Probabilistic Analysis of Fatigue Behavior of Single Lap Riveted Joints
Abstract
1. Introduction
2. Materials and Methods
3. Fatigue Tests Results and Discussion
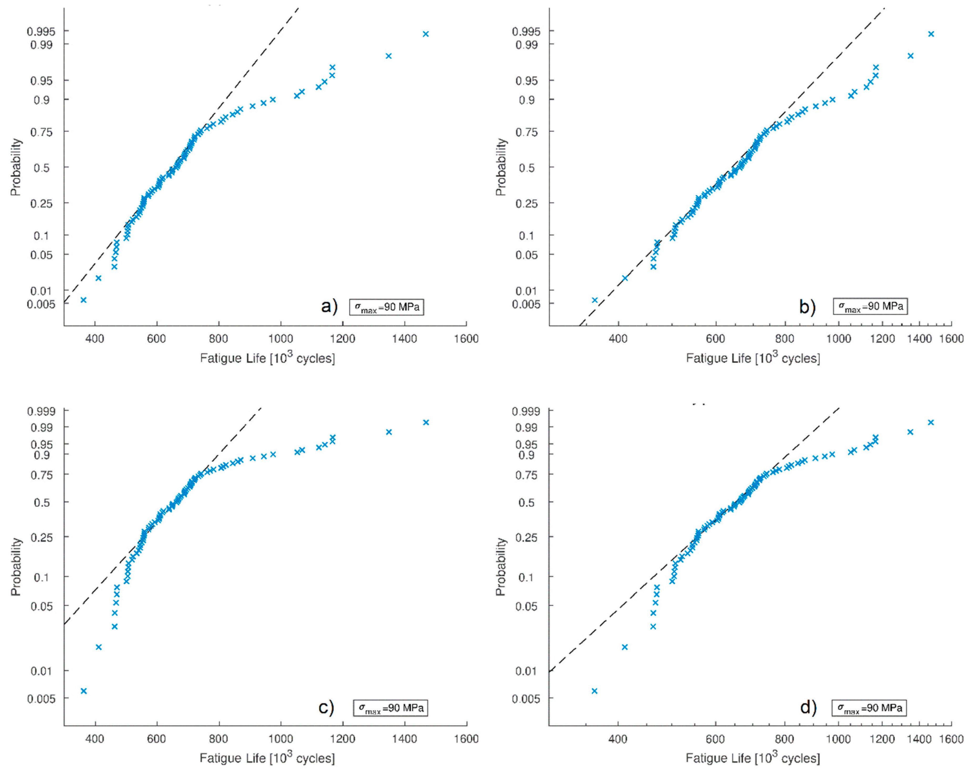
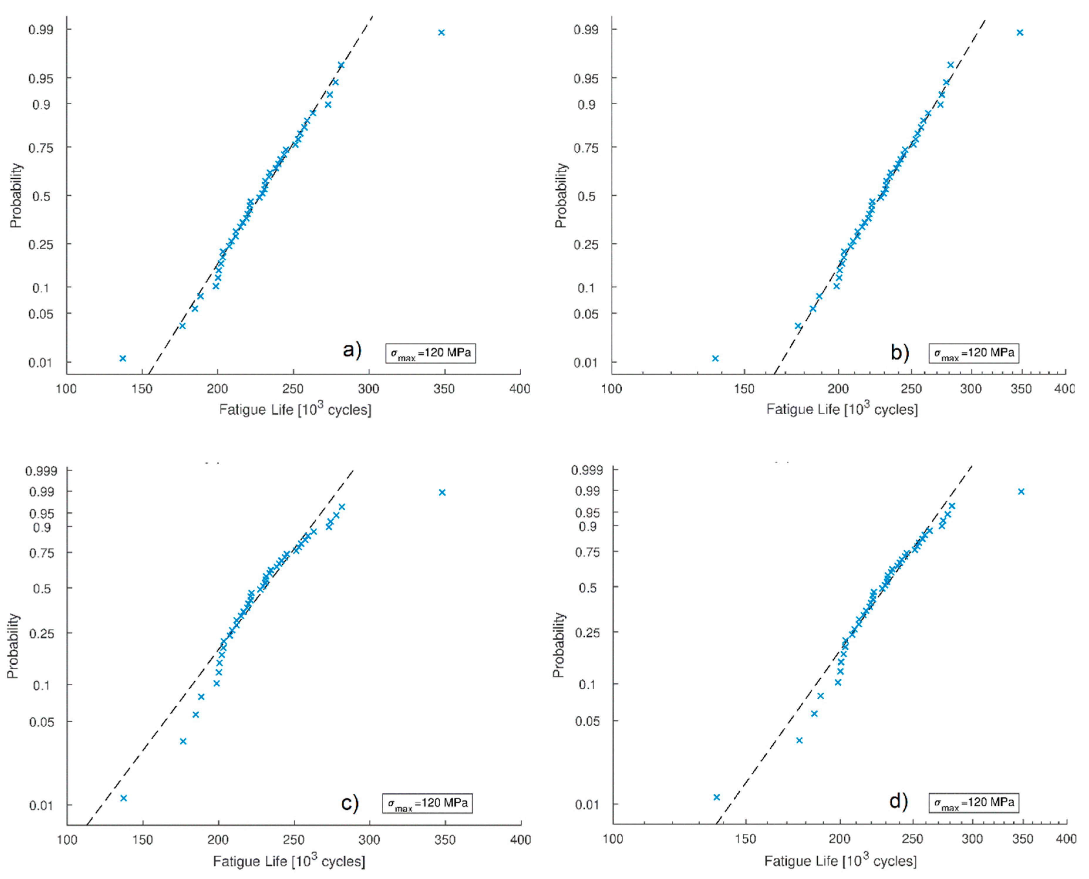
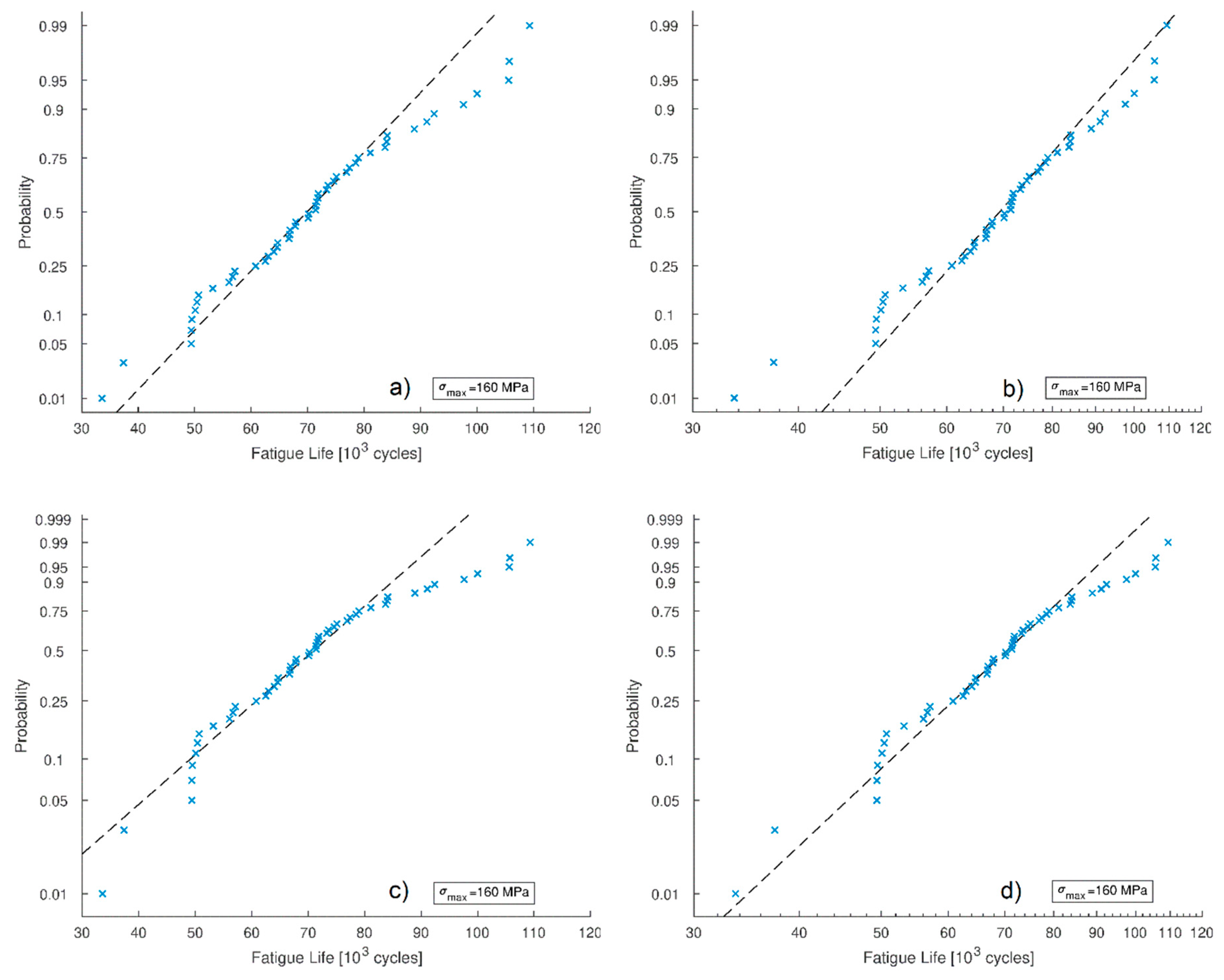
3.1. Fatigue Life
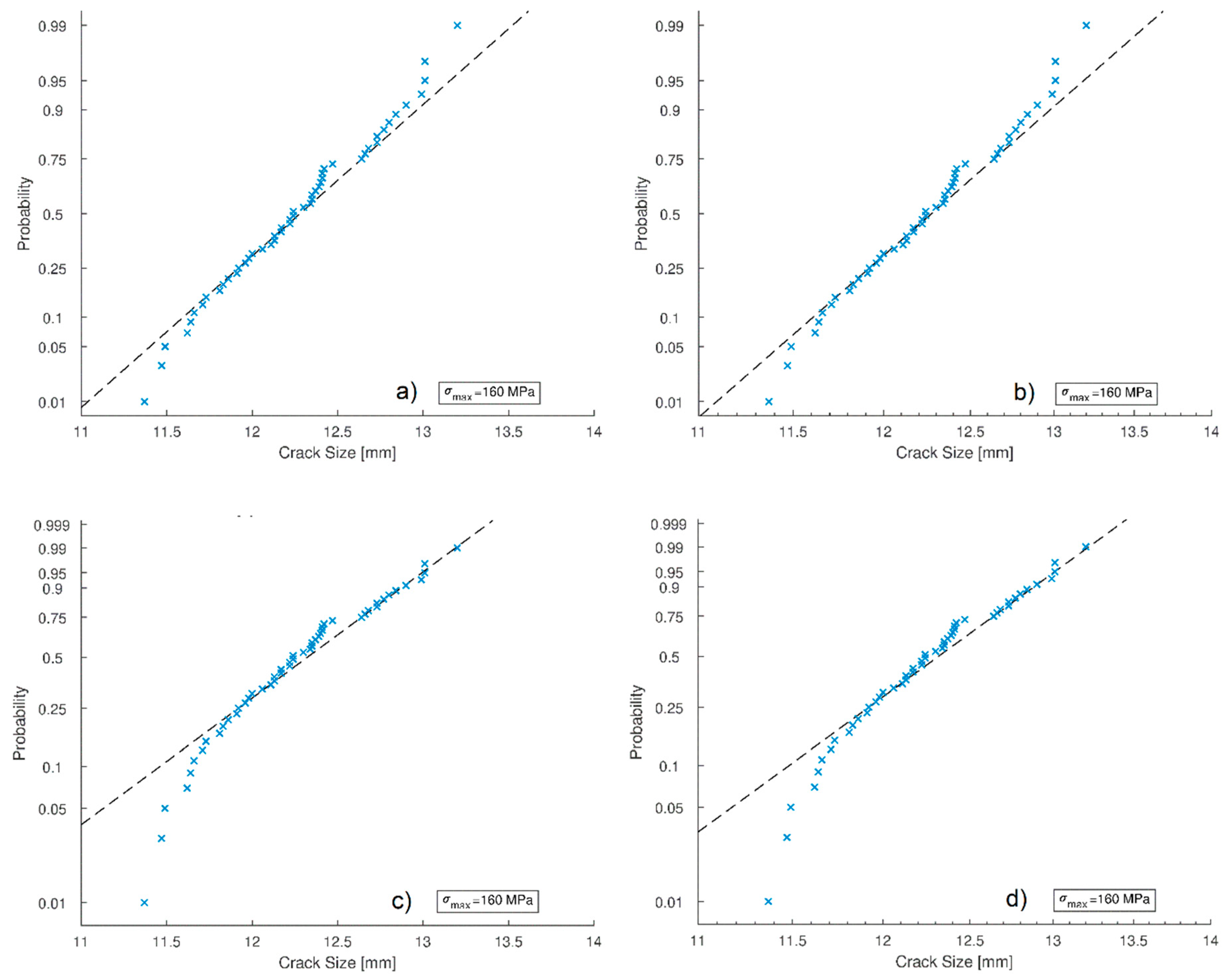
3.2. Critical Crack Size and Location
4. Statistical Analysis: Anderson–Darling Test
5. Conclusions
Author Contributions
Funding
Conflicts of Interest
References
- Blake, A. Design of Mechanical Joints; Marcel Dekker Inc: New York, NY, USA, 1985. [Google Scholar]
- Chen, Y.; Yang, X.; Li, M.; Wei, K.; Li, S. Mechanical behavior and progressive failure analysis of riveted, bonded and hybrid joints with CFRP-aluminum dissimilar materials. Thin. Walled. Struct. 2019, 139, 271–280. [Google Scholar] [CrossRef]
- Hossein Cheraghi, S. Effects of variation in the riveting process on the quality of riveted joints. Int. J. Adv. Manuf. Tech. 2008, 39, 1144–1155. [Google Scholar] [CrossRef]
- Chowdhyry, N.; Chiu, W.K.; Wang, J.; Chang, P. Static and fatigue testing thin riveted, boned and hybrid carbon fiber double lap joints used in aircraft structures. Compos. Struct. 2015, 121, 315–323. [Google Scholar] [CrossRef]
- Henssen, A.; Olovsoon, L.; Porcaro, R.; Langseth, M. A large-scale finite element point-connector model for self-piercing rivet connections. Eur. J. Mech. Solids. 2010, 29, 484–495. [Google Scholar] [CrossRef]
