Optimization Design of a 2.5 Stage Highly Loaded Axial Compressor with a Bezier Surface Modeling Method
Abstract
1. Introduction
2. Investigated Compressor
3. Numerical Simulation
3.1. Numerical Methods
3.2. Grid Topology and Verification
4. Optimization Methods
4.1. Bezier Surface Modeling Method
4.2. Optimization Process
5. Results and Discussions
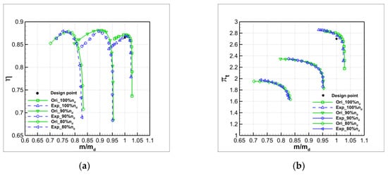
5.1. Analysis of the Optimization Results
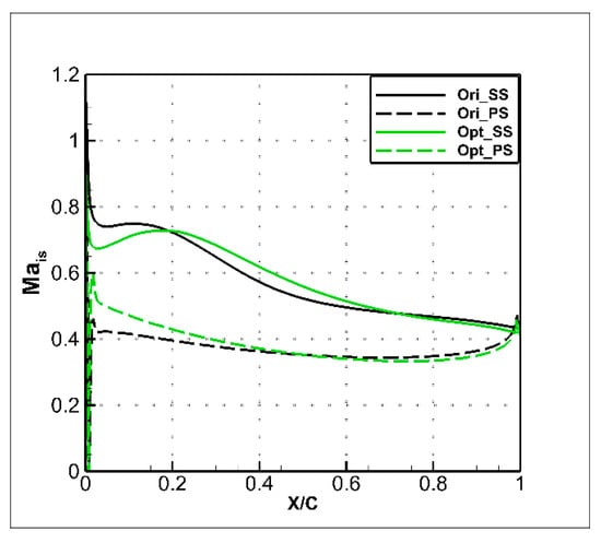
5.2. Discussion on Peak Efficiency Improvement
5.3. Discussion on Stall Margin Extending
6. Conclusions
Author Contributions
Funding
Conflicts of Interest
Nomenclature
| Ma | Mach number |
| H | dimensionless span height |
| total pressure loss | |
| Exp | experiment result |
| adiabatic efficiency | |
| m | mass flow rate |
| n | rotational speed |
| total pressure ratio | |
| V | velocity |
| D | diameter |
| G | gap |
| R | radius |
| N | blade number |
| loading coefficient | |
| mth chord length of the radial jth section line | |
| arc length of the radial jth section line | |
| arc length of the radial ith section line | |
| dimensionless horizontal coordinates | |
| nth chord length of the radial ith section line | |
| A | fluctuation amount |
| control points of the Bezier surface | |
| Bernstein functions about | |
| Bernstein functions about | |
| combinatorial number | |
| dimensionless ordinate coordinates. | |
| Ori | original compressor |
| Opt | optimized compressor |
| S | entropy |
| X | horizontal coordinates |
| C | chord length |
| p | power |
| R1 | rotor of the first stage |
| S1 | stator of the first stage |
| R2 | rotor of the second stage |
| S2 | stator of the second stage |
Subscript
| d | design point |
| s | stall point |
| h | hub |
| r | rotor |
| s | stator |
| c | casing |
| re | relative |
| ab | absolute |
| is | isentropic |
Abbreviations
| LE | leading edge |
| PS | pressure surface |
| CFD | computational fluid dynamics |
| COPES | Control Program for Engineering Synthesis |
| RANS | Reynolds-averaged Navier–Stokes |
| SS | suction surface |
| IGV | inlet guide vane |
| TE | trailing edge |
| SM | stall margin |
| EURANUS | European Aerodynamic Numerical Solver |
References
- Kalghatgi, G. Development of Fuel/Engine Systems—The Way Forward to Sustainable Transport. Engineering 2019. [Google Scholar] [CrossRef]
- Hatch, J.E.; Giamati, C.C.; Jackson, R.J. Application of Radial-Equilibrium Condition to Axial-Flow Turbomachine Design Including Consideration of Change of Entropy with Radius Downstream of Blade Row. NASA Clevel. Glenn Res. Cent, USA, RM-E54A20, 1954. Available online: https://digital.library.unt.edu/ark:/67531/metadc60256/ (accessed on 27 April 2020).
