3-D Numerical Study on Progressive Failure Characteristics of Marbles under Unloading Conditions
Abstract
1. Introduction
2. Numerical Methodology and Parameter Calibrations
2.1. Particle-Based Discrete Element Method (PB-DEM)
2.2. Parameter Calibration
3. Numerical Results and Discussions
3.1. Numerical Model Setup
3.2. Uniaxial Compressive Simulations Results
3.3. Conventional Triaxial Compression Simulations
3.4. Confining Pressure Unloading Simulations
4. Discussions
4.1. Influences of Preexisting Cracks’ Distributions
4.2. Influence of Confining Pressures
4.3. Influence of Unloading Rates
5. Conclusions
- ①
- ②
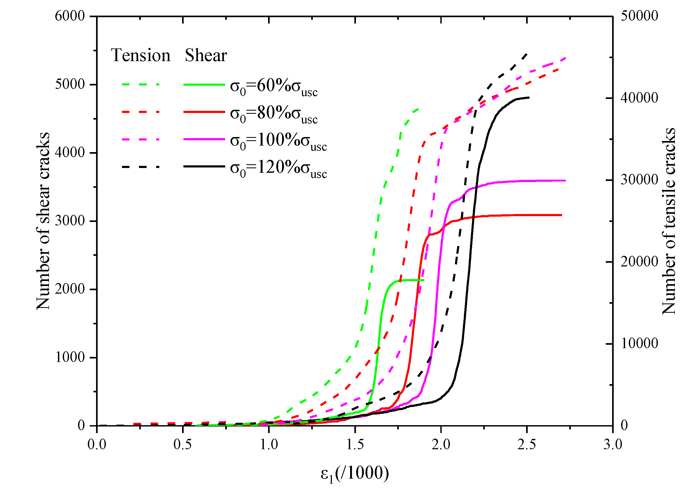
- The increase of initial confining pressures leads to the increasing number of shear cracks, which results in mixed tensile–shear and shear crack coalescence in the rock bridge region.
- ③
- Initial confining pressure in the conventional triaxial unloading simulations has little effect on the equivalent elastic modulus. Meanwhile, the equivalent elastic modulus is significantly affected by the unloading rates.
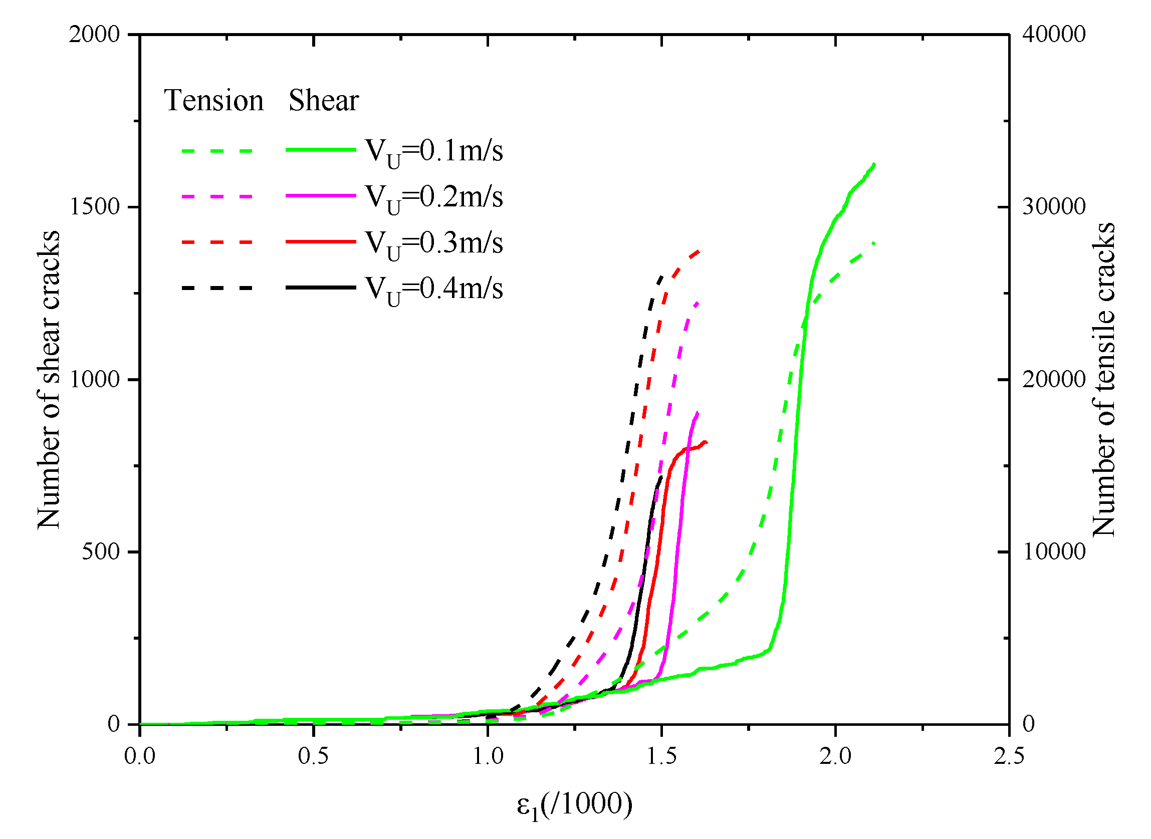
- ④
- As the unloading rates increases in the conventional triaxial unloading simulations, the associated equivalent elastic modulus decreases, which indicates that bulk modulus of marble is smaller than the elastic modulus
Author Contributions
Funding
Acknowledgments
Conflicts of Interest
References
- Brady, B.H.G.; Brown, E.T. Rock Mechanics: For Underground Mining; Springer Science & Business Media: New York, NY, USA, 2013. [Google Scholar]
- Priest, S.D. Discontinuity Analysis for Rock Engineering; Springer Science & Business Media: New York, NY, USA, 2012. [Google Scholar]
- Sun, J.; Wang, S. Rock mechanics and rock engineering in China: Developments and current state-of-the-art. Int. J. Rock Mech. Min. Sci. 2000, 37, 447–465. [Google Scholar] [CrossRef]
- Lajtai, E.Z. Brittle fracture in compression. Int. J. Fract. 1974, 10, 525–536. [Google Scholar] [CrossRef]
- Wong, R.H.C.; Chau, K.T. Crack coalescence in a rock-like material containing two cracks. Int. J. Rock Mech. Min. Sci. 1998, 35, 147–164. [Google Scholar] [CrossRef]
- Wong, R.H.C.; Chau, K.T.; Tang, C.A.; Lin, P. Analysis of crack coalescence in a rock-like materials containing three flaws-part I: Experimental approach. Int. J. Rock Mech. Min. Sci. 2001, 38, 909–924. [Google Scholar] [CrossRef]
- Bobet, A.; Einstein, H.H. Fracture coalescence in rock-type material under uniaxial and biaxial compression. Int. J. Rock Mech. Min. Sci. 1998, 35, 863–888. [Google Scholar] [CrossRef]
- Park, C.H.; Bobet, A. Crack coalescence in specimens with open and closed flaws: A comparison. Int. J. Rock Mech. Min. Sci. 2009, 46, 819–829. [Google Scholar] [CrossRef]
