Next Article in Journal
Gait Analysis and Knee Kinematics in Patients with Anterior Cruciate Ligament Rupture: Before and After Reconstruction
Previous Article in Journal
Experiment Study of the Failure Mechanism and Evolution Characteristics of Water–Sand Inrush Geo-Hazards
 
 
Font Type:
Arial Georgia Verdana
Font Size:
Aa Aa Aa
Line Spacing:
Column Width:
Background:
Article

Model Based Robust Predictive Control of Ship Roll/Yaw Motions with Input Constraints

1
College of Automation, Harbin Engineering University, Harbin 150001, China
2
China Ship Scientific Research Center, Wuxi 214082, China
3
School of Internet of Things Engineering, Jiangnan University, Wuxi 214122, China
*
Author to whom correspondence should be addressed.
Appl. Sci. 2020, 10(10), 3377; https://doi.org/10.3390/app10103377
Submission received: 21 March 2020 / Revised: 30 April 2020 / Accepted: 9 May 2020 / Published: 13 May 2020

Abstract

A robust H-type state feedback model predictive control (H-SFMPC) with input constraints is proposed to optimize the control performance during the ship sailing. Specifically, the approach employed in this paper is able to optimize the closed-loop performance with respect to an H-type cost function which predicts the system performance based on the actual model instead of the ideal model. As a result, the effect caused by disturbances is attenuated. The state feedback control gain for the control input of the rudder-fin joint roll/yaw control system is obtained by solving a constrained convex optimization problem in terms of linear matrix inequalities. Simulations are carried out, which reveal that the proposed approach has outstanding control performance. Furthermore, it is found that the approach also has significant robustness with respect to parameter uncertainties.

1. Introduction

For safe sailings and operations in the ocean, large ships often encounter uncertain situations, such as supply difficulties, unknown sea conditions and hidden risks in the operation of marine equipment, which may affect the ship safety during the sailing [1]. Therefore, it is of great significance for large ships, especially containers, to predict and optimize the performance of real marine motion system with wave disturbance, including optimizing ship motions as well as actuator actions and reducing the saturation rate of the actuators. In particular, the constraints of actuators of the rudder-fin joint system draw much attention in the study field of ship safe sailing [2,3,4,5,6,7]. The maximum angle of the fin stabilizers/rudder is usually limited, namely saturated, which may cause dynamic stall and even instability of the system risking severe accidents [8]. Moreover, the input constraints of the actuators are also reflected in the input delay characteristics of the fin stabilizer driving system, which further deteriorates the control performance.
Many novel methods, including relevant nonlinear control, have been applied to ship motion control tentatively [3,9], In recent years, with the development of various advanced control algorithms, the feedback linearization and other nonlinear control methods are applied for ship autopilot control. Yang and Jiang employed the nonlinear variable structure robust control method in fin stabilizer control [10]. Perez and Goodwin applied the model predictive control to the fin stabilizer control to prevent the occurrence of dynamic stall [4]. In addition, the rise of intelligent control methods has attracted a large number of scholars [11,12,13]. Some achievements of rudder roll reduction are included in [3,14]. The most important of these achievements is to adopt the modern control technology based on the nominal state space model to deal with the problems of rudder roll reduction. The main control method is LQG and its integrated/improved control approaches [15,16,17,18,19]. Additionally, Blanke applied H control to rudder roll reduction [20]. Although the modern control methods improve the efficiency of roll stabilization, the effect of high and low encounter frequency is still not ideal.