- Vivio, F. A new theoretical approach for structural modelling of riveted and spot welded multi-spot structures. Int. J. Solid. Struct. 2009, 46, 4006–4024. [Google Scholar] [CrossRef]
- Hassanifard, S.; Adibeig, M.R.; Mohammadpour, M.; Varvani-Farahani, A. Fatigue life of axially loaded clamped rivet-nut joints: experiments and analyses. Int. J. Fatigue 2019, 129, 105254. [Google Scholar] [CrossRef]
- Di Cicco, F.; Fanelli, P.; Vivio, F. Fatigue reliability evaluation of riveted lap joint using a new rivet element and DFR. Int. J. Fatigue 2017, 101, 430–438. [Google Scholar] [CrossRef]
- Mohammadpour, M.; Kalajahi, M.H.; Oskouei, R.H.; Shakouri, M. Fatigue life estimation of coach peel riveted joints using multi-axial fatigue criteria. Mater. Des. 2014, 62, 327–333. [Google Scholar] [CrossRef]
- Da Silva, L.F.M.; Carbas, R.J.C.; Critchlow, G.W.; Figureido, M.A.V.; Brown, K. Effect of material, geometry, surface treatment and environment on the shear strength of single lap joints. Int. J. Adhes. Adhes. 2009, 29, 621–632. [Google Scholar] [CrossRef]
- Skorupa, A.; Skorupa, M. Riveted Lap Joints in Aircraft Fuselage. Design, Analysis and Properties; Springer: New York, NY, USA, 2012. [Google Scholar]
- Skorupa, M.; Machniewicz, T.; Skorupa, A.; Korbel, A. Fatigue strength reduction factors at rivet holes for aircraft fuselage lap joints. Int. J. Fatigue 2015, 80, 417–425. [Google Scholar] [CrossRef]