- Yang, S.Q. Crack coalescence behavior of brittle sandstone samples containing two coplanar fissures in the process of deformation failure. Eng. Fract. Mech. 2011, 78, 3059–3081. [Google Scholar] [CrossRef]
- Wong, L.N.Y. Crack Coalescence in Molded Gypsum and Carrara Marble. Ph.D. Dissertation, Massachusetts Institute of Technology, Cambridge, MA, USA, 2008. [Google Scholar]
- Wong, L.N.Y.; Einstein, H.H. Crack coalescence in molded gypsum and Carrara marble: Part I. Macroscopic observations and interpretation. Rock Mech. Rock Eng. 2009, 42, 475–511. [Google Scholar] [CrossRef]
- Wong, L.N.Y.; Einstein, H.H. Systematic evaluation of cracking behavior in specimens containing single flaws under uniaxial compression. Int. J. Rock Mech. Min. Sci. 2009, 46, 239–249. [Google Scholar] [CrossRef]
- Lee, H.; Jeon, S. An experimental and numerical study of fracture coalescence in pre-cracked specimens under uniaxial compression. Int. J. Solids Struct. 2011, 48, 979–999. [Google Scholar] [CrossRef]
- Yang, S.Q.; Liu, X.R.; Jing, H.W. Experimental investigation on fracture coalescence behavior of red sandstone containing two unparallel fissures under uniaxial compression. Int. J. Rock Mech. Min. Sci. 2013, 63, 82–92. [Google Scholar] [CrossRef]
- Cheng, H.; Zhou, X.P.; Zhu, J.; Qian, Q.H. The effect of crack opening on crack initiation, propagation and coalescence behavior in rock-like materials under uniaxial compression. Rock Mech. Rock Eng. 2016, 49, 3481–3494. [Google Scholar] [CrossRef]
- Zhou, X.P.; Cheng, H.; Feng, Y.F. An experimental study of crack coalescence behavior in rock-like materials containing multiple flaws under uniaxial compression. Rock Mech. Rock Eng. 2014, 47, 1961–1986. [Google Scholar] [CrossRef]
- Zhou, X.P.; Zhang, J.Z.; Wong, L.N.Y. Experimental Study on the Growth, Coalescence and Wrapping Behaviors of 3D Cross-Embedded Flaws Under Uniaxial Compression. Rock Mech. Rock Eng. 2018, 51, 1379–1400. [Google Scholar] [CrossRef]
- Zhou, X.P.; Wang, Y.T.; Zhang, J.Z.; Liu, F.N. Fracturing Behavior Study of Three-Flawed Specimens by Uniaxial Compression and 3D Digital Image Correlation: Sensitivity to Brittleness. Rock Mech. Rock Eng. 2019, 52, 691–718. [Google Scholar] [CrossRef]
- Wang, Y.T.; Zhou, X.P.; Kou, M.M. Three-dimensional numerical study on the failure characteristics of intermittent fissures under compressive-shear loads. Acta Geotech. 2019, 14, 1161–1193. [Google Scholar] [CrossRef]
- Bastola, S.; Cai, M. Investigation of mechanical properties and crack propagation in pre-cracked marbles using lattice-spring-based synthetic rock mass (LS-SRM) modeling approach. Comput. Geotech. 2019, 110, 28–43. [Google Scholar] [CrossRef]