Most nonlinear processing methods based on strict feedback nonlinear system have the advantages of fast response, good convergence and high accuracy, and they achieve certain control effect. However, it is also found that the conventional nonlinear control methods for MIMO system have the following shortcomings: the design process is complex, and the adjustment of control parameters is difficult; the performance indexes set by users cannot be optimized online and real-time; constraints cannot be explicitly considered, such as state constraints, actuator input constraints (including saturation and delay characteristics of actuators), which may cause the degradation of the control performance. The above issues motivate the studies of deploying model predictive control (MPC) in ship motion control. The method has been widely used in process industries [21,22,23] due to its excellent capacity of dealing with multivariables and various constraints. In recent years, abundant results have been reported in different application fields, such as advanced manufacturing, energy storage, electrical engineering, and so on [24,25,26]. A significant feature of MPC is the receding horizon fashion, and the optimization problem is solved at each time instant to determine the control inputs.
Both fin roll reduction and rudder roll reduction are faced with the problems of complex modeling and controller failure caused by the change of sailing states. Abundant results on MPC addressing ship control have been reported concerning the above issues. ODA proposed a method based on autoregressive model that can automatically identify models online [7]. Although there is no need to model in theory, the online calculation workload is huge, and it is difficult to apply in practice [2]. Preze’s MPC control method [4] can effectively solve the problem of actuator constraints, but it is still not enough to deal with the aforementioned problems in fin roll reduction or rudder roll reduction. Wang proposed a distributed MPC [27] for multiship collision avoidance decision support and path following, which offers a complete set of solutions for multiship collision avoidance in intelligent navigation. It is also worth mentioning that classic MPC approaches usually optimize a control sequence with an open-loop form, which inevitably deteriorates the robustness of the control system.
In this paper, we consider employing MPC to deal with the ship roll/yaw motion control problem, in order to guarantee the ship performance and the actuator action reliability. To be more specific, the H-type robust MPC is employed in ship control. As far as we know, the relevant work has not been reported in the literature. The main advantage of the method is that it can actively address the disturbance, especially when the upper bound of disturbance can be determined in advance. Furthermore, the control input within the prediction horizon adapts a state feedback control law, which renders more robust control performance compared with the open-loop scenarios. In the rudder-fin joint MIMO control system, the receding-horizon optimization strategy is implemented in real time, and the input constraints of rudder angle and fin angle are considered. In such a way, ship roll/yaw motion control is handled with the minimized disturbance attenuation level.
The main contributions of this paper lie in the following facts:
  • To the best of the authors’ knowledge, the achievement in this paper is the first attempt to apply H-type model predict control strategy to ship roll/yaw motion control.
  • Compared with the existing processing methods to input constrains, the delay characteristic of practical fin stabilizer system and saturation limitation of the rudder/fin stabilizers are simultaneously considered and addressed.
The subsequent sections are arranged as follows. In Section 2, the three degrees of freedom (3-DOF) coupling ship motion model is constructed to be consistent with the predictive model. Section 3 focuses on presenting the H-type state feedback model predictive control (H-SFMPC) strategy, which is the main part of this paper. In Section 4, simulations are demonstrated to show the effectiveness using the approach. Conclusions and the future work are given in Section 5.

