Safe pHRI via the Variable Stiffness Safety-Oriented Mechanism (V2SOM): Simulation and Experimental Validations †
Abstract
1. Introduction
- The stiffness behavior, in the vicinity of zero deflection, is smoothened via a cam follower mechanism.
- The stiffness sharply sinks to maintain, theoretically, as discussed in Section 2, a constant torque threshold in case of a collision.
- The torque threshold, , is tunable according to the load variation.
2. Materials and Methods
2.1. Different VSMs’ Basic Stiffness Curves
- Constant stiffness: this basic stiffness profile is shown in Figure 2a and exemplified in the second column of Table 1 by an actuator with adjustable stiffness (AwAS-II) [19]. At each curve of the AwAS-II characteristic, the stiffness remains practically constant. To adapt this mechanism to a variable load, the torque’s slope is tuned via a small motor.
- Biomimetically inspired stiffness, shown in Figure 2b, represents different VSAs, such as the ones developed at the German Aerospace Center (DLR) Institute of Robotics and Mechatronics, the floating spring joint (FSJ) [20], QA-joint (Quasi-Antagonistic Joint) [21], FAS (Flexible Antagonistic Spring) [22] or the one presented by Ayoubi et al. [23]. The third column of Table 1 shows the floating spring joint (FJS) prototype with a stiffness that increases along with the deflection, the same as in biological muscles [23].
- Torque limiter: Park introduced [24,25] the safe joint mechanism (SJM) (see fourth column of Table 1), which is based on a slider-crank mechanism. Its basic stiffness curve corresponds to the one in Figure 2c. This mechanism is supposed to remain stiff under a certain torque level . Upon exceeding it, the stiffness rapidly drops to maintain the torque at level, which represents the safety threshold. As the SJM is a slider-crank-based mechanism that is well known for its sensitivity to friction in the vicinity of zero deflection, the safety threshold may be easily exceeded in the case of blunt shocks, as shown by Park and colleagues [26]. For this reason, we introduced the V2SOM basic curve (see Figure 2c,d). In the next section, the full V2SOM characteristic, which allows for coping with load variation, unlike the SJM, is shown. The latter curve presents a finite value stiffness near zero deflection, which continuously drops to display a constant torque threshold . The following equation depicts the desired behavior:where s is a positive constant and the elastic deflection angle is in the range of 0 to .
- Factor 1. The maximal stored elastic energy in “normal working conditions,” (i.e., not during collision scenarios). This quantifies how much elastic energy is stored in the VSM that can be unleashed as collision kinetic energy, hence increasing the damaging effect of a potential collision.
- Factor 3. Gravity-induced elastic deflection: this criterion quantifies the VSM’s ability to passively limit this elastic deflection, which reduces the controller’s compensation action.
2.2. Working Principle of V2SOM
- The SGB is characterized by the curve of the torque vs. deflection angle . This curve is obtained through the cam profile, the followers, and other design parameters. The basic torque curve leading to the torque characteristic of the V2SOM is depicted in Figure 6a. This basic curve is elaborated with a torque threshold equal to .
- The SAB is considered a quasi-linear continuous reducer (QLCR) and defined by its ratio expression given in Figure 6b. The ratio is a function of the NL (Nonlinear) factor, the deflection angle , and the reducer’s tuning parameter . The NL (Nonlinear) factor is linked to the SAB’s internal parameters and can be approximated with a constant when the deflection range is between and ; this process is discussed in the next section.
2.3. Understanding Stiffness and Adjusting the Block’s Behavior
- Solid curves represent the QLCR reduction ratio, multiplied by a constant C related to the mechanism’s parameters.
- Dotted line curves represent an ideally equivalent reducer (), where the reduction ratio is constant while the deflection angle changes. The following equation describes this ideal approximation:
3. Safety Criteria: V2SOM vs. Constant Stiffness
3.1. Safety Criteria
- G: The generalized model for brain injury threshold was introduced by Newman (see [33,34]). This index considers both the direction of the impact and the angular accelerations. The G index is valid for 50% of probability of AIS ≥ 3, which does not help to evaluate safe and human-friendly HR collisions, where AIS ≤ 1.
