Free Vibration Analysis of Functionally Gradient Sandwich Composite Plate Embedded SMA Wires in Surface Layer
Abstract
1. Introduction
2. Theoretical Formula
2.1. Geometry and Material Properties
2.2. Vibration Equation
- (1)
- Transverse strain of sandwich plate .
- (2)
- The straight line perpendicular to the neutral surface before deformation will no longer maintain a straight line after deformation.
3. Results and Discussion
3.1. Verification and Materials
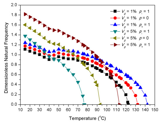
3.2. Investigating the Influence of Gradient Parameter
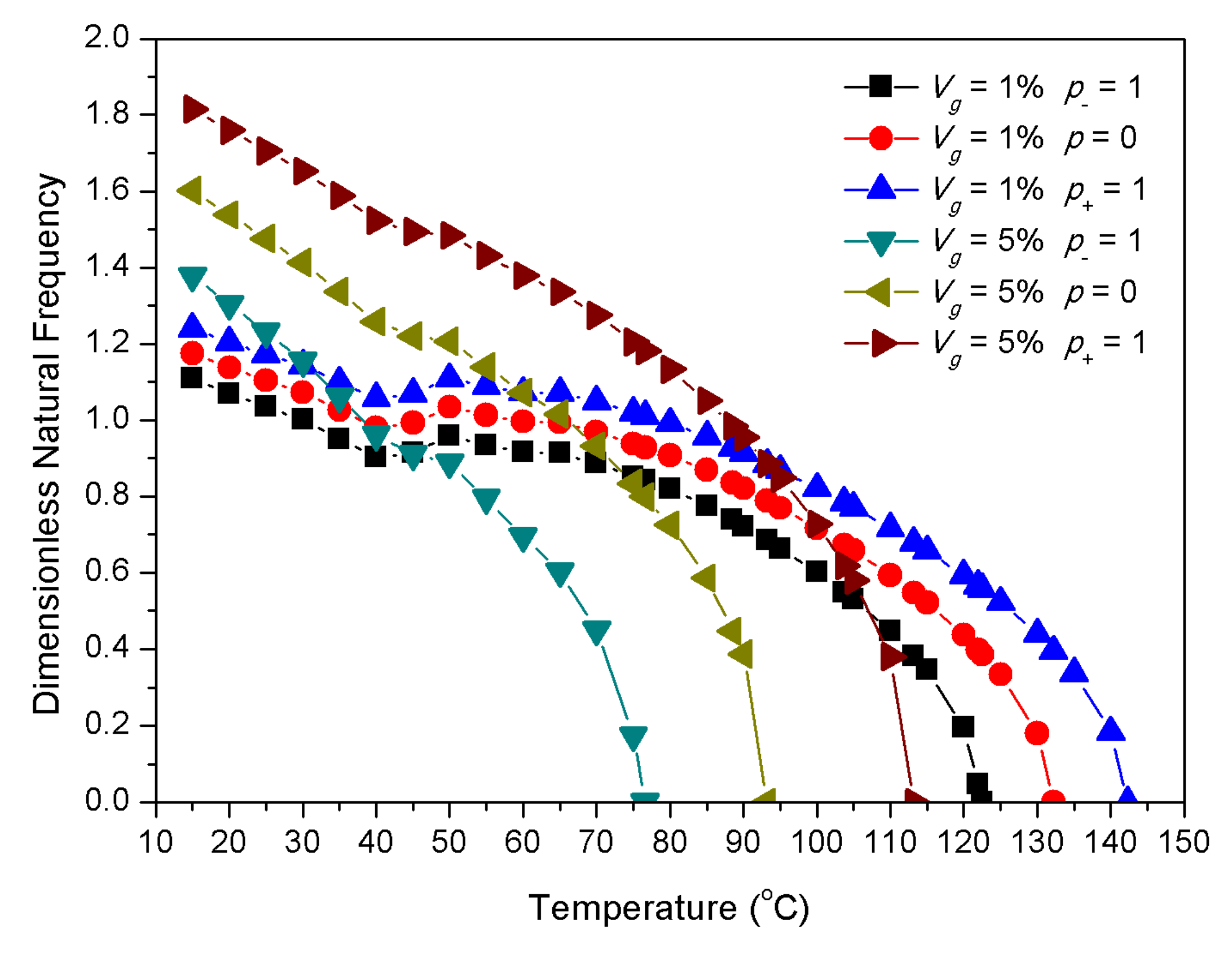
3.3. Investigating the Influence of Graphite Volume Fraction
3.4. Investigating the Influence of SMA Volume Fraction
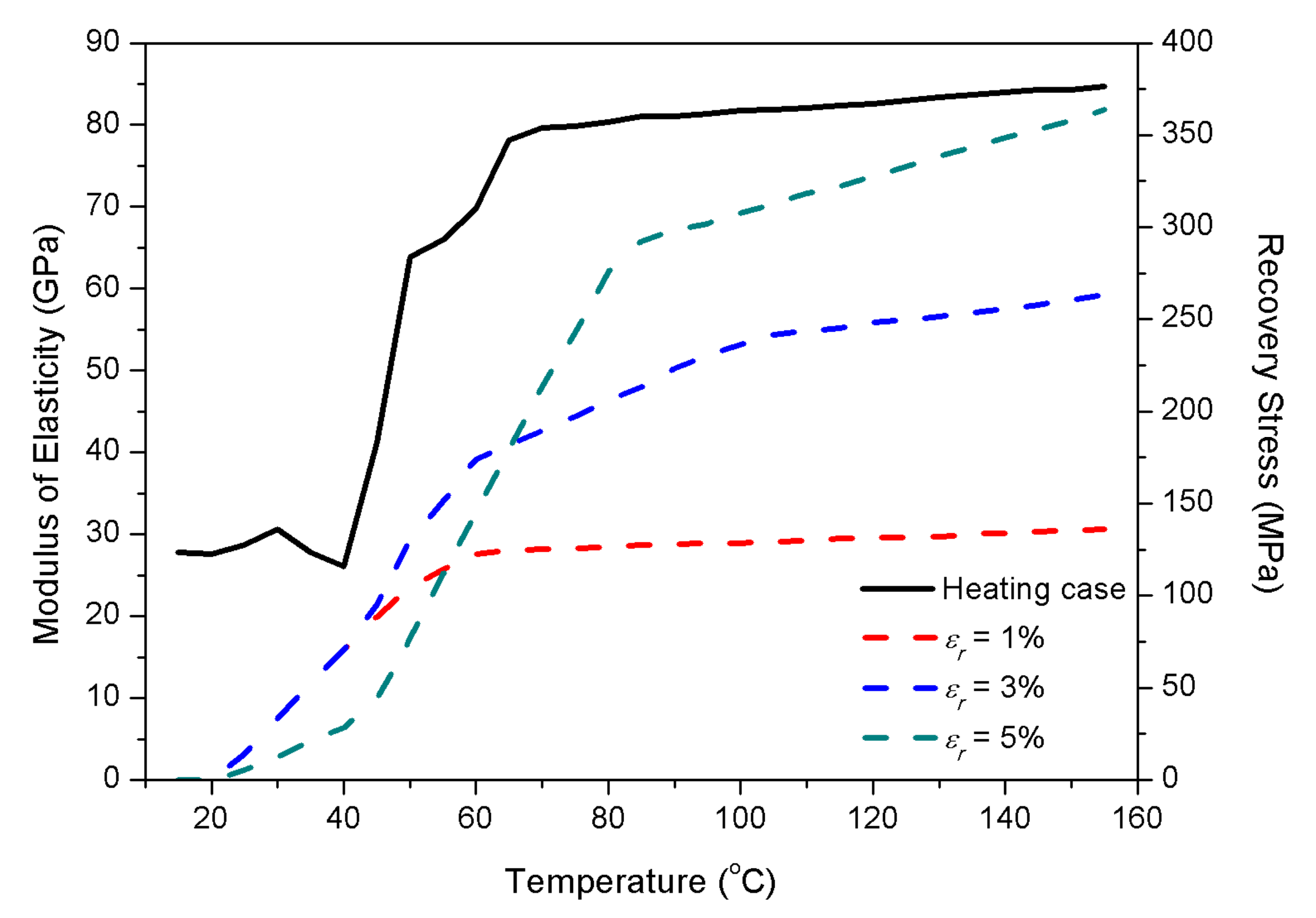
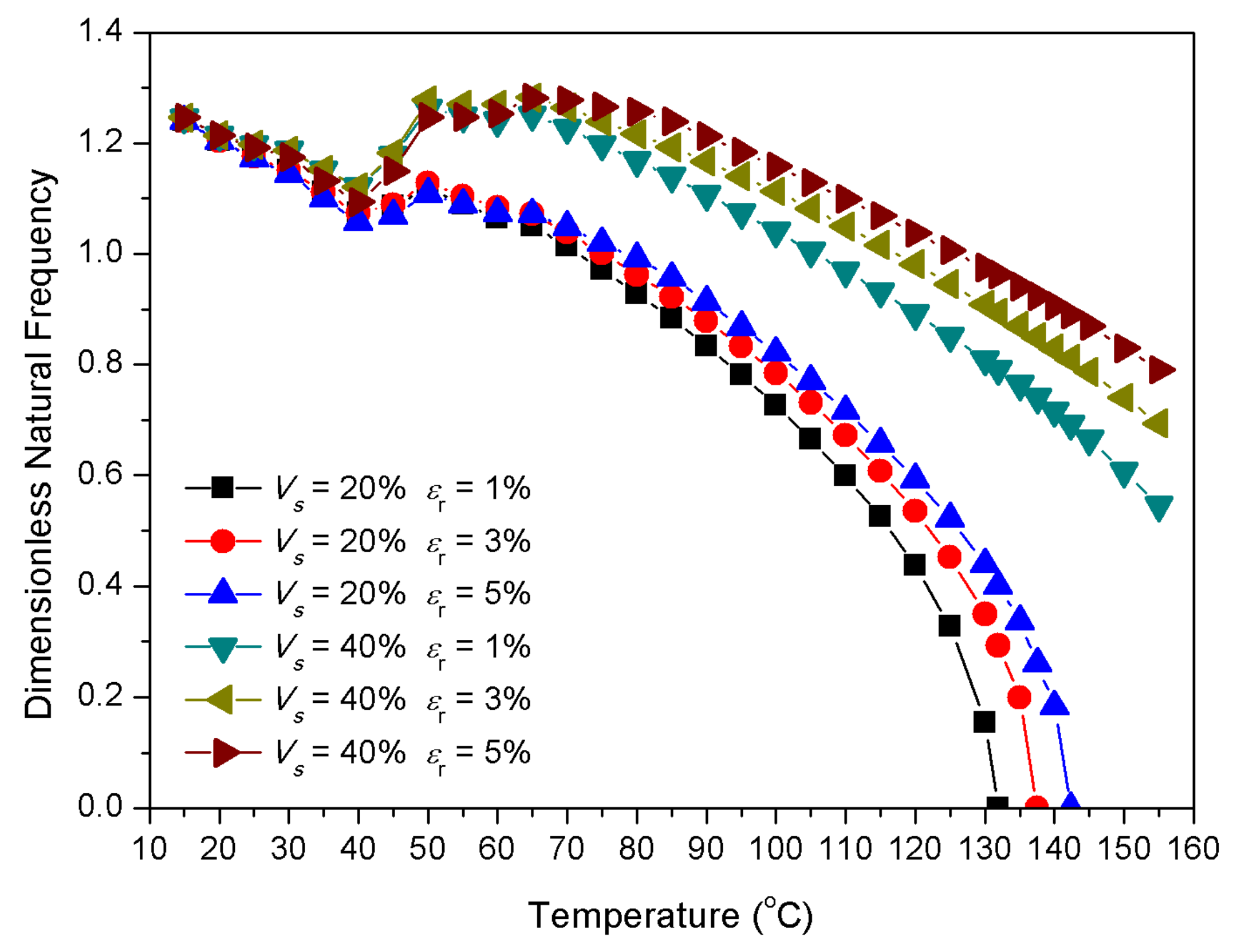
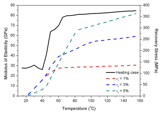
3.5. Investigating the Influence of SMA Pre-Strain
4. Conclusions
- (1)
- Free vibration of a sandwich composite plate which embeds SMA wires in the surface sheets and functionally gradient distribution in the core has been developed. The constitutive equation considered thermal effect and pre-strain, the Reddy shear deformation theory, and Hamilton principle were utilized to derive the governing equations and the frequency equation.