2. Problem Formulation

2.1. Ship Lateral Motion Model Control with Rudder-Fin Joint System

It is known that the common 4 degrees of freedom (4 DOF) maneuvering model includes surge, sway, roll and yaw, which is a relatively comprehensive nonlinear model proposed by Son and Nomoto (1981, 1982) [28,29].
{ ( m X u ˙ ) u ˙ = ( m Y v ˙ ) v r + X H + X P + X R + X F + X env ( m Y v ˙ ) v ˙ N v ˙ r ˙ + K v ˙ p ˙ = ( m X u ˙ ) u r + Y H + Y P + Y R + Y F + Y env ( I x + J x ) p ˙ + K v ˙ v ˙ = X u ˙ l x u r W G M ¯ ϕ + K H + K P + K R + K F + K env ( I z + J z ) r ˙ N v ˙ v ˙ = N H + N P + N R + N F + N env ,
where X u ˙ = A 11 ( 0 ) , Y v ˙ = A 22 ( 0 ) , J x = A 44 ( ω roll ) and J z = A 66 ( 0 ) denote the added mass and added moments of inertia. Subscript H denotes the viscous hydrodynamic force in terms of a third Taylor series expansion in which small coefficients are neglected, subscript P denotes the thrusting force due to the propeller, subscript R denotes the force due to the rudder, subscript F denotes the force due to the fin stabilizers, and subscript env denotes the forces due to environment, such as wind and waves [28].
Equation (1) can be decoupled from the sway, roll and yaw modes. To facilitate understanding of ship motion system, here the control object is formulated still in the continuous-time system form, which takes the matrix form Equation (2), viz., the following three DOF nonlinear ship lateral motion models with wave disturbances at a constant speed.
M ν ˙ + N ν + G η = b u + F w + α ( x ) ,
where the superscript denotes dimensionless quantities, subscript w denotes wave disturbances, ν = [ v p r ] T is the vector of velocities, η = [ y ϕ ψ ] T is the vector of position/Euler angles, u = [ α δ ] T is the vector of control inputs, b = [ Y α K α N α Y δ K δ N δ ] T is the vector of control coefficients, F w = [ Y w K w N w ] T is the vector of the wave force and moments and α ( x ) = [ α Y ( x ) α K ( x ) α N ( x ) ] T is the combination of system nonlinear terms. The inertia matrix M is defined as
M = [ m Y v ˙ m z g + Y p ˙ m x g Y r ˙ m z g K v ˙ I x K p ˙ I x z K r ˙ m x g N v ˙ I x z N p ˙ I z N r ˙ ] ,
the expression for N is obtained by local linearization of Coriolis/centripetal and damping coefficient matrix, which gives
N = [ Y v Y p m u 0 Y r K v K p m z g u 0 K r N v N p m x g u 0 N r ] ,
and the linear restoring forces and moments for the ship can be written by
G = [ 0 Y ϕ 0 0 ( W G M ¯ K ϕ ) 0 0 N ϕ 0 ] ,
Due to the limited space in this paper, refer to [28] for more definition details of the elements in coefficient matrices above.
It is assumed that the inflow angle of the rudder is equal to acting angle of the rudder δ which is mathematically regarded as a “small rudder” limitation in controller design of rudder reduction damping (RRD) system. The full rudder angle actually goes up to 35° in a practical steering gear. The maximum angle of the “small rudder” δ max = 20 ° , and the maximum angle of fin stabilizers α max = 22 ° .
In addition, one has the following kinematic equations (assuming q = θ = 0 )
ϕ ˙ = p ψ ˙ = cos ( ϕ ) r r
that can be augmented to the system model. Thereby the nonlinear model Equation (2) together with Equation (6) can be written by defining the state vector as x : = [ v p r ϕ ψ ] T , y : = [ ϕ ψ ] T ,
x ˙ = A c x + B c u + d c y = C x
where A c = [ ( A c 11 ) ( A c 12 ) ( A c 21 ) ( A c 22 ) ] , ( A c 11 ) = M 1 N , ( A c 12 ) = M 1 G ( : , [ 2 , 3 ] ) , ( A c 21 ) = [ 0 u 0 / L 0 0 0 u 0 / L ] , ( A c 22 ) = [ 0 0 0 0 ] , B c = [ B c 1 0 ] T , B c 1 = M 1 b , C = [ 0 0 0 1 0 0 0 0 0 1 ] , d c = M 1 [ F w + α ( x ) , 0 , 0 ] T . Here the notation ( : , [ 2 , 3 ] ) denotes the 2nd and 3rd columns of the matrix.
In our work, a discrete-time model is considered for the control purpose, which can be discretized from the above continuous model by setting the sampling period as TS = 0.2s.

2.2. Predictive Model of Rudder-Fin Joint Roll/yaw Control System

In this paper, we consider a fifth-order state and dual-input rudder-fin joint roll/yaw control discrete-time system corresponding to Equation (2), which is in essence an affine nonlinear MIMO model. With the help of first-order Euler method, the predictive model of rudder-fin joint roll/yaw control system can be achieved by the discretization of Equation (2), as expressed by
x ( k + i + 1 | k ) = A x ( k + i | k ) + B u ( k + i | k ) + d ( k + i | k ) ,
where i ≥ 0, the index k + i and k + i + 1 denote the variables at k + i and k + i + 1 time step respectively. For notional simplicity, we employ x(k), u(k) and d(k) instead of x(k|k), u(k|k) and d(k|k).
Our control objective is to maintain the course keeping and stabilize the ship form roll motion, even in severe situations where the wave disturbance is large. It is noticed that H-type MPC approach can attenuate the effect caused by disturbances [30,31] Thus we employ it in ship control as presented in this paper. The following H-type cost function is taken into account
J ( k ) = i = 0 Δ ( x ( k + i | k ) , u ( k + i | k ) , d ( k + i | k ) ) ,
where the stage cost is defined as Δ : = x Q 2 + u R 2 λ d 2 , Q and R are weighting matrices that are positive definite and x Q 2 , u R 2 denote x T Q x and u T R u respectively. Additionally, d denotes generalized disturbance.