- HIC quantifies high accelerations of the brain (concussion) during blunt shocks even for a short amount of time; for example, less than 15 ms can cause severe, irreversible health effects [35].
- ImpF (also known as contact force) is quite interesting as it can be applied to the whole body. This value is considered for a specific contact surface with a minimum area.
- Compression criterion (CC) reflects the damaging effect of human–robot (HR) collisions by means of deformation depth, mainly adopted for the naturally compliant chest and belly regions.
3.2. Human–Robot Collision Model
- Neck viscoelastic parameters , .
- Head’s mass and linear displacement x.
- The contact surface viscoelastic parameters , .
- Robot arm contact position l and inertia .
- Rotor inertia , torque , and angular position .
- VSM’s stiffness and angular deflection .
3.2.1. Inertia Decoupling
3.2.2. Torque Decoupling
4. Experimental Validation of V2SOM
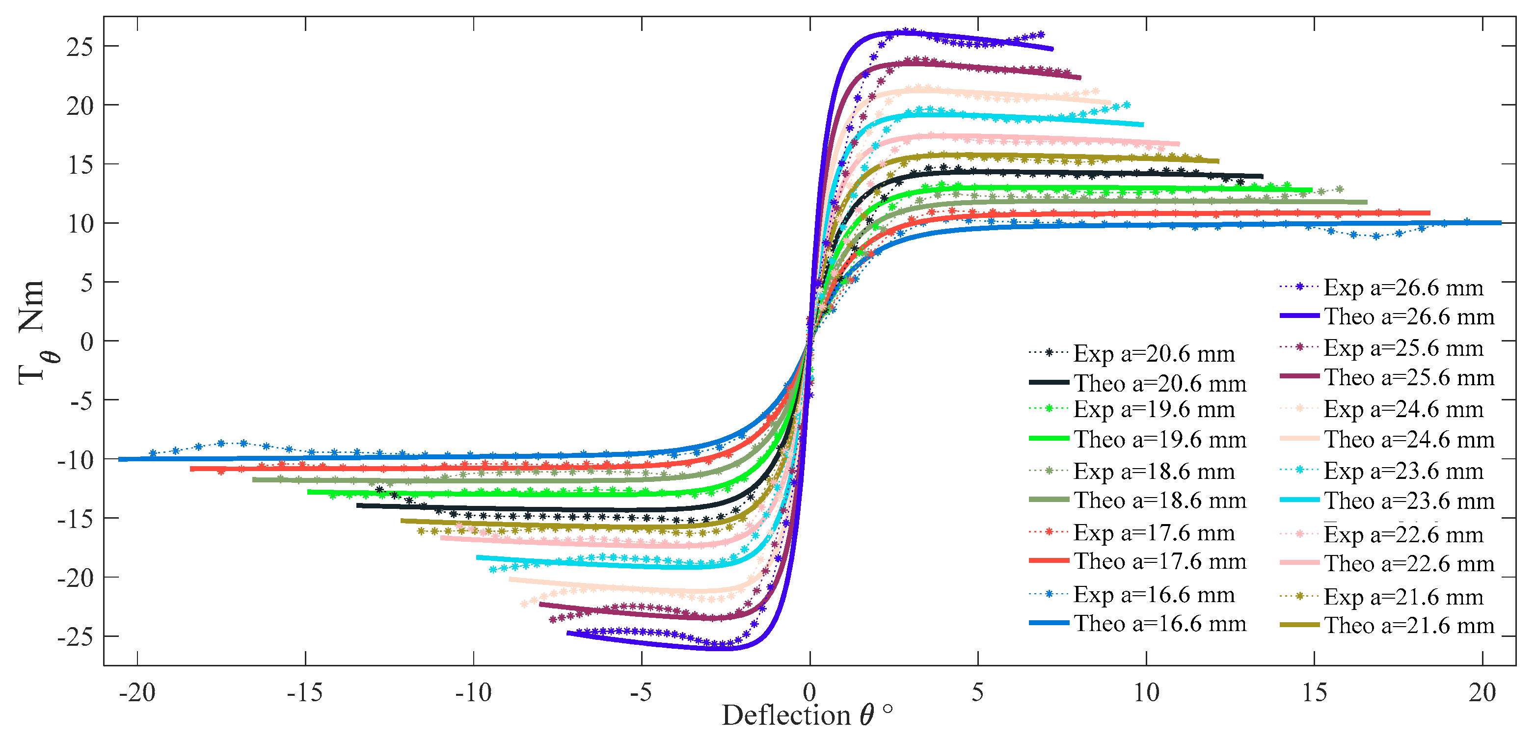
4.1. Quasi-Static Characterization of V2SOM
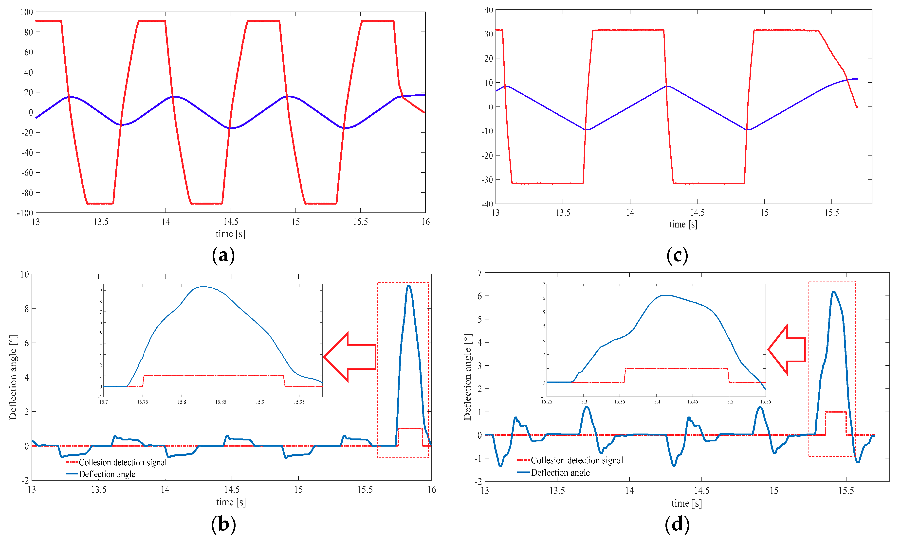
4.2. Preliminary HR Collision Tests
5. Discussion
6. Conclusions and Future Work
- In normal working conditions, characterized by high stiffness, the proposed mechanism limits the storable elastic energy that increases the absorbed kinetic energy in case of a sudden HR shock. Moreover, this high stiffness limits the elastic deflection to near zero, which eases the robot control.