- Areias, P.; Rabczuk, T. Finite strain fracture of plates and shells with configurational forces and edge rotations. Int. J. Numer. Methods Eng. 2013, 94, 1099–1122. [Google Scholar] [CrossRef]
- Areias, P.; Rabczuk, T. Steiner-point free edge cutting of tetrahedral meshes with applications in fracture. Finite Elem. Anal. Des. 2017, 132, 27–41. [Google Scholar] [CrossRef]
- Rabczuk, T.; Samaniego, E. Discontinuous modelling of shear bands using adaptive meshfree methods. Comput. Methods Appl. Mech. Eng. 2008, 197, 641–658. [Google Scholar] [CrossRef]
- Borden, M.J.; Verhoosel, C.V.; Scott, M.A.; Hughes, T.J.; Landis, C.M. A phase-field description of dynamic brittle fracture. Comput. Methods Appl. Mech. Eng. 2012, 217, 77–79. [Google Scholar] [CrossRef]
- Miehe, C.; Welschinger, F.; Hofacker, M. Thermodynamically consistent phase-field models of fracture: Variational principles and multi-field FE implementations. Int. J. Numer. Methods Eng. 2010, 83, 1273–1311. [Google Scholar] [CrossRef]
- Moes, N.; Belytschko, T. Extendedfinite element method for cohesive crack growth. Eng. Fract. Mech. 2002, 69, 813–833. [Google Scholar] [CrossRef]
- Cheng, H.; Zhou, X. A multi-dimensional space method for dynamic cracks problems using implicit time scheme in the framework of the extended finite element method. Int. J. Damage Mech. 2015, 24, 859–890. [Google Scholar] [CrossRef]
- Ha, Y.D.; Lee, J.; Hong, J.W. Fracturing patterns of rock-like materials in compression captured with peridynamics. Eng. Fract. Mech. 2015, 144, 176–193. [Google Scholar] [CrossRef]
- Lee, J.; Hong, J.W.; Jung, J.W. The mechanism of fracture coalescence in pre-cracked rock-type material with three flaws. Eng. Geol. 2017, 223, 31–47. [Google Scholar] [CrossRef]
- Wang, Y.; Zhou, X.; Xu, X. Numerical simulation of propagation and coalescence of flaws in rock materials under compressive loads using the extended non-ordinary state-based peridynamics. Eng. Fract. Mech. 2016, 163, 248–273. [Google Scholar] [CrossRef]
- Wang, Y.; Zhou, X.; Shou, Y. The modeling of crack propagation and coalescence in rocks under uniaxial compression using the novel conjugated bond-based peridynamics. Int. J. Mech. Sci. 2017, 128, 614–643. [Google Scholar] [CrossRef]
- Wang, Y.; Zhou, X.; Wang, Y.; Shou, Y. A 3-D conjugated bond-pair-based peridynamic formulation for initiation and propagation of cracks in brittle solids. Int. J. Solids Struct. 2018, 134, 89–115. [Google Scholar] [CrossRef]
- Zhou, X.P.; Wang, Y.T.; Qian, Q.H. Numerical simulation of crack curving and branching in brittle materials under dynamic loads using the extended non-ordinary state-based peridynamics. Eur J Mech A-Solid. 2016, 60, 277–299. [Google Scholar] [CrossRef]