3. Main Result

3.1. Design of Robust Model Predictive Controller for Roll/yaw with Saturation Constraints

The optimal problem of infinite-horizon MPC is given by
min U ( k ) max D ( k ) J ( k ) ,
Equation (13) is a min-max optimal problem, i.e., maximize the cost function with respect to the disturbance over the prediction horizon, and then minimize it by the optimal control input sequence [23]. Although this optimization problem is convex, it is not computationally feasible. In order to simplify the solution, we may derive the upper bound of the performance index, and then use the state feedback control law to minimize the upper bound. Hence, a quadratic function L ( k ) = x T U x is designed such that
L ( x ( k + i + 1 | k ) ) L ( x ( k + i | k ) ) Δ ( k + i | k ) .
Based on the above inequality, one has
i = 0 Δ ( x ( k + i | k ) , u ( k + i | k ) , d ( k + i | k ) ) L ( x ( k ) ) .
Thus L(x(k)) is the upper bound of the performance index. Now that we have the upper bound of the cost function, we need to consider the following state feedback control law,
u ( k + i | k ) = K x ( k + i | k ) , i 0 .
Substituting Equation (13) into Equation (11), then Equation (11) can be written in an inequality form
( A + B K ) x ( k + i | k ) + d ( k + i | k ) U 2 x ( k + i | k ) U 2 x ( k + i | k ) ( Q + K T R K ) 2 + λ d 2 .
In this way, infinite-horizon MPC optimization problem is transformed into: at every moment k, find the state feedback control law to minimize L(x(k)), but only implement Equation (14); at the next moment k+1, repeat the same optimization problem according to the new measurement value x(k+1) and get the new K. Define a scalar δ , which follows that
min    δ s . t .   L ( x ( k ) ) δ
Then minimization of the upper bound of the cost function is approximated as minimization of δ . Define V : = U 1 δ , by resorting to the Schur complement, Equation (15) is equivalent to
[ 1 x T ( k ) x ( k ) V ] 0 .
Equation (14) is equivalent to
x T ( k + i | k ) ( ( A + B K ) U 2 U + ( Q + K T R K ) ) x ( k + i | k ) + x T ( k + i | k ) ( A + B K ) T U d + d T U ( A + B K ) x ( k + i | k ) + d T ( U λ I ) d 0
Letting 11 = ( A + B K ) U 2 U + ( Q + K T R K ) , 12 = ( A + B K ) T U , 21 = U ( A + B K ) , 22 = U λ I , then Equation (17) is expressed as
[ x T ( k + i | k ) d T ( k + i | k ) ] [ x ( k + i | k ) d ( k + i | k ) ] 0 .
where = [ 11 12 21 22 ] .
By resorting to the Schur complement, a sufficient condition can be derived for the inequality (18) as follows
[ V 0 σ I A V + B Y δ I V Q V 0 0 δ Q R Y 0 0 0 δ R ] 0 .
where Y : = K V and σ : = λ δ .
The details of the derivation of the above linear matrix inequality (LMI) is shown below.
= [ 11 12 21 22 ] = [ A + B K U / δ 2 U δ + Q + K T R K δ U δ ( A + B K ) U λ I δ ] = [ U δ + Q + K T R K δ 0 λ I δ A + B K I ( U δ ) 1 ] = [ U δ + K T R K δ 0 λ I δ A + B K I ( U δ ) 1 Q δ 0 0 Q δ ] = [ U δ 0 0 λ I δ A + B K I ( U δ ) 1 Q δ 0 0 Q δ R K δ 0 0 0 R δ ] 0
By multiplying [ V 0 0 0 0 0 δ 0 0 0 0 0 1 0 0 0 0 0 δ 0 0 0 0 0 δ ] on both sides of the inequality Equation (20), and setting V : = U 1 δ , Y : = K V , σ : = λ δ , one can obtain the equivalent LMI as follows,
[ V 0 0 λ δ I ( A + B K ) V δ I V Q V 0 0 Q δ R K V 0 0 0 δ R ] = [ V 0 0 σ I A V + B V δ I V Q V 0 0 δ Q R V 0 0 0 δ R ] 0 ,
which is exactly the inequality (19). The variable σ or λ is associated to input-state-stability [32]; it is worth noting that smaller λ means better control performance [33]. Besides, our optimization objective is to minimize σ , which is denoted by
min   σ s . t .   δ δ 0
where δ 0 is the optimal δ obtained in the previous time instant.
The input saturation constraints of the controller should be considered. It is assumed that control inputs satisfy | u j ( k + i | k ) | U j , j { 1 , , m } . Referring to [34], the input saturation constraints of the controller are guaranteed by the following LMI
[ C Y Y T V ] 0 ,
where C is a diagonal matrix, and the j-th element satisfying C j j U j 2 .
The H-type MPC online real-time optimization problem considering linear state feedback control law can be summarized as follows [33]:
O P :    min σ V , Y , δ , σ , s . t .   ( 16 ) , ( 19 ) , ( 21 ) , ( 22 )