- (2)
- The gradient distribution and volume fraction of graphite in the core layer of the sandwich composite plate have a significant effect on natural frequencies. The natural frequency and the critical buckling temperature of a positive gradient distribution of graphite in the core of the sandwich composite plate are higher than those of non and negative gradient distribution. Moreover, the increase of graphite volume fraction increases the natural frequency but decreases the critical buckling temperature. Therefore, the graphite in the core layer can be designed by the form of distribution and volume fraction, thereby controlling the natural frequency of sandwich plate.
- (3)
- Temperature-rising SMA transforms from the martensitic phase to the austenitic phase, which results in an increase in modulus and recovery stress, thus increasing the influence of the volume fraction and pre-strain on the natural frequency. Both volume fraction increments and pre-strain increments of SMA embedded in the surface sheets of the sandwich plate can increase the natural frequency and critical buckling temperature.
Author Contributions
Funding
Acknowledgments
Conflicts of Interest
References
- Lagoudas, C. Shape Memory Alloys: Modeling and Engineering Applications; Springer: New York, NY, USA, 2007. [Google Scholar]
- Rogers, C.; Liang, C.; Jia, J. Structural modification of simply-supported laminated plates using embedded shape memory alloy fibers. Comput. Struct. 1991, 38, 569–580. [Google Scholar] [CrossRef]
- Ostachowicz, W.; Krawczuk, M.; Zak, A. Natural frequencies of a multilayer composite plate with shape memory alloy wires. Finite Elem. Anal. Des. 1999, 32, 71–83. [Google Scholar] [CrossRef]
- Rogers, C.; Barker, D. Experimental studies of active strain energy tuning of adaptive composites. In Proceedings of the 31st Structures, Structural Dynamics and Materials Conference, Long Beach, CA, USA, 2–4 April 1990. [Google Scholar]
- Rogers, C.A. Active vibration and structural acoustic control of shape memory alloy hybrid composites: Experimental results. J. Acoust. Soc. Am. 1990, 88, 2803. [Google Scholar] [CrossRef]
- Malekzadeh, K.; Mozafari, A.; Ghasemi, F.A. Free vibration response of a multilayer smart hybrid composite plate with embedded SMA wires. Lat. Am. J. Solids Struct. 2014, 11, 279–298. [Google Scholar] [CrossRef]
- Mahabadi, R.K.; Shakeri, M.; Daneshpazhooh, M. Free Vibration of Laminated Composite Plate with Shape Memory Alloy Fibers. Lat. Am. J. Solids Struct. 2016, 13, 314–330. [Google Scholar] [CrossRef]
- Shiau, L.-C.; Wu, T.-Y. Free Vibration of Buckled Laminated Plates by Finite Element Method. J. Vib. Acoust. 1997, 119, 635–640. [Google Scholar] [CrossRef]
- Shiau, L.-C.; Kuo, S.-Y.; Chang, S.-Y. Free vibration of buckled SMA reinforced composite laminates. Compos. Struct. 2011, 93, 2678–2684. [Google Scholar] [CrossRef]
- Kuo, S.-Y.; Shiau, L.-C.; Chen, K.-H. Buckling analysis of shape memory alloy reinforced composite laminates. Compos. Struct. 2009, 90, 188–195. [Google Scholar] [CrossRef]
- Kumar, C.N.; Singh, B.N. Thermal buckling analysis of SMA fiber-reinforced composite plates. J. Aerosp. Eng. 2009, 22, 4342. [Google Scholar] [CrossRef]