- In the case of a blunt HR impact, V2SOM stiffness promptly decreases, allowing fast absorption of the collision energy.
7. Patents
Author Contributions
Funding
Acknowledgments
Conflicts of Interest
Appendix A
| Mechanical | ||||
| 1 | Lowest Safety Threshold Torque | (Nm) | 9.7 | |
| 2 | Safety Threshold Variation Time (from nominal level to completely stiff state) | With/Without Load (prone improvement) | (s) | 1.6 |
| 3 | Maximum Stiffness | (Nm/rad) | ||
| 4 | Minimum Stiffness | (Nm/rad) | ~0 | |
| 5 | Maximum Elastic Energy | (J) | 2.98 | |
| 6 | Maximum Deflection | With Maximum Safety Threshold | (°) | 0 |
| With Minimum Safety Threshold | (°) | 20 | ||
| 7 | Active Rotation Angle | (°) | ||
| 8 | Angular Resolution | (°) | 0.0313 | |
| 9 | Weight | (Kg) | 0.970 | |
| Electrical | ||||
| 10 | Nominal Voltage | (V) | 12 | |
| 11 | Nominal Current | (A) | 0.010 | |
| 12 | Maximum Current | (A) | 0.500 | |
| Control | ||||
| 13 | Voltage Supply | (V) | 12 | |
| 14 | Nominal Current | (A) | 0.105 | |
| 15 | I/O Protocol | CAN (Controller Area Network) (1 Mbit/s) | ||
References
- Lu, Y. Industry 4.0: A survey on technologies, applications and open research issues. J. Ind. Inf. Integr. 2017, 6, 1–10. [Google Scholar] [CrossRef]
- Tobe, F. Why Co-Bots Will Be a Huge Innovation and Growth Driver for Robotics Industry. Available online: https://www.aitrends.com/robotics/why-co-bots-will-be-a-huge-innovation-and-growth-driver-for-robotics-industry/ (accessed on 1 January 2016).