3.2. A Predict Method Compensating Delay Dynamic of Fin Stabilizers

In the practical operation of ship antiroll control system, there is always some delay in the response of the fin stabilizer drive system to the master signal. Therefore, it is not suitable to employ the present states to participate in the close-loop control. In cases where the dynamic response characteristics of the fin stabilizer drive system are not obtained, the prediction value of the roll angles should be used in advance, which participates in the closed-loop control system to compensate the dynamic delay of the fin stabilizers to achieve ideal control effect. It is noticed that the rudder has the different control effect on the both course and roll in delay characteristics, so only the delay characteristic of the fin stabilizer drive system is considered in this paper for simplicity of the controller design.
The essence of the above method is to compensate the dynamic delay of fin stabilizers by a parameter estimation and prediction method based on a single-input single-output (SISO) stochastic model. The least square method can be used to estimate the corresponding parameter in batch processing. However, it brings additional computational burden and storage resources, thus it is not suitable for online identification. Based on the traditional recursive least square (RLS) algorithm, we add a fading factor to the previous data and propose the fading memory recursive least squares (FMRLS) algorithm, which can properly reduce the weight of old data while strengthening the weight to renew data.
For SISO stochastic system
Z m = H m θ + V m ,
where H m and Z m are the sample matrix, θ is the parameter to be estimated and V m is the noise. The objective is that we resolve the estimated value θ ^ such that
min J ( θ ^ ) = ( Z m H m θ ^ ) T ( Z m H m θ ^ ) .
Therefore, the FMRLS algorithm using forgetting factor is
θ ^ m = θ ^ m 1 + K m [ z ( m ) h ( m ) θ ^ m 1 ] K m = P m 1 h T ( m ) [ λ I + h ( m ) P m 1 h T ( m ) ] 1 P m = 1 λ [ I K m h ( m ) ] 1 P m 1
where θ ^ m is the present parameter estimate vector, θ ^ m 1 is the past estimate, z ( m ) is the present measurement, z ( m ) h ( m ) θ ^ m 1 is the prediction error, also known as update information, K m is the correction error gain matrix, P m is the covariance matrix and h ( m ) is the present sample matrix.
The algorithm flow is based on the previous data and the new measurement data and can calculate the next recursion calculation required.
Auto-Regression (AR) Model is common and prevalent. The general form of the p-order AR model is given by
x ( k ) = a 1 x ( k 1 ) + a 2 x ( k 2 ) + a 3 x ( k 3 ) + + a p x ( k p ) .
Based on Equation (27), together with θ ^ m 1 = [ a 1 a 2 a 3 a p ] T , z ( m ) = x ( k ) and h ( m ) = [ x ( k 1 ) x ( k 2 ) x ( k 3 ) x ( k p ) ] , we obtain the l-step prediction as follows:
x ^ ( k + 1 ) = i = 1 p a ^ i x ( k + 1 i ) x ^ ( k + l ) = i = 1 l 1 a ^ i x ^ ( k + l i ) + i = l p a ^ i ( k + l i )
where l = 2, 3, …; i = 1, 2, … p.
The order p of AR model is unknown, so it is necessary to determine p and fit a more reasonable AR model to predict the roll angles accurately for the participation in the controller design. There is no strict criterion to confirm the order p of the model. Increasing the order can reduce the mean square deviation between the model and the sample data, making the model closer to the sample data, but too high order will introduce the disturbance, which does not mean that it can better describe the real sequence. There are some criteria for the selection of order, and the more famous one is Akaike criterion (AIC) [35]. It is generally more appropriate to describe the motion of the ship on the wave above order 4 and below order 8 [36].

3.3. Ship Roll/Yaw Robust Model Predict Control with Multiple Input Constraints

For the ship roll/yaw controller design, the discrete-time ship motion state prediction model is carried out according to H-type cost function, the minimum value of cost function is treated as inequality constraint and the multiple input constraints are considered, including the saturation limitation of the rudder/fin stabilizers and the delay constraint of the fin stabilizers. With the help of Matlab toolbox, the control law gain K at each time instant is obtained.
In addition, considering that there is extreme wave interference when the ship is sailing in the ocean, the feasible region of online solution may exceed, making the control inputs lose efficacy further, resulting in being out of control. To resolve the issue, the maximal feasible region can be calculated offline in advance. In cases where the system states lie outside this region, a linear quadratic regulator (LQR) is employed to improve the safety of the ship.
As a summary of this section, the H-type MPC approach is integrated with the prediction method by considering the fin angles delay constraint. Note that the control method employed in this paper is inherently developed for linear state space models. In fact, the nonlinearity is not strong for a complete ship control system model under mild conditions. Hence, it is reasonable to consider the model mismatches in the disturbance term when a linear model is employed for prediction. A byproduct of this treatment is that less computational resources are required, which facilitates real-time implementation compared with a nonlinear model based predictive control method.
It can be seen that the robust H-type model predictive control strategy with multiple input constraints (H-SFMPC) is constructed in this paper, as is shown in Figure 1.