- Shariyat, M.; Hosseini, S.H. Accurate eccentric impact analysis of the preloaded SMA composite plates based on a novel mixed-order hyperbolic global-local theory. Compos. Struct. 2015, 124, 140–151. [Google Scholar] [CrossRef]
- Sun, M.; Wang, Z.; Yang, B. Experimental investigation of GF/epoxy laminates with different SMAs positions subjected to low-velocity impact. Compos. Struct. 2017, 171, 170–184. [Google Scholar] [CrossRef]
- Choi, S.; Lee, J.-J.; Seo, D.-C. The active buckling control of laminated composite beams with embedded shape memory alloy wires. Compos. Struct. 1999, 47, 679–686. [Google Scholar] [CrossRef]
- Lee, J.-J.; Choi, S. Thermal buckling and postbuckling analysis of a laminated composite beam with embedded SMA actuators. Compos. Struct. 1999, 47, 695–703. [Google Scholar] [CrossRef]
- Bodaghi, M.; Shakeri, M.; Aghdam, M.-M. Thermo-mechanical behavior of shape adaptive composite plates with surface bonded shape memory alloy ribbons. Compos. Struct. 2015, 119, 115–133. [Google Scholar] [CrossRef]
- Asadi, H.; Akbarzadeh, A.; Wang, Q. Nonlinear thermo-inertial instability of functionally graded shape memory alloy sandwich plates. Compos. Struct. 2015, 120, 496–508. [Google Scholar] [CrossRef]
- Asadi, H.; Kiani, Y.; Aghdam, M.; Shakeri, M. Enhanced thermal buckling of laminated composite cylindrical shells with shape memory alloy. J. Compos. Mater. 2015, 50, 243–256. [Google Scholar] [CrossRef]
- Park, J.-S.; Kim, J.-H.; Moon, S.-H. Vibration of thermally post-buckled composite plates embedded with shape memory alloy fibers. Compos. Struct. 2004, 63, 179–188. [Google Scholar] [CrossRef]
- Li, S.-R.; Yu, W.-S.; Batra, R. Free Vibration of Thermally Pre/Post-Buckled Circular Thin Plates Embedded with Shape Memory Alloy Fibers. J. Therm. Stresses 2010, 33, 79–96. [Google Scholar] [CrossRef]
- Shariyat, M.; Niknami, A. Layerwise numerical and experimental impact analysis of temperature-dependent transversely flexible composite plates with embedded SMA wires in thermal environments. Compos. Struct. 2016, 153, 692–703. [Google Scholar] [CrossRef]
- Khalili, S.M.R.; Botshekanan Dehkordi, M.; Carrera, E.; Shariyat, M. Non-linear dynamic analysis of a sandwich beam with pseudoelastic SMA hybrid composite faces based on higher order finite element theory. Compos. Struct. 2013, 96, 243–255. [Google Scholar] [CrossRef]
- Botshekanan Dehkordi, M.; Khalili, S.M.R. Frequency analysis of sandwich plate with active SMA hybrid composite face-sheets and temperature dependent flexible core. Compos. Struct. 2015, 123, 408–419. [Google Scholar] [CrossRef]
- Ghaznavi, A.; Shariyat, M. Non-linear layerwise dynamic response analysis of sandwich plates with soft auxetic cores and embedded SMA wires experiencing cyclic loadings. Compos. Struct. 2017, 171, 185–197. [Google Scholar] [CrossRef]
- Nejati, M.; Ghasemi-Ghalebahman, A.; Soltanimaleki, A. Thermal vibration analysis of SMA hybrid composite double curved sandwich panels. Compos. Struct. 2019, 224, 111035. [Google Scholar] [CrossRef]
- Huang, Y.-Z.; Zhang, Z.-F.; Li, C.-P. Modal performance of two-fiber orthogonal gradient composite laminates embedded with SMA. Materials 2019, 13, 1102. [Google Scholar] [CrossRef]