- Liao, M.; Shi, G.; Xiong, Y. Analytical methodology for predicting fatigue life distribution of fuselage splices. Int. J. Fatigue 2001, 23, 177–185. [Google Scholar] [CrossRef]
- Li, G.; Shi, G.; Bellinger, N.C. Stress in triple-row riveted lap joints under the influence of specific factors. J. Aircraft. 2011, 48, 527–539. [Google Scholar] [CrossRef]
- Newmann, J.C.; Ramakrishan, R. Fatigue crack-growth analyses of riveted lap-joints in a retired aircraft. Int. J. Fatigue 2016, 82, 342–349. [Google Scholar] [CrossRef]
- Yeter, E. Thermal fatigue analyses of riveted structures. Mechanics 2018, 24. [Google Scholar] [CrossRef]
- De Jesus, A.M.; Pinto, H.; Fernàndez-Canteli, A.; Castillo, E.; Correia, J.A. Fatigue assessment of a riveted shear splice based on a probabilistic model. Int. J. Fatigue 2009, 32, 453–462. [Google Scholar] [CrossRef]
- Pilkey, W.D.; Pilkey, D.F. Peterson’s Stress Concentration Factors, 3rd ed.; John Wiley & Sons: Hobeken, NJ, USA, 2008. [Google Scholar]
- Huang, W.; Wang, T.J.; Garbatov, Y.; Soares, C.G. Fatigue reliability assessment of riveted lap joint of aircraft structures. Int. J. Fatigue 2012, 43, 54–61. [Google Scholar] [CrossRef]
- Huang, W.; Wang, T.-J.; Gorbatov, Y.; Soares, C.G. DFR based fatigue reliability assessment of riveted lap joint accounting for correlations. Int. J. Fatigue 2013, 47, 106–114. [Google Scholar] [CrossRef]