4. Simulations

The main parameters of the term ship are shown in Table 1. In the H-type cost function, the Q and R weighting matrices are selected as diagonal matrices diag {1, 1, 400, 400, diag {0.8, 0.8} respectively. The control scheme proposed in this paper is verified by simulation in the following cases.
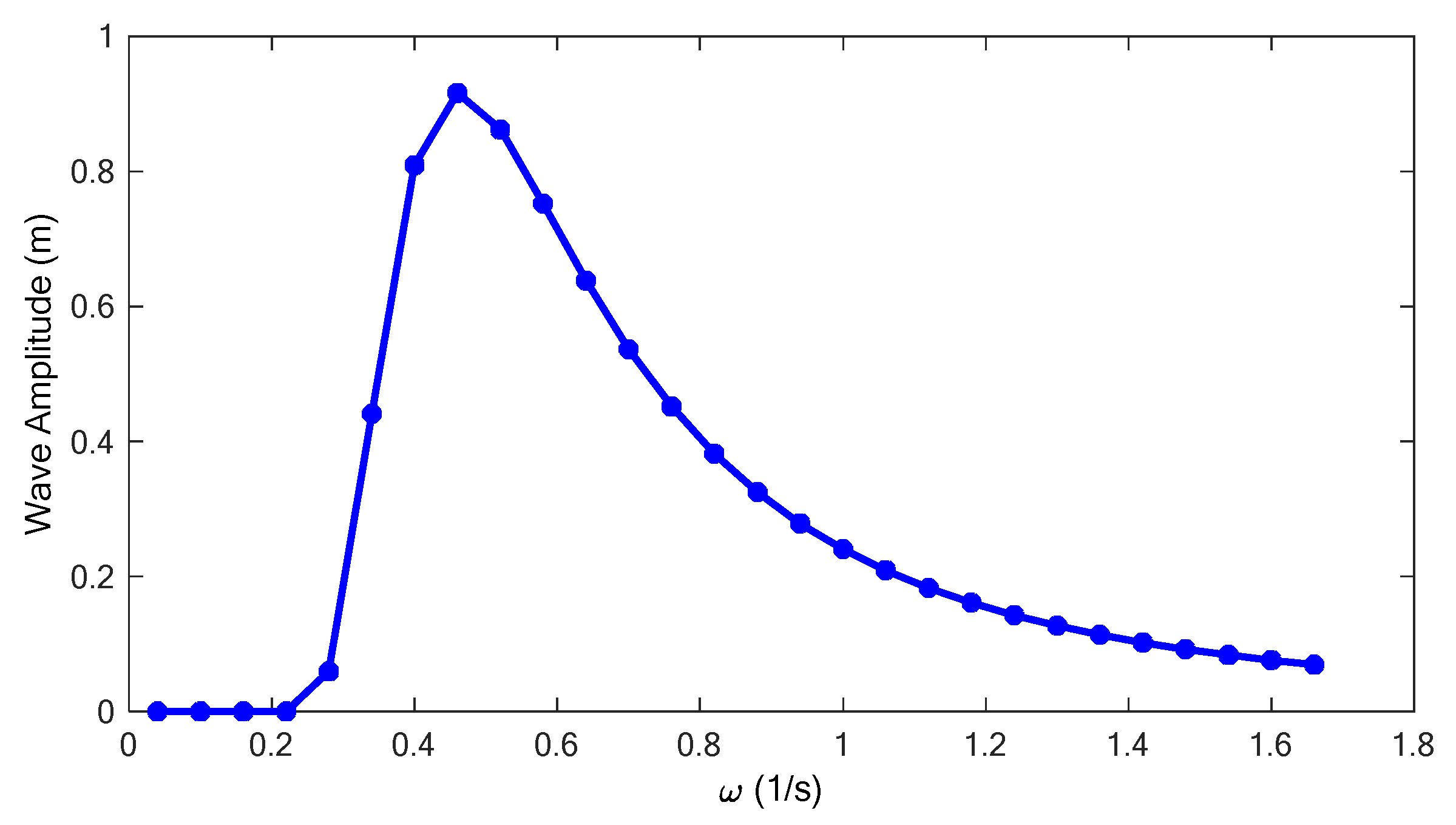
Simulations of the irregular wave disturbance forces/moments are given by means of the strip theory calculation and the weighted average of power spectrum of the first-order wave disturbance forces/moments, e.g., here the rolling disturbance moment in random six-level upper limit sea state is simulated, and its transverse wave harmonic amplitude and rolling disturbance moment are plotted, as shown in Figure 2 and Figure 3.
In cases where the order of AR model is p = 5, the fitting model has high accuracy [37]. Generally, the delay time of fin stabilizer actuator is more than 1 s. It is assumed that the delay time is 1.2 s, which can compensate the dynamic delay of fin stabilizers. In the simulations, the parameter identification accuracy and stability can be considered, and the forgetting factor is set λ = 0.975 in this paper. The predicted roll angles can be used to participate in the subsequent controller design.
Simulation Case 1: Control performance of H-SFMPC strategy based on nominal model in different sea states
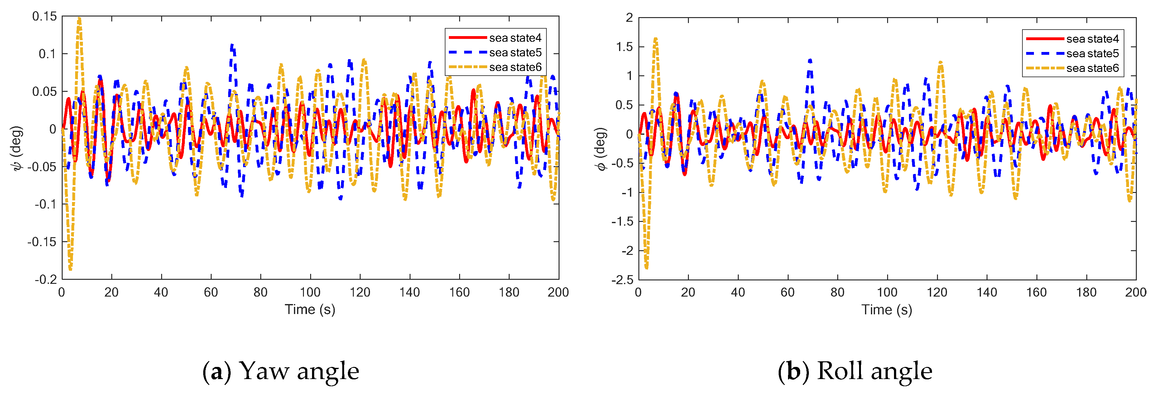
In this case, the robustness of the proposed approach in different sea states is studied. The sea state codes are selected as four, five and six levels, and the encounter angle is set as 90°. The simulation results are shown in Figure 4, where Figure 4a shows the time history curves of the ship yaw angles in these levels of sea conditions; (b) represents the time history curves of the ship roll angles; (c) represents the time history curves of the fin angle