- Zhou, X.P.; Wang, Y.T. Numerical simulation of crack propagation and coalescence in pre-cracked rock-like Brazilian disks using the non-ordinary state-based peridynamics. Int. J. Rock Mech. Min. Sci. 2016, 89, 235–249. [Google Scholar] [CrossRef]
- Wang, L.; Xu, J.; Wang, J. Elastodynamics of linearized isotropic state-based peridynamic media. J. Elast. 2019, 137, 157–176. [Google Scholar] [CrossRef]
- Zhou, S.W.; Xia, C.C. Propagation and coalescence of quasi-static cracks in Brazilian disks: An insight from a phase field model. Acta Geotech. 2019, 14, 1195–1214. [Google Scholar] [CrossRef]
- Zhou, S.; Zhuang, X.; Rabczuk, T. Phase field modeling of brittle compressive-shear fractures in rock-like materials: A new driving force and a hybrid formulation. Comput. Methods Appl. Mech. Eng. 2019, 355, 729–752. [Google Scholar] [CrossRef]
- Zhou, G.; Xu, T.; Heap, M.J.; Meredith, P.G.; Mitchell, T.; Sesnic, A.S.Y.; Yuan, Y. A three-dimensional numerical meso-approach to modeling time-independent deformation and fracturing of brittle rocks. Comput. Geotech. 2020, 117, 103274. [Google Scholar] [CrossRef]
- Zhang, X.P.; Wong, L.N.Y. Crack Initiation, Propagation and Coalescence in Rock-Like Material Containing Two Flaws: A Numerical Study Based on Bonded-Particle Model Approach. Rock Mech. Rock Eng. 2013, 46, 1001–1021. [Google Scholar] [CrossRef]
- Huang, Y.H.; Yang, S.Q.; Zhao, J. Three-Dimensional Numerical Simulation on Triaxial Failure Mechanical Behavior of Rock-Like Specimen Containing Two Unparallel Fissures. Rock Mech. Rock Eng. 2016, 49, 4711–4729. [Google Scholar] [CrossRef]
- Shang, J.; Jayasinghe, L.B.; Xiao, F.; Duan, K.; Nie, W.; Zhao, Z. Three-dimensional DEM investigation of the fracture behaviour of thermally degraded rocks with consideration of material anisotropy. Theor. Appl. Fract. Mech. 2019, 104, 102330. [Google Scholar] [CrossRef]
- Shang, J.; Zhao, Z.; Hu, J.; Handley, K. 3D particle-based DEM investigation into the shear behaviour of incipient rock joints with various geometries of rock bridges. Rock Mech. Rock Eng. 2018, 51, 3563–3584. [Google Scholar] [CrossRef]
- Duan, K.; Kwok, C.Y.; Zhang, Q.; Shang, J. On the initiation, propagation and reorientation of simultaneously-induced multiple hydraulic fractures. Comput. Geotech. 2020, 117, 103226. [Google Scholar] [CrossRef]
- Song, Z.; Konietzky, H. A particle-based numerical investigation on longwall top coal caving mining. Arab. J. Geosci. 2019, 12, 556. [Google Scholar] [CrossRef]
- Song, Z.; Konietzky, H.; Herbst, M. Three-dimensional particle model based numerical simulation on multi-level compressive cyclic loading of concrete. Constr. Build. Mater. 2019, 225, 661–677. [Google Scholar] [CrossRef]
