining area in South China. PLoS ONE 2014, 9, e94484. [Google Scholar] [CrossRef]
- Lee, S.H.; Kim, E.Y.; Park, H.; Yun, J.; Kim, J.G. In situ stabilization of arsenic and metal-contaminated agricultural soil using industrial by-products. Geoderma 2011, 161, 1–7. [Google Scholar] [CrossRef]
- Wong, M.H. Ecological restoration of mine degraded soils, with emphasis on metal contaminated soils. Chemosphere 2003, 50, 775–780. [Google Scholar] [CrossRef]
- Pourmohammadi, H.; Rahimi, M.; Dessouky, M. Sustainable reverse logistic for distribution of industrial waste/byproducts: A joint optimization of operation and environmental cost. Supply Chain Forum Int. J. 2008, 9, 2–17. [Google Scholar] [CrossRef]
- Chiang, P.N.; Tong, O.Y.; Chiou, C.S.; Lin, Y.A.; Wang, M.K. Reclamation of zinc-contaminated soil using a dissolved organic carbon solution prepared using liquid fertilizer from food-waste composting. J. Hazard. Mater. 2016, 301, 100–105. [Google Scholar] [CrossRef]
- Kaimi, E.; Mukaidani, T.; Miyoshi, S.; Tamaki, M. Ryegrass enhancement of biodegradation in diesel-contaminated soil. Environ. Exp. Bot. 2006, 55, 110–119. [Google Scholar] [CrossRef]
- Zhang, X.J.; Yang, S.X.; Duan, C.; Liu, F.; Li, F.M. Amelioration of lead-zinc tailings by spent mushroom compost: Effects on growth of Lolium perenne L. and physico-chemical properties of tailings. J. Agro. Environ. Sci. 2014, 33, 526–531. [Google Scholar]
- ISO. Soil Quality–Extraction of Trace Element Soluble in Aqua Regia; ISO 11466; International Organization for Standardization: Geneva, Switzerland, 1995. [Google Scholar]
- Esnaola, M.V.; Millán, E. Evaluation of heavy metal lability in polluted soils by a cation exchange bath procedure. Environ. Pollut. 1998, 99, 79–86. [Google Scholar] [CrossRef]
- Cao, X.; Ma, L.Q.; Shiralipour, A. Effects of compost and phosphate amendments on arsenic mobility in soils and arsenic uptake by the hyperaccumulator, Pteris vittata L. Environ. Pollut. 2003, 126, 157–167. [Google Scholar] [CrossRef]
- National Institute of Agricultural Science and Technology. Method of Soil and Plant Analysis; Rural Development Administration: Suwon, Korea, 2000. [Google Scholar]
- Jäggi, W. Estimation of soil respiration with closed bottles. In Method in Applied Soil Microbiology and Biochemistry; Academic Press: London, UK, 1976; pp. 216–217. [Google Scholar]
- Friedel, J.K.; Mölter, K.; Fischer, W.R. Comparisonand improvement of methods for determining soil dehydrogenase activity by using triphenyltetrazolium chloride and iodonitrotetrazolium chloride. Biol. Fert. Soil. 1994, 18, 291–296. [Google Scholar] [CrossRef]
- Kandeler, E.; Gerber, H. Short-term assay of soil urease activity using colormetric determination of ammonium. Biol. Fert. Soil. 1988, 6, 68–72. [Google Scholar] [CrossRef]