- Grioli, G.; Wolf, S.; Garabini, M.; Catalano, M.G.; Burdet, E.; Caldwell, D.; Carloni, R.; Friedl, W.; Grebenstein, M.; Laffranchi, M.; et al. Variable stiffness actuators: The user’s point of view. Int. J. Robot. Res. 2015, 34, 727–743. [Google Scholar] [CrossRef]
- Haddadin, S.; De Luca, A.; Albu-Schaffer, A. Robot Collisions: A Survey on Detection, Isolation, and Identification. IEEE Trans. Robot. 2017, 33, 1292–1312. [Google Scholar] [CrossRef]
- Zinn, M.; Khatib, O.; Roth, B.; Salisbury, J. Playing it safe. IEEE Robot. Autom. Mag. 2004, 11, 12–21. [Google Scholar] [CrossRef]
- Jianbin, H.; Zongwu, X.; Minghe, J.; Zainan, J.; Hong, L. Adaptive Impedance-controlled Manipulator Based on Collision Detection. Chin. J. Aeronaut. 2009, 22, 105–112. [Google Scholar] [CrossRef]
- Haddadin, S.; Albu-Schaffer, A.; Hirzinger, G. The role of the robot mass and velocity in physical human-robot interaction—Part I: Non-constrained blunt impacts. In Proceedings of the IEEE International Conference on Robotics and Automation, Nice, France, 22–26 September 2008. [Google Scholar]
- Heinzmann, J.; Zelinsky, A. Quantitative Safety Guarantees for Physical Human-Robot Interaction. Int. J. Robot. Res. 2003, 22, 479–504. [Google Scholar] [CrossRef]
- Haddadin, S.; Albu-Schaffer, A.; Frommberger, M.; Hirzinger, G. The role of the robot mass and velocity in physical human-robot interaction—Part II: Constrained blunt impacts. In Proceedings of the IEEE International Conference on Robotics and Automation, Nice, France, 19 May 2008. [Google Scholar]
- Pratt, G.A.; Williamson, M.M. Series elastic actuators. In Proceedings of the IEEE/RSJ International Conference on Intelligent Robots and Systems. Human Robot Interaction and Cooperative Robots, Pittsburgh, PA, USA, 5–9 August 1995. [Google Scholar]
- Corral, E.; García, M.; Castejon, C.; Meneses, J.; Gismeros, R. Dynamic Modeling of the Dissipative Contact and Friction Forces of a Passive Biped-Walking Robot. Appl. Sci. 2020, 10, 2342. [Google Scholar] [CrossRef]
- Mathijssen, G.; Cherelle, P.; Lefeber, D.; VanderBorght, B. Concept of a Series-Parallel Elastic Actuator for a Powered Transtibial Prosthesis. Actuators 2013, 2, 59–73. [Google Scholar] [CrossRef]
- Zinn, M.; Roth, B.; Khatib, O.; Salisbury, J.K. A New Actuation Approach for Human Friendly Robot Design. Int. J. Rob. Res. 2004, 23, 379–398. [Google Scholar] [CrossRef]
- Wolf, S.; Grioli, G.; Eiberger, O.; Friedl, W.; Grebenstein, M.; Hoppner, H.; Burdet, E.; Caldwell, D.G.; Carloni, R.; Catalano, M.G.; et al. Variable Stiffness Actuators: Review on Design and Components. IEEE/ASME Trans. Mechatron. 2015, 21, 2418–2430. [Google Scholar] [CrossRef]
- López-Martínez, J.; García-Vallejo, D.; Giménez-Fernández, A.; Torres-Moreno, J.L. A Flexible Multibody Model of a Safety Robot Arm for Experimental Validation and Analysis of Design Parameters. J. Comput. Nonlinear Dyn. 2013, 9, 011003. [Google Scholar] [CrossRef]
- Hyun, D.; Yang, H.S.; Park, J.; Shim, Y. Variable stiffness mechanism for human-friendly robots. Mech. Mach. Theory 2010, 45, 880–897. [Google Scholar] [CrossRef]
- Tagliamonte, N.L.; Sergi, F.; Accoto, D.; Carpino, G.; Guglielmelli, E. Double actuation architectures for rendering variable impedance in compliant robots: A review. Mechatronics 2012, 22, 1187–1203. [Google Scholar] [CrossRef]