- Song, Z.; Konietzky, H.; Herbst, M. Bonded-particle model-based simulation of artificial rock subjected to cyclic loading. Acta Geotech. 2019, 14, 955–971. [Google Scholar] [CrossRef]
- Song, Z.; Wei, W.; Zhang, J. Numerical investigation of effect of particle shape on isolated extracted zone (IEZ) in block caving. Arab. J. Geosci. 2018, 11, 310. [Google Scholar] [CrossRef]
- Shi, G.H. Block System Modeling by Discontinuous Deformation Analysis; University of California: Berkeley, CA, USA, 1988. [Google Scholar]
- Yokota, Y.; Zhao, Z.; Shang, J.; Nie, W.; Date, K.; Iwano, K.; Okada, Y. Effect of bolt configuration on the interface behaviour between a rock bolt and bond material: A comprehensive DDA investigation. Comput. Geotech. 2019, 105, 116–128. [Google Scholar] [CrossRef]
- Xiao, F.; Shang, J.; Zhao, Z. DDA based grouting prediction and linkage between fracture aperture distribution and grouting characteristics. Comput. Geotech. 2019, 112, 350–369. [Google Scholar] [CrossRef]
- Ma, G.W.; An, X.M.; Zhang, H.H.; Li, L.X. Modeling complex crack problems using the numerical manifold method. Int. J. Fract. 2009, 156, 21–35. [Google Scholar] [CrossRef]
- Wu, Z.J.; Wong, L.N.Y. Extension of numerical manifold method for coupled fluid flow and fracturing problems. Int. J. Numer. Anal. Methods Geomech. 2014, 38, 1990–2008. [Google Scholar] [CrossRef]
- Wu, Z.J.; Sun, H.; Wong, L.N.Y. A Cohesive Element-Based Numerical Manifold Method for Hydraulic Fracturing Modelling with Voronoi Grains. Rock Mech. Rock Eng. 2019, 52, 2335–2359. [Google Scholar] [CrossRef]
- Li, X.F.; Li, H.B.; Zhang, Q.B.; Jiang, J.L.; Zhao, J. Dynamic fragmentation of rock material: Characteristic size, fragment distribution and pulverization law. Eng. Fract. Mech. 2018, 199, 739–759. [Google Scholar] [CrossRef]
- Li, X.F.; Zhang, Q.B.; Li, H.B.; Zhao, J. Grain-Based Discrete Element Method (GB-DEM) Modelling of Multi-scale Fracturing in Rocks Under Dynamic Loading. Rock Mech. Rock Eng. 2018, 51, 3785–3817. [Google Scholar] [CrossRef]
- Yang, S.Q.; Huang, Y.H.; Jing, H.W.; Liu, X.R. Discrete element modeling on fracture coalescence behavior of red sandstone containing two unparallel fissures under uniaxial compression. Eng. Geol. 2014, 178, 28–48. [Google Scholar] [CrossRef]
- Yang, X.X.; Kulatilake, P.H.S.W.; Chen, X.; Jing, H.W.; Yang, S.Q. Particle Flow Modeling of Rock Blocks with Nonpersistent Open Joints under Uniaxial Compression. Int. J. Geomech. 2016, 16, 04016020. [Google Scholar] [CrossRef]
- Yang, S.Q.; Tian, W.L.; Ranjith, P.G. Failure Mechanical Behavior of Australian Strathbogie Granite at High Temperatures: Insights from Particle Flow Modeling. Energies 2017, 10, 756. [Google Scholar] [CrossRef]