- Gale, E.S.; Sullivan, D.M.; Cogger, G.G.; Bary, A.I.; Hemphill, D.D.; Myhre, E.A. Estimating plant available nitrogen release from manures, composts, and specialty products. J. Environ. Qual. 2006, 35, 2321–2332. [Google Scholar] [CrossRef]
- Gray, C.W.; Dunham, S.J.; Dennis, P.G.; Zhao, F.J.; McGrath, S.P. Field evaluation of in situ remediation of a heavy metal contaminated soil using lime and red-mud. Environ. Pollut. 2006, 142, 530–539. [Google Scholar] [CrossRef]
- Oste, L.A.; Temminghoff, E.J.M.; Riemsdifk, W.H.V. Soild-solution partitioning of organic matter in soils as influenced by an increase in pH or Ca concentration. Environ. Sci. Technol. 2002, 36, 208–214. [Google Scholar] [CrossRef]
- Kim, K.R.; Owens, G.; Naidu, R. Heavy metal distribution, bioaccessibility and phytoavailability in long-term contaminated soils from Lake Macquarie, Australia. Aust. J. Soil Res. 2009, 47, 166–176. [Google Scholar] [CrossRef]
- Khalid, S.; Shahid, M.; Niazi, N.K.; Rafiq, M.; Bakhat, H.F.; Imran, M.; Abbas, T.; Bibi, I.; Dumat, C. Arsenic behavior in soil-plant system: Biogeochemical reactions and chemical speciation influences. In Enhancing Cleanup of Environmental Pollutants; Springer: Cham, Switzerland, 2017; pp. 97–140. [Google Scholar]
- Lee, H.K.; Kim, D.H.; Kim, J.S.; Ji, M.K.; Han, Y.S.; Park, Y.T.; Yun, H.S.; Choi, J. As(III) and As(V) removal from the aqueous phase via adsorption onto acid mine drainage sludge (AMDS) alginate beads and goethite alginate beads. J. Hazard. Mater. 2015, 292, 146–154. [Google Scholar] [CrossRef] [PubMed]
- Ko, M.S.; Kim, J.Y.; Park, H.S.; Kim, K.W. Field assessment of arsenic immobilization in soil amended with iron rich acid mine drainage sludge. J. Clean. Product. 2015, 108, 1073–1080. [Google Scholar] [CrossRef]
- Kim, M.S.; Min, H.G.; Lee, S.H.; Kim, J.G. The effects of various amendments on trace element stabilization in acidic, neutral and alkali soil with similar pollution index. PLoS ONE 2016, 11, e0166335. [Google Scholar] [CrossRef] [PubMed]
- Marques, D.M.; Júnior, V.V.; da Silva, A.B.; Mantovani, J.R.; Magalhães, P.C.; de Souza, T.C. Copper toxicity on photosynthetic responses and root morphology of Hymenaea courbaril L. (Caesalpinioideae). Water Air Soil Pollut. 2018, 229, 138. [Google Scholar] [CrossRef]
- Fitter, A.H. Effects of nutrient supply and competition from other species on root growth of Lolium perenne in soil. Plant. Soil 1976, 45, 177–189. [Google Scholar] [CrossRef]
- Ryser, P. The mysterious root length. Plant. Soil 2006, 286, 1–6. [Google Scholar] [CrossRef]
- Brunner, I.; Luster, J.; Günthardt-Goerg, M.S.; Frey, B. Heavy metal accumulation and phytostabilisation potential of tree fine roots in a contaminated soil. Environ. Pollut. 2008, 152, 559–568. [Google Scholar] [CrossRef]