- Reynolds, B.; Etter, S.; Torony, J.; O’Connor, J. Design of a Small Axial Compressor for High Efficiency over a Wide Operating Range. In Proceedings of the ASME 1991 International Gas Turbine and Aeroengine Congress and Exposition, Orlando, FL, USA, 3–6 June 1991. [Google Scholar] [CrossRef]
- Hu, J.F.; Zhu, X.C.; Ouyang, H.; Qiang, X.Q.; Du, Z.H. Performance prediction of transonic axial compressor based on streamline curvature method. J. Mech. Sci. Technol. 2011, 25, 3037–3045. [Google Scholar] [CrossRef]
- Attia, M.S.; Li, W. A New Vortex Solution for Axial Compressor Design-Part 1: Design and Methodology. In Proceedings of the AIAA Propulsion and Energy 2019 Forum, Indianapolis, IN, USA, 19–22 August 2019. [Google Scholar] [CrossRef]
- Attia, M.S.; Li, W. A New Vortex Solution for Axial Compressor Design-Part 2: Validation and CFD Analysis. In Proceedings of the AIAA Propulsion and Energy 2019 Forum, Indianapolis, IN, USA, 19–22 August 2019. [Google Scholar] [CrossRef]
- Köller, U.; Mönig, R.; Küsters, B.; Schreiber, H.-A. 1999 Turbomachinery Committee Best Paper Award: Development of Advanced Compressor Airfoils for Heavy-Duty Gas Turbines—Part I: Design and Optimization. J. Turbomach. 1999, 122, 397–405. [Google Scholar] [CrossRef]
- Oyama, A.; Liou, M.-S.; Obayashi, S. Transonic Axial-Flow Blade Optimization: Evolutionary Algorithms/Three-Dimensional Navier-Stokes Solver. J. Propuls. Power 2004, 20, 612–619. [Google Scholar] [CrossRef]
- Astrua, P.; Piola, S.; Silingardi, A.; Bonzani, F. Multi-Objective Constrained Aero-Mechanical Optimization of an Axial Compressor Transonic Blade. In Proceedings of the ASME Turbo Expo 2012: Turbine Technical Conference and Exposition, Copenhagen, Denmark, 11–15 June 2012. [Google Scholar] [CrossRef]
- Gümmer, V.; Wenger, U.; Kau, H.-P. Using Sweep and Dihedral to Control Three-Dimensional Flow in Transonic Stators of Axial Compressors. J. Turbomach. 2000, 123, 40–48. [Google Scholar] [CrossRef]
- Gallimore, S.J.; Bolger, J.J.; Cumpsty, N.A.; Taylor, M.J.; Wright, P.I.; Place, J.M.M. The Use of Sweep and Dihedral in Multistage Axial Flow Compressor Blading—Part I: University Research and Methods Development. J. Turbomach. 2002, 124, 521–532. [Google Scholar] [CrossRef]
- Gallimore, S.J.; Bolger, J.J.; Cumpsty, N.A.; Taylor, M.J.; Wright, P.I.; Place, J.M.M. The Use of Sweep and Dihedral in Multistage Axial Flow Compressor Blading—Part II: Low and High-Speed Designs and Test Verification. J. Turbomach. 2002, 124, 533–541. [Google Scholar] [CrossRef]
- Shahpar, S.; Polynkin, A.; Toropov, V. Large scale optimization of transonic axial compressor rotor blades. In Proceedings of the 49th AIAA/ASME/ASCE/AHS/ASC Structures, Structural Dynamics, and Materials Conference, Schaumburg, IL, USA, 7–10 April 2008. [Google Scholar] [CrossRef]
- Hanan, L.; Li, Q. Analysis and application of a new type of sweep optimization on cantilevered stators for an industrial multistage axial-flow compressor. Proc. Inst. Mech. Eng. Part A J. Power Energy 2015, 230, 44–62. [Google Scholar] [CrossRef]
- Denton, J.D.; Xu, L. The exploitation of three-dimensional flow in turbomachinery design. Proc. Inst. Mech. Eng. Part C J. Mech. Eng. Sci. 1998, 213, 125–137. [Google Scholar] [CrossRef]
- Burguburu, S.; Le Pape, A. Improved aerodynamic design of turbomachinery bladings by numerical optimization. Aerosp. Sci. Technol. 2003, 7, 277–287. [Google Scholar] [CrossRef]
- Dutta, A.K.; Flassig, P.M.; Bestle, D. A Non-Dimensional Quasi-3D Blade Design Approach with Respect to Aerodynamic Criteria. In Proceedings of the ASME Turbo Expo 2008: Power for Land, Sea and Air, Berlin, Germany, 9–13 June 2008. [Google Scholar] [CrossRef]
- Sanger, N.L. The Use of Optimization Techniques to Design-Controlled Diffusion Compressor Blading. J. Eng. Power 1983, 105, 256–264. [Google Scholar] [CrossRef][Green Version]
- Küsters, B.; Schreiber, H.-A.; Köller, U.; Mönig, R. 1999 Turbomachinery Committee Best Paper Award: Development of Advanced Compressor Airfoils for Heavy-Duty Gas Turbines—Part II: Experimental and Theoretical Analysis. J. Turbomach. 1999, 122, 406–414. [Google Scholar] [CrossRef]
- Benini, E. Three-Dimensional Multi-Objective Design Optimization of a Transonic Compressor Rotor. J. Propuls. Power 2004, 20, 559–565. [Google Scholar] [CrossRef]