- Yang, S.Q.; Tian, W.L.; Huang, Y.H.; Ma, Z.G.; Lan, L.F.; Wu, Z.J. Experimental and discrete element modeling on cracking behavior of sandstone containing a single oval flaw under uniaxial compression. Eng. Fract. Mech. 2018, 194, 154–174. [Google Scholar] [CrossRef]
- Li, X.P.; Zhao, H.; Wang, B.; Xiao, T.L. Mechanical Properties of Deep-buried Marble Material Under Loading and Unloading Tests. J. Wuhan Univ. Technol. Mater. Sci. 2013, 28, 514–520. [Google Scholar] [CrossRef]
- Li, X.B.; Chen, Z.H.; Weng, L.; Li, C.J. Unloading responses of pre-flawed rock specimens under different unloading rates. Trans. Nonferr. Met. Soc. Chin. 2019, 29, 1516–1526. [Google Scholar] [CrossRef]
- Potyondy, D.O.; Cundall, P.A. Modeling notch-formation mechanisms in the URL Mine-by Test Tunnel using bonded assemblies of circular particles. Int. J. Rock Mech. Min. Sci. 1998, 35, 510–511. [Google Scholar] [CrossRef]
- Potyondy, D.O. A bonded-particle model for rock. Int. J. Rock Mech. Min. Sci. 2004, 41, 1329–1364. [Google Scholar] [CrossRef]
- Cho, N.; Martin, C.D.; Sego, D.C. A clumped particle model for rock. Int. J. Rock Mech. Min. Sci. 2007, 44, 997–1010. [Google Scholar] [CrossRef]
- PFC2D (Particle Flow Code in 2 Dimensions); Version 3.1.; Itasca Consulting Group: Minneapolis, MN, USA, 2004.
- Yang, S.Q.; Jiang, Y.Z.; Xu, W.Y.; Chen, X.Q. Experimental investigation on strength and failure behavior of pre-cracked marble under conventional triaxial compression. Int. J. Solids Struct. 2008, 45, 4796–4819. [Google Scholar] [CrossRef]
- Yang, S.Q.; Dai, Y.H.; Han, L.J.; Jin, Z.Q. Experimental study on mechanical behavior of brittle marble samples containing different flaws under uniaxial compression. Eng. Fract. Mech. 2009, 76, 1833–1845. [Google Scholar] [CrossRef]
- Li, X.B.; Cao, W.Z.; Zhou, Z.L.; Zou, Y. Influence of stress path on excavation unloading response. Tunn. Undergr. Space Technol. 2014, 42, 237–246. [Google Scholar] [CrossRef]
- Wang, S.Y.; Sloan, S.W.; Tang, C.A.; Zhu, W.C. A numerical investigation of the failure mechanism around tunnels in transversely isotropic rock masses. Tunn. Undergr. Space Technol. 2012, 32, 231–244. [Google Scholar] [CrossRef]
- Huang, R.; Huang, D. Evolution of Rock Cracks Under Unloading Condition. Rock Mech. Rock Eng. 2014, 47, 453–466. [Google Scholar] [CrossRef]
- Huang, X.; Liu, Q.; Liu, B.; Pan, Y.; Liu, J. Experimental Study on the Dilatancy and Fracturing Behavior of Soft Rock Under Unloading Conditions. Int. J. Civ. Eng. 2017, 15, 921–948. [Google Scholar] [CrossRef]
- Liu, Q.; Chen, Y.; Jin, K.; Tu, Q.; Zhao, W.; Zhang, R. Effect of confining pressure unloading on strength reduction of soft coal in borehole stability analysis. Environ. Earth Sci. 2017, 76, 173. [Google Scholar] [CrossRef]


