- Lee, S.H.; Lee, J.S.; Choi, Y.J.; Kim, J.G. In situ stabilization of cadmium-, lead-, and zinc-contaminated soil using various amendments. Chemosphere 2009, 77, 1069–1075. [Google Scholar] [CrossRef]
- Kieft, T.L.; Rosacker, L.L. Application of respiration- and adenylate-based soil microbiological assays to deep subsurface terrestrial sediments. Soil Biol. Biochem. 1991, 23, 563–568. [Google Scholar] [CrossRef]
- Lim, S.M.; Lee, J.H.; Go, W.R.; Kunhikrishnan, A.; Kim, W.I. Monitoring of microorganisms in commercial liquid pig manures in Korea. Kor. J. Soil Sci. Fert. 2011, 44, 1181–1184. [Google Scholar] [CrossRef][Green Version]
- Klose, S.; Tabatabai, M.A. Urease activity of microbial biomass in soils as affected by cropping systems. Biol. Fert. Soil. 2000, 31, 191–199. [Google Scholar] [CrossRef]
- Chaperon, S.; Sauvé, S. Toxicity interaction of metals (Ag, Cu, Hg, Zn) to urease and dehydrogenase activities in soils. Soil Biol. Biochem. 2007, 39, 2329–2338. [Google Scholar] [CrossRef]
- Krżyzak, J.; Plaza, G.; Margesin, R.; Wasilkowski, D.; Mrozik, A. Microbial parameters as bioindicators of soil quality during aided phytostabilization of metal contaminated soil. Environ. Engineer. Manag. J. 2012, 11, 1775–1782. [Google Scholar]
- Son, K.H.; Kim, D.Y.; Koo, N.; Kim, K.R.; Kim, J.G.; Owens, G. Detoxification through phytochelatin synthesis in Oenothera odorata exposed to Cd solution. Environ. Exp. Bot. 2012, 75, 9–15. [Google Scholar] [CrossRef]
- Pérez-Palacios, P.; Romero-Aguilar, A.; Delgadillo, J.; Doukkali, B.; Caviedes, M.A.; Rodríguez-Llorente, I.D.; Pajuelo, E. Double genetically modified symbiotic system for improved Cu phytostabilization in legume roots. Environ. Sci. Pollut. Res. 2017, 24, 14910–14923. [Google Scholar] [CrossRef] [PubMed]
- Wang, A.S.; Angle, J.S.; Chaney, R.L.; Delorme, T.A.; Mclntosh, M. Changes in soil biological activities under reduced soil pH during Thlaspi caerulescens phytoextraction. Soil Biol. Biochem. 2006, 38, 1451–1461. [Google Scholar] [CrossRef]
- Geng, Y.; Wang, Y.; Yang, K.; Wang, S.; Zeng, H.; Baumann, F.; Kuehn, P.; Scholten, T.; He, J.S. Soil respiration on Tibetan alpine grasslands: Belowground biomass and soil moisture, but not soil temperature, best explain the large-scale patterns. PLoS ONE 2012, 7, e34968. [Google Scholar] [CrossRef] [PubMed]
- Sawamoto, T.; Hatano, R.; Yajima, T.; Takahashi, K.; Isaev, A.P. Soil respiration in Siberian taiga ecosystems with different histories of forest fire. Soil Sci. Plant. Nutr. 2000, 46, 31–42. [Google Scholar] [CrossRef]
- Lai, L.; Zhao, X.; Jiang, L.; Wang, Y.; Luo, L.; Zheng, Y.; Chen, X.; Rimmington, G.M. Soil respiration in different agricultural and natural ecosystems in an arid region. PLoS ONE 2012, 7, e48011. [Google Scholar] [CrossRef]