- VanderBorght, B.; Albu-Schaeffer, A.; Bicchi, A.; Burdet, E.; Caldwell, D.; Carloni, R.; Catalano, M.G.; Eiberger, O.; Friedl, W.; Ganesh, G.; et al. Variable impedance actuators: A review. Robot. Auton. Syst. 2013, 61, 1601–1614. [Google Scholar] [CrossRef]
- Jafari, A.; Tsagarakis, N.G.; Caldwell, D. AwAS-II: A new Actuator with Adjustable Stiffness based on the novel principle of adaptable pivot point and variable lever ratio. In Proceedings of the IEEE International Conference on Robotics and Automation, Shanghai, China, 9–13 May 2011. [Google Scholar]
- Wolf, S.; Eiberger, O.; Hirzinger, G. The DLR FSJ: Energy based design of a variable stiffness joint. In Proceedings of the 2011 IEEE International Conference on Robotics and Automation, Shanghai, China, 9–13 May 2011. [Google Scholar]
- Eiberger, O.; Haddadin, S.; Weiß, M.; Albu-Schaffer, A.; Hirzinger, G. On joint design with intrinsic variable compliance: Derivation of the DLR QA-Joint. In Proceedings of the 2010 IEEE International Conference on Robotics and Automation, Anchorage, Alaska, 3 May 2010. [Google Scholar]
- Friedl, W.; Chalon, M.; Reinecke, J.; Grebenstein, M. FAS A flexible antagonistic spring element for a high performance over. In Proceedings of the 2011 IEEE/RSJ International Conference on Intelligent Robots and Systems, San Francisco, CA, USA, 25–30 September 2011. [Google Scholar]
- Ayoubi, Y.; Laribi, M.A.; Courreges, F.; Zeghloul, S.; Arsicault, M. A complete methodology to design a safety mechanism for prismatic joint implementation. In Proceedings of the 2016 IEEE/RSJ International Conference on Intelligent Robots and Systems (IROS), Daejeon, Korea, 9–14 October 2016. [Google Scholar]
- Lan, N.; Crago, P.E. Optimal control of antagonistic muscle stiffness during voluntary movements. Boil. Cybern. 1994, 71, 123–135. [Google Scholar] [CrossRef] [PubMed]
- Park, J.-J.; Song, J.-B. A Nonlinear Stiffness Safe Joint Mechanism Design for Human Robot Interaction. J. Mech. Des. 2010, 132, 061005. [Google Scholar] [CrossRef]
- Park, J.-J.; Lee, Y.-J.; Song, J.-B.; Kim, H.-S. Safe joint mechanism based on nonlinear stiffness for safe human-robot collision. In Proceedings of the 2008 IEEE International Conference on Robotics and Automation, Pasadena, CA, USA, 19–23 May 2008. [Google Scholar]
- Petit, F.; Friedl, W.; Höppner, H.; Grebenstein, M. Analysis and Synthesis of the Bidirectional Antagonistic Variable Stiffness Mechanism. IEEE/ASME Trans. Mechatron. 2014, 20, 684–695. [Google Scholar] [CrossRef]
- Meneses, J.; Garcia-Prada, J.C.; Castejon, C.; Rubio, H.; Corral, E. The kinematics of the rotary into helical gear transmission. Mech. Mach. Theory 2017, 108, 110–122. [Google Scholar] [CrossRef]
- Ayoubi, Y.; Laribi, M.A.; Arsicault, M.; Zeghloul, S.; Courreges, F. Mechanical Device with Variable Compliance for Rotary Motion Transmission. WO 2019/043068 A1, 7 March 2019. [Google Scholar]
- Ayoubi, Y.; Laribi, M.A.; Zeghloul, S.; Arsicault, M. Design of V2SOM: The safety mechanism for cobot’s rotary joints. In IFToMM Symposium on Mechanism Design for Robotics; Springer: Cham, Switzerland, 2018; pp. 147–157. [Google Scholar]
- Payne, D.A.R.; Patel, S. Levels Of Consciousness In Relation To Head Injury Criteria. 2001. Available online: http://www.eurailsafe.net/subsites/operas/HTML/appendix/Table13.htm (accessed on 1 January 2017).