| Particle Micro-Parameters | ||||||
| Density, | Radius, | Elastic modulus, | Friction coefficient, | Stiffness ratio, | ||
| 2700 | 0.5–0.8 | 37 | 0.65 | 2.5 | ||
| Parallel bond micro-parameters | ||||||
| Normal strength, | Cohesion, | Shear strength, | Elastic modulus, | Effective modulus, | Stiffness ratio, | |
| 62 | 35 | 125 | 37 | 1.5 | 2.5 | |
| Geometries of Pre-Existing Fissure | ||||||
|---|---|---|---|---|---|---|
| No. | (°) | (°) | (mm) | (mm) | Note | |
| Type A | 45 | 61 | 24 | 33 | Fissure inclination angle | |
| Type B | 30 | 38 | 24 | 33 | ||
| Type C | 60 | 75 | 24 | 33 | ||
| Type D | 75 | 83 | 24 | 33 | ||
| Type E | 45 | 70 | 24 | 48 | Ligament length | |
| Type F | 45 | 48 | 24 | 24 | ||
| Type G | 45 | 34 | 16 | 33 | Fissure length | |
| Type H | 45 | 49 | 20 | 33 | ||
| Loading and unloading parameters | ||||||
| Initial confining pressures (MPa) | 0 | 0.6 | 0.8 | |||
| Unloading rates (mm/s) | 0.01 | 0.1 | 0.2 | 0.3 | 0.4 | |
| Loading rates (mm/s) | 0.2 | |||||
| Model | Numerical Results | Experimental Data [66] | ||
|---|---|---|---|---|
| Intact | 85.9 | 35.9 | 83.5 | 36 |
| (30 MPa) | 160.5 | 53.2 | 154.4 | 53.6 |
| Type A | 36.8 | 25.5 | 50.7 | 27.7 |
| Type B | 60.8 | 33.0 | 57.1 | 30.1 |
| Type C | 14.0 | 12.9 | 15.2 | 15.9 |
| Type D | 13.6 | 11.9 | ||
| Type E | 30.3 | 24.4 | 31.3 | 22.5 |
| Type F | 44.1 | 24.8 | 41.5 | 27.7 |
| Type G | 55.0 | 28.1 | 66.7 | 35.5 |
| Type H | 51.8 | 30.4 | 60.8 | 27.6 |
© 2020 by the authors. Licensee MDPI, Basel, Switzerland. This article is an open access article distributed under the terms and conditions of the Creative Commons Attribution (CC BY) license (http://creativecommons.org/licenses/by/4.0/).
Share and Cite
Zhang, Y.; Liu, S.; Kou, M.; Wang, Z. 3-D Numerical Study on Progressive Failure Characteristics of Marbles under Unloading Conditions. Appl. Sci. 2020, 10, 3875. https://doi.org/10.3390/app10113875
Zhang Y, Liu S, Kou M, Wang Z. 3-D Numerical Study on Progressive Failure Characteristics of Marbles under Unloading Conditions. Applied Sciences. 2020; 10(11):3875. https://doi.org/10.3390/app10113875
Chicago/Turabian StyleZhang, Yongjun, Sijia Liu, Miaomiao Kou, and Zaiquan Wang. 2020. "3-D Numerical Study on Progressive Failure Characteristics of Marbles under Unloading Conditions" Applied Sciences 10, no. 11: 3875. https://doi.org/10.3390/app10113875
APA StyleZhang, Y., Liu, S., Kou, M., & Wang, Z. (2020). 3-D Numerical Study on Progressive Failure Characteristics of Marbles under Unloading Conditions. Applied Sciences, 10(11), 3875. https://doi.org/10.3390/app10113875