inputs; (d) represents the time history curves of the rudder angle inputs. From the results in Figure 4, it can be seen that the H-SFMPC strategy can satisfy control requirements for roll and yaw angles. In addition, the larger the sea state level is, the greater the response of roll angles and yaw angles is, and the input effect of the controller is also increased. In the six-level sea state, there exist the larger fin angles and rudder angles relative to other low level sea states. The statistical values of simulation results are shown in Table 2. It clearly shows that the H-SFMPC strategy has considerable control effect and robustness in different sea states.
Simulation Case 2: Control performance using different strategies
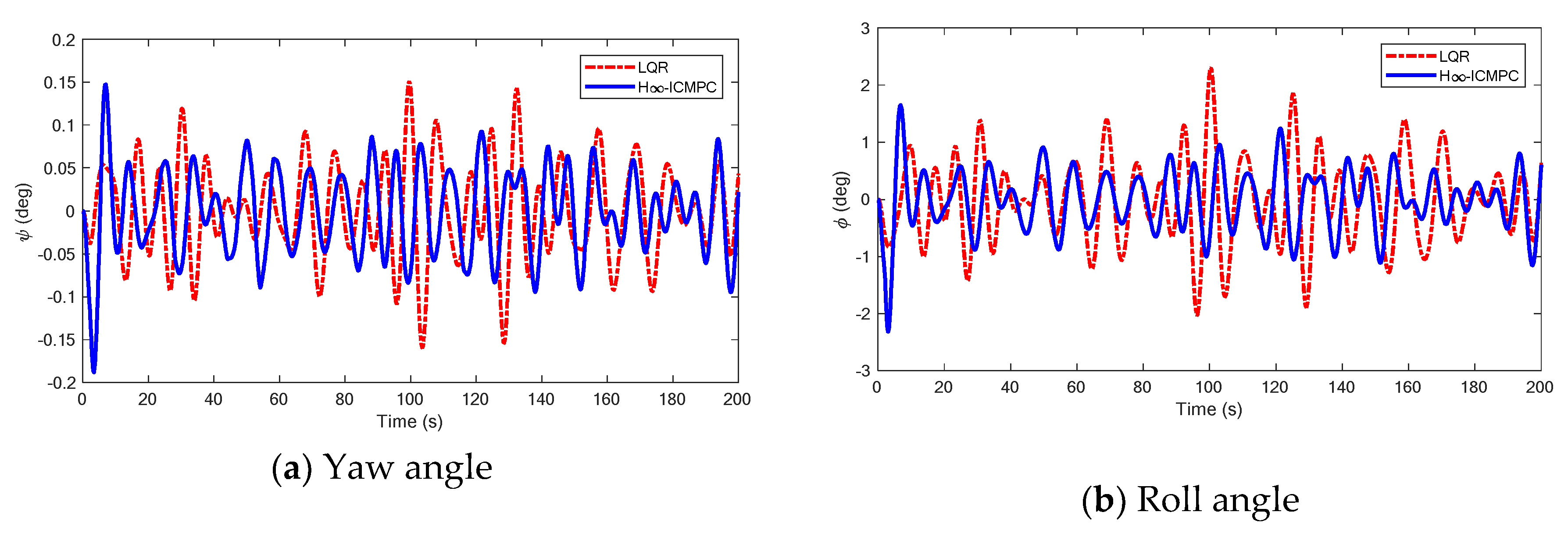
In this case, LQR control law (LQR controller is designed only for the linear model without considering the nonlinear term of the system in nominal model) and H-SFMPC strategy are used for the ship roll/yaw control in the six-level sea condition at the encounter angle of 90°. The results are illustrated in Figure 5. It can be seen from (a) and (b) that the control effect of the H-SFMPC control law proposed is obviously better than that of the traditional LQR control law; it can be seen from (c) and (d) that the difference of fin angle amplitudes using different control methods is not obvious, and the amplitude of rudder angle actions using H-SFMPC become smaller as a whole, while the rudder actions are more frequent, which is the reason that the H-SFMPC works by the optimization online and in real time, viz., for a relatively better state response it is necessary to speed up the action rate of the actuators. The statistical values of simulation results are shown in Table 3.
Simulation Case 3: Control performance based on different design parameters