- EverySpec.com. Available online: http://everyspec.com/MIL-HDBK/MIL-HDBK-0001-0099/MIL-HDBK-5J_NOTICE-2_11340/ (accessed on 10 April 2020).
- Conner, Z. Quantitative Investigation of Surface and Subsurface Cracks Near Rivets in Riveted Joints Using Acoustic, Electron and Optical Microscopy. Ph.D. Theses, Northwestern University Center for Nondestructive Evaluation Theses and Dissertations, Chicago, IL, USA, 2000. [Google Scholar]
- Wanhill, R.J.H.; Hattenberg, T.; Van der Hoeven, W. A Practical Investigation of Aircraft Pressure Cabin MSD Fatigue and Corrosion, NLR Contract Report CR-2001-256; National Aerospace Laboratory NLR: Amsterdam, The Netherlands, June 2001. [Google Scholar]
- Razali, N.M.; Wah, Y.B. Power comparisons of shapiro-wilk, kolmogorov-smirnov, lilliefors and Anderson-darling tests. J. Statistical. Model. Analyt. 2011, 2, 21–33. [Google Scholar]
- Kasu, S.R.; Deb, S.; Mitra, N.; Muppireddy, M.; Kusam, S.R. Influencce of aggregate size on flexural fatigue response of concrete. Constr. Build. Mater. 2019, 229, 116–922. [Google Scholar] [CrossRef]
- Bag, A.; Delbergue, D.; Bocher, P.; Lévesque, M.; Brochu, M. Statistical analysis of high cycle fatigue life and inclusion size distribution in shoot peened 300M steel. Int. J. Fatigue 2019, 118, 126–138. [Google Scholar] [CrossRef]
- Tellom, L.; Castejon, L.; Malon, H.; Valladares, D.; Luque, P.; Mantaras, D.A.; Ranz, D.; Cuartero, J. Development of a fatigue life prediction methodology for welded steel semi-trailer components bassed on a new criterion. Eng. Fail. Anal. 2020, 108, 104268. [Google Scholar] [CrossRef]