- Benachour, A.; Tahar, H.-D.; Atmane, H.-A. A four variable refined plate theory for free vibrations of functionally graded plates with arbitrary gradient. Compos. Part B-Eng. 2011, 42, 1186–1394. [Google Scholar] [CrossRef]
- Zhao, X.; Lee, Y.-Y.; Liew, K.-M. Free vibration analysis of functionally graded plates using the element-free kp-Ritz method. J. Sound. Vib. 2009, 319, 918–939. [Google Scholar] [CrossRef]
- Hosseini-Hashemi, S.-H.; Rokni Damavandi Taher, H.; Akhavan, H. Free vibration of functionally graded rectangular plates using first-order shear deformation plate theory. Appl. Math. Modell. 2010, 34, 1276–1291. [Google Scholar] [CrossRef]
- Samadpour, M.; Sadighi, M.; Shakeri, M. Vibration analysis of thermally buckled SMA hybrid composite sandwich plate. Compos. Struct. 2015, 119, 251–263. [Google Scholar] [CrossRef]
- Cross, W.-B.; Kariotis, A.-H.; Stimler, F.-J. Nitinol Characterization Study NASA CR-1433; National Aeronautics and Space Administration: Washington, DC, USA, 1969. [Google Scholar]










| FGMs | Gradient Index (p) | ||||
|---|---|---|---|---|---|
| 0 | 0.5 | 1 | 2 | ||
| Al/Al2O3 | Benachour et al. | 5.7694 | 4.9000 | 4.4166 | 4.0057 |
| Zhao et al. | 5.6763 | 4.8209 | 4.3474 | 3.9474 | |
| Present | 5.7689 | 4.9123 | 4.4328 | 4.0176 | |
| Al/ZrO2 | Benachour et al. | 5.7694 | 5.4380 | 5.3113 | 5.2923 |
| Zhao et al. | 5.6763 | 5.1105 | 4.8713 | 4.6977 | |
| Present | 5.7689 | 5.3511 | 5.2696 | 5.1254 | |
| Samadpour et al. | Present | |||||||
|---|---|---|---|---|---|---|---|---|
| Without SMA | 0.862 | 0.696 | 0.485 | 0.259 | 0.877 | 0.712 | 0.493 | 0.261 |
| 0.842 | 0.855 | 0.904 | 0.938 | 0.853 | 0.867 | 0.916 | 0.949 | |
| 0.813 | 0.960 | 1.126 | 1.224 | 0.832 | 0.972 | 1.133 | 1.237 | |
| 0.811 | 0.925 | 1.084 | 1.171 | 0.826 | 0.932 | 1.091 | 1.180 | |
| 0.803 | 0.888 | 1.005 | 0.952 | 0.811 | 0.895 | 1.011 | 0.963 | |
© 2020 by the authors. Licensee MDPI, Basel, Switzerland. This article is an open access article distributed under the terms and conditions of the Creative Commons Attribution (CC BY) license (http://creativecommons.org/licenses/by/4.0/).
Share and Cite
Huang, Y.; Li, L.; Xu, Z.; Li, C.; Mao, K. Free Vibration Analysis of Functionally Gradient Sandwich Composite Plate Embedded SMA Wires in Surface Layer. Appl. Sci. 2020, 10, 3921. https://doi.org/10.3390/app10113921
Huang Y, Li L, Xu Z, Li C, Mao K. Free Vibration Analysis of Functionally Gradient Sandwich Composite Plate Embedded SMA Wires in Surface Layer. Applied Sciences. 2020; 10(11):3921. https://doi.org/10.3390/app10113921
Chicago/Turabian StyleHuang, Yizhe, Lin Li, Zhichao Xu, Chaopeng Li, and Kuanmin Mao. 2020. "Free Vibration Analysis of Functionally Gradient Sandwich Composite Plate Embedded SMA Wires in Surface Layer" Applied Sciences 10, no. 11: 3921. https://doi.org/10.3390/app10113921
APA StyleHuang, Y., Li, L., Xu, Z., Li, C., & Mao, K. (2020). Free Vibration Analysis of Functionally Gradient Sandwich Composite Plate Embedded SMA Wires in Surface Layer. Applied Sciences, 10(11), 3921. https://doi.org/10.3390/app10113921