- Yi, W.; Huang, H.; Han, W. Design Optimization of Transonic Compressor Rotor Using CFD and Genetic Algorithm. In Proceedings of the ASME Turbo Expo 2006: Power for Land, Sea and Air, Barcelona, Spain, 8–11 May 2006. [Google Scholar] [CrossRef]
- Yang, C.; Han, G.; Zhao, S.; Lu, X.; Zhang, Y.; Li, Z. Design and Test of a Novel Highly-Loaded Compressor. In Proceedings of the Turbo Expo: Power for Land, Sea and Air., Phoenix, AZ, USA, 17–21 June 2019. [Google Scholar] [CrossRef]
- Beheshti, B.H.; Teixeira, J.A.; Ivey, P.C.; Ghorbanian, K.; Farhanieh, B. Parametric Study of Tip Clearance—Casing Treatment on Performance and Stability of a Transonic Axial Compressor. J. Turbomach. 2004, 126, 527–535. [Google Scholar] [CrossRef]
- Wang, D.X.; He, L. Adjoint Aerodynamic Design Optimization for Blades in Multistage Turbomachines—Part I: Methodology and Verification. J. Turbomach. 2010, 132, 021011. [Google Scholar] [CrossRef]
- Wang, D.X.; He, L.; Li, Y.S.; Wells, R.G. Adjoint Aerodynamic Design Optimization for Blades in Multistage Turbomachines—Part II: Validation and Application. J. Turbomach. 2010, 132, 021012. [Google Scholar] [CrossRef]
- Luo, J.; Zhou, C.; Liu, F. Multipoint Design Optimization of a Transonic Compressor Blade by Using an Adjoint Method. J. Turbomach. 2013, 136, 051005. [Google Scholar] [CrossRef]
- Samad, A.; Kim, K.-Y.; Goel, T.; Haftka, R.T.; Shyy, W. Multiple Surrogate Modeling for Axial Compressor Blade Shape Optimization. J. Propuls. Power 2008, 24, 301–310. [Google Scholar] [CrossRef]
- Lian, Y.; Liou, M.-S. Multiobjective Optimization Using Coupled Response Surface Model and Evolutionary Algorithm. AIAA J. 2005, 43, 1316–1325. [Google Scholar] [CrossRef]
- Mengistu, T.; Ghaly, W. Aerodynamic optimization of turbomachinery blades using evolutionary methods and ANN-based surrogate models. Optim. Eng. 2007, 9, 239–255. [Google Scholar] [CrossRef]
- Wang, W.; Yuan, S.; Pei, J.; Zhang, J. Optimization of the diffuser in a centrifugal pump by combining response surface method with multi-island genetic algorithm. Proc. Inst. Mech. Eng. Part E J. Process. Mech. Eng. 2016, 231, 191–201. [Google Scholar] [CrossRef]
- Kim, S.; Kim, K.; Son, C. Adaptation Method for Overall and Local Performances of Gas Turbine Engine Model. Int. J. Aeronaut. Space Sci. 2018, 19, 250–261. [Google Scholar] [CrossRef]
- Jiang, Y.; Lin, H.; Yue, G.; Zheng, Q.; Xu, X. Aero-thermal optimization on multi-rows film cooling of a realistic marine high pressure turbine vane. Appl. Therm. Eng. 2017, 111, 537–549. [Google Scholar] [CrossRef]





















| Parameter | Symbol | Value |
|---|---|---|
| Design total pressure ratio | 2.7 | |
| Design mass flow rate (kg/sec) | 4.6 | |
| Design adiabatic efficiency | 0.865 | |
| Design rotational speed (rpm) | 25,000 | |
| Design rotor tip speed (m/s) | 361 | |
| Casing diameter (mm) | 276 | |
| Rotor tip gap (mm) | 0.2 | |
| Stator hub gap(mm) | 0.15 | |
| Inlet hub-tip radius ratio | 0.72 | |
| Blade numbers | N | 31,36,59,45,69 |
| Tip stage loading coefficient | 0.46,0.37 | |
| Power(kw) | p | 500 |
© 2020 by the authors. Licensee MDPI, Basel, Switzerland. This article is an open access article distributed under the terms and conditions of the Creative Commons Attribution (CC BY) license (http://creativecommons.org/licenses/by/4.0/).
Share and Cite
Huang, S.; Cheng, J.; Yang, C.; Zhou, C.; Zhao, S.; Lu, X. Optimization Design of a 2.5 Stage Highly Loaded Axial Compressor with a Bezier Surface Modeling Method. Appl. Sci. 2020, 10, 3860. https://doi.org/10.3390/app10113860
Huang S, Cheng J, Yang C, Zhou C, Zhao S, Lu X. Optimization Design of a 2.5 Stage Highly Loaded Axial Compressor with a Bezier Surface Modeling Method. Applied Sciences. 2020; 10(11):3860. https://doi.org/10.3390/app10113860
Chicago/Turabian StyleHuang, Song, Jinxin Cheng, Chengwu Yang, Chuangxin Zhou, Shengfeng Zhao, and Xingen Lu. 2020. "Optimization Design of a 2.5 Stage Highly Loaded Axial Compressor with a Bezier Surface Modeling Method" Applied Sciences 10, no. 11: 3860. https://doi.org/10.3390/app10113860
APA StyleHuang, S., Cheng, J., Yang, C., Zhou, C., Zhao, S., & Lu, X. (2020). Optimization Design of a 2.5 Stage Highly Loaded Axial Compressor with a Bezier Surface Modeling Method. Applied Sciences, 10(11), 3860. https://doi.org/10.3390/app10113860