- Anderson, T.W.; Darling, D.A. A test of goodness of fit. J. Am. Stat. Assoc. 1954, 49, 765–769. [Google Scholar] [CrossRef]
- Jäntschi, L.; Bolboacă, S.D. Computation of probability associated with Anderson-Darling statistic. Mathematics 2018, 6, 88. [Google Scholar] [CrossRef]













| Material | Cu | Mg | Mn | Fe | Cr | Si | Ti | Zn | Al |
|---|---|---|---|---|---|---|---|---|---|
| Al 2024-T3 | 3.8–4.9 | 1.2–1.8 | 0.3–0.9 | ≤0.5 | ≤0.1 | ≤0.5 | ≤0.15 | ≤0.25 | Balance |
| Material | σs [MPa] (S) | σr [MPa] (S) | E [MPa] (S) | Z [%] (S) |
|---|---|---|---|---|
| Al 2024-T3 | 296 (5.35) | 426 (4.42) | 71000 (2121) | 13 (1.5) |
| Load Level [MPa] | Average Value of Fatigue Life [103 cycles] | Standard Deviation for Fatigue Life [103 cycles] |
|---|---|---|
| 90 | 693.2 | 205.1024 |
| 120 | 231 | 34.1735 |
| 160 | 70.9 | 16.9139 |
| Load Level [MPa] | Average Value of Crack Length [mm] | Standard Deviation for Crack Length [mm] |
|---|---|---|
| 90 | 15.1 | 0.9085 |
| 120 | 13.903 | 0.5915 |
| 160 | 12.2564 | 0.448 |
| Distribution Types | |||||||
|---|---|---|---|---|---|---|---|
| Normal | Log-Normal | Extreme Value | Weibull | ||||
| A2crit | α = 0.05 * | 0.752 | 0.752 | n = 100 * | n = 50 | 0.757 | |
| 0.279 | 0.277 | ||||||
| A2 Fatigue life dataset | σmax [MPa] | 90 | 3.2330 | 1.0595 | 7.2989 | 3.7891 | |