- HIC Tolerance Levels Correlated To Brain Injury. Available online: http://www.eurailsafe.net/subsites/operas/HTML/appendix/Table14.htm (accessed on 3 June 2015).
- Newman, J.A. A generalized acceleration model for brain injury threshold (GAMBIT). In Proceedings of the International IRCOBI Conference, Zurich, Switzerland, 2–4 September 1986. [Google Scholar]
- Alén-Cordero, C.; Carbone, G.; Ceccarelli, M.; Echávarri, J.; Muñoz, J.L. Experimental tests in human–robot collision evaluation and characterization of a new safety index for robot operation. Mech. Mach. Theory 2014, 80, 184–199. [Google Scholar] [CrossRef]
- Gao, D.; Wampler, C.W. Assessing the Danger of Robot Impact. IEEE Robot. Autom. Mag. 2009, 16, 71–74. [Google Scholar] [CrossRef]

















| Stiffness Profile | Variable-Constant Stiffness | Variable-Biomimetically Inspired Stiffness | Torque Limiter |
|---|---|---|---|
| Illustrative prototype | Actuator with Adjustable Stiffness (AwAS-II)![]() | Floating Spring Joint (FSJ)![]() | Safe Joint Mechanism (SJM)![]() |
| Prototype’s full characteristic | ![]() | ![]() | ![]() |
| Factors | Profile Figure 2a | Profile Figure 2b | V2SOM Basic Profile |
|---|---|---|---|
| Maximal stored elastic energy | ++ | +++ | + |
| Passive torque limitation | + + | + | + + + |
| Gravity-induced elastic deflection | + + | + | + + + |
| Body Region | ImpF (N) for AIS ≤ 1 | CC (N/mm) | ||
|---|---|---|---|---|
| Head/Neck | Face | 90 | 75 | 150 |
| Neck/sides | 190 | 50 | ||
| Trunk | Belly | 160 | 10 | |
© 2020 by the authors. Licensee MDPI, Basel, Switzerland. This article is an open access article distributed under the terms and conditions of the Creative Commons Attribution (CC BY) license (http://creativecommons.org/licenses/by/4.0/).
Share and Cite
Ayoubi, Y.; Laribi, M.A.; Arsicault, M.; Zeghloul, S. Safe pHRI via the Variable Stiffness Safety-Oriented Mechanism (V2SOM): Simulation and Experimental Validations. Appl. Sci. 2020, 10, 3810. https://doi.org/10.3390/app10113810
Ayoubi Y, Laribi MA, Arsicault M, Zeghloul S. Safe pHRI via the Variable Stiffness Safety-Oriented Mechanism (V2SOM): Simulation and Experimental Validations. Applied Sciences. 2020; 10(11):3810. https://doi.org/10.3390/app10113810
Chicago/Turabian StyleAyoubi, Younsse, Med Amine Laribi, Marc Arsicault, and Saïd Zeghloul. 2020. "Safe pHRI via the Variable Stiffness Safety-Oriented Mechanism (V2SOM): Simulation and Experimental Validations" Applied Sciences 10, no. 11: 3810. https://doi.org/10.3390/app10113810
APA StyleAyoubi, Y., Laribi, M. A., Arsicault, M., & Zeghloul, S. (2020). Safe pHRI via the Variable Stiffness Safety-Oriented Mechanism (V2SOM): Simulation and Experimental Validations. Applied Sciences, 10(11), 3810. https://doi.org/10.3390/app10113810