- Rao, D.L.N.; Chai, S.K. Urease and dehydrogenase activity of alkali and reclaimed soil. Aust. J. Soil Res. 1985, 23, 661–665. [Google Scholar] [CrossRef]
- Ghosh, A.K.; Bhattacharyya, P.; Pal, R. Effect of arsenic contamination on microbial biomass and its activities in arsenic contaminated soils of Gangetic West Bengal, India. Environ. Int. 2004, 30, 491–499. [Google Scholar] [CrossRef] [PubMed]
- Gratão, P.L.; Polle, A.; Lea, P.J.; Azevedo, R.A. Making the life of heavy metal–stressed plants a little easier. Funct. Plant. Biol. 2005, 32, 481–494. [Google Scholar] [CrossRef]
- Li, Y.; Zhang, F.; Ai, X.; Wang, X.; Robin, P.; Cavanagh, J.; Matthew, C.; Qiu, J. Antioxidant and bdhavior responses of earthworms after introduction to a stimulated vermifilter environment. Ecol. Envineer. 2015, 81, 218–227. [Google Scholar] [CrossRef]
- Coskun, D.; Britto, D.T.; Shi, W.; Kronzucker, H.J. How Plant Root Exudates Shape the Nitrogen Cycle. Trends Plant. Sci. 2017, 22, 661–673. [Google Scholar]
- Kang, T.W.; Halder, J.N.; Kim, S.R.; Yoon, Y.M.; Lee, M.G. Nutrient composition and heavy metal contents of matured livestock liquid fertilizer in Korea. J. Kor. Org. Resour. Recyc. Assoc. 2017, 25, 31–39. [Google Scholar]
- Yu, K.W.; Gao, W.Y.; Hahn, E.J.; Paek, K.Y. Effects of macro elements and nitrogen source on adventitious root growth and ginsenoside production in ginseng (Panax ginseng C.A. Meyer). J. Plant. Biol. 2001, 44, 179–184. [Google Scholar] [CrossRef]
- Rogers, J.E.; Li, S.W. Effect of metals and other inorganic ions on soil microbial activity: Soil dehydrogenase assay as a simple toxicity test. Bullet. Environ. Contam. Toxicol. 1985, 34, 858–865. [Google Scholar] [CrossRef]
- Li, X.Z.; Zhao, Q.L. Inhibition of microbial activity of activated sludge by ammonia in leachate. Environ. Int. 1999, 25, 961–968. [Google Scholar] [CrossRef]
- Anghinoni, I.; Magalhãs, J.R.; Barber, S.A. Enzyme activity, nitrogen uptake and corn growth as affected by ammonium concentration in soil solution. J. Plant. Nutr. 2008, 11, 131–144. [Google Scholar] [CrossRef]
- Liu, R.; Dai, Y.; Sun, L. Effect of rhizosphere enzymes on phytoremediation in PAH-contaminated soil using five plant species. PLoS ONE 2015, 10, e0120369. [Google Scholar] [CrossRef]


| Treatment Group | Week | ||||||||
|---|---|---|---|---|---|---|---|---|---|
| 1 | 2 | 3 | 4 | 5 | 6 | 7 | 8 | 9 | |
| Non-cultivation/ Non-Liquid fertilizer | Soil Amendment 1 | ||||||||
| Cultivation/ Non-Liquid fertilizer | Soil Amendment | ||||||||
| Cultivation 3 |  |  |  | ||||||
| Cultivation/ Liquid fertilizer | Soil Amendment | ||||||||
| Liquid fertilizer 2 | Cultivation 3 |  |  |  | |||||
| Treatment Group | pH | EC 1 | DOC 2 | NH4-N 3 | NO3-N 3 | Ex-As 4 | ||
|---|---|---|---|---|---|---|---|---|
| Non-cultivation 5 | Non-LF 6 | Con 7 | 8.32 ± 0.01 | 0.22 ± 0.00 | 234 ± 0.64 | 6.8 ± 0.32 | 7.0 ± 0.16 | 8.2 ± 0.11 | 