| 120 | 0.4807 | 0.4265 | 2.3251 | 1.3094 | |||
| 160 | 0.3848 | 0.4388 | 1.4389 | 0.5885 | |||
| A2 Crack size dataset | σmax [MPa] | 90 | 1.0437 | 1.2840 | 0.3496 | 0.3910 | |
| 120 | 0.6990 | 0.7263 | 0.7594 | 0.7441 | |||
| 160 | 0.2253 | 0.2172 | 0.7299 | 0.6366 | |||
| A2 < A2crit | * α = significance level; n = sample size | ||||||
© 2020 by the authors. Licensee MDPI, Basel, Switzerland. This article is an open access article distributed under the terms and conditions of the Creative Commons Attribution (CC BY) license (http://creativecommons.org/licenses/by/4.0/).
Share and Cite
Armentani, E.; Greco, A.; De Luca, A.; Sepe, R. Probabilistic Analysis of Fatigue Behavior of Single Lap Riveted Joints. Appl. Sci. 2020, 10, 3379. https://doi.org/10.3390/app10103379
Armentani E, Greco A, De Luca A, Sepe R. Probabilistic Analysis of Fatigue Behavior of Single Lap Riveted Joints. Applied Sciences. 2020; 10(10):3379. https://doi.org/10.3390/app10103379
Chicago/Turabian StyleArmentani, Enrico, Alessandro Greco, Alessandro De Luca, and Raffaele Sepe. 2020. "Probabilistic Analysis of Fatigue Behavior of Single Lap Riveted Joints" Applied Sciences 10, no. 10: 3379. https://doi.org/10.3390/app10103379
APA StyleArmentani, E., Greco, A., De Luca, A., & Sepe, R. (2020). Probabilistic Analysis of Fatigue Behavior of Single Lap Riveted Joints. Applied Sciences, 10(10), 3379. https://doi.org/10.3390/app10103379