| LS | 8.35 ± 0.02 | 0.29 ± 0.01 | 193 ± 0.75 | 9.6 ± 0.23 | 11.9 ± 0.51 | 7.8 ± 0.05 | ||
| RM | 9.02 ± 0.04 | 0.31 ± 0.01 | 416 ± 5.52 | 11.9 ± 0.25 | 12.8 ± 0.48 | 7.7 ± 0.16 | ||
| AMDS | 8.25 ± 0.07 | 0.36 ± 0.01 | 138 ± 1.91 | 12.0 ± 0.16 | 14.1 ± 0.15 | 1.0 ± 0.09 | ||
| Cultivation | Non-LF | Con | 8.24 ± 0.03 | 0.16 ± 0.00 | 187 ± 3.78 | 10.3 ± 0.47 | 7.8 ± 0.35 | 8.2 ± 0.28 | 
| LS | 8.39 ± 0.02 | 0.18 ± 0.00 | 179 ± 1.30 | 9.5 ± 0.22 | 7.2 ± 0.24 | 7.6 ± 0.15 | ||
| RM | 8.91 ± 0.03 | 0.29 ± 0.00 | 337 ± 4.91 | 9.7 ± 0.43 | 11.7 ± 0.52 | 7.1 ± 0.14 | ||
| AMDS | 8.21 ± 0.02 | 0.25 ± 0.00 | 125 ± 5.17 | 8.0 ± 0.49 | 7.2 ± 0.34 | 0.9 ± 0.04 | ||
| LF | Con | 8.22 ± 0.01 | 1.07 ± 0.02 | 321 ± 4.85 | 9.9 ± 0.14 | 8.3 ± 0.36 | 8.3 ± 0.01 | |
| LS | 8.31 ± 0.03 | 1.06 ± 0.01 | 357 ± 3.45 | 9.5 ± 0.23 | 7.4 ± 0.27 | 7.9 ± 0.11 | ||
| RM | 8.75 ± 0.05 | 1.00 ± 0.01 | 435 ± 6.45 | 8.4 ± 0.21 | 7.2 ± 0.33 | 7.7 ± 0.18 | ||
| AMDS | 8.18 ± 0.03 | 1.15 ± 0.01 | 273 ± 5.01 | 9.0 ± 0.09 | 7.3 ± 0.39 | 1.2 ± 0.03 | ||
| Dependent Variable | Regression Equation | R2 | F-Value (Probability) | 
|---|---|---|---|
| Soil respiration | = 1441.16 − 185.97ⅹpH + 1.10ⅹDOC 1 − 13.47ⅹEx-As 2 + 43.77ⅹSRL 3 | 0.8941 | 39.85 (p < 0.0001) | 
| Urease activity | = 2314.93 − 301.77ⅹpH + 1.24ⅹDOC − 5.63ⅹEx-As + 17.49ⅹSRL | 0.9778 | 253.75 (p < 0.0001) | 
| Dehydrogenase activity | = 55.23 – 5.85ⅹNH4-N 4 + 10.67ⅹSRL | 0.7788 | 27.99 (p < 0.0001) | 
© 2020 by the authors. Licensee MDPI, Basel, Switzerland. This article is an open access article distributed under the terms and conditions of the Creative Commons Attribution (CC BY) license (http://creativecommons.org/licenses/by/4.0/).
Share and Cite
Kim, M.-S.; Min, H.-G.; Kim, J.-G. Integrating Amendment and Liquid Fertilizer for Aided-Phytostabilization and Its Impacts on Soil Microbiological Properties in Arsenic-Contaminated Soil. Appl. Sci. 2020, 10, 3985. https://doi.org/10.3390/app10113985
Kim M-S, Min H-G, Kim J-G. Integrating Amendment and Liquid Fertilizer for Aided-Phytostabilization and Its Impacts on Soil Microbiological Properties in Arsenic-Contaminated Soil. Applied Sciences. 2020; 10(11):3985. https://doi.org/10.3390/app10113985
Chicago/Turabian StyleKim, Min-Suk, Hyun-Gi Min, and Jeong-Gyu Kim. 2020. "Integrating Amendment and Liquid Fertilizer for Aided-Phytostabilization and Its Impacts on Soil Microbiological Properties in Arsenic-Contaminated Soil" Applied Sciences 10, no. 11: 3985. https://doi.org/10.3390/app10113985
APA StyleKim, M.-S., Min, H.-G., & Kim, J.-G. (2020). Integrating Amendment and Liquid Fertilizer for Aided-Phytostabilization and Its Impacts on Soil Microbiological Properties in Arsenic-Contaminated Soil. Applied Sciences, 10(11), 3985. https://doi.org/10.3390/app10113985
 
        

 
       