In this case study, the parameters involved in the controller design are investigated. The parameters to be tuned are Q and R in the cost function, which are the weights of system state and control input, respectively. Note that λ in the stage cost is a variable. Thus, it is not chosen by the user. To show how Q and R affect the control performnace, simulations are carried out as shown in Figure 6. It is illustrated that the yaw and roll angles have smaller fluctrations, when the weight of the sytem state is much larger than that of the control input. Under this condition, however, the control input is more aggressive. On the other hand, the control input is much smoother when we increase its weight in the cost function, one benefit of which is the improved fuel economy. Hence, it can be concluded that larger Q should be considered for extreme sea states in order to stabilize the ship, while larger R can be considered for calm sea state.
Simulation Case 4: Control performance based on different models (nominal/uncertain model)
In this case, the ship roll/yaw control using H-SFMPC strategy is investigated based on the nominal/uncertain model alternately in the six-level sea state at the encounter angle of 90°.
We assume that hydrodynamic coefficients are perturbed in the proposed model, while the inertia and mass of ship rigid body are constant. The uncertain hydrodynamic coefficient matrices are given such that perturbation coefficient ei = 1.3 − 0.6δi, δiN (0, 1), i.e., the bounded perturbation value is set as 30%, I = 1, 2, …, 21, viz. there are in total 21 hydrodynamic coefficients of M , N and G in Equation (2), see Appendix A.
The simulation results are shown in Figure 7. It can be seen from (a) and (b) that the ship motion response based on two different models has good similar control effect, and from (c) and (d) it can be seen that the H-SFMPC also has strong robustness to the parameter uncertainty model when the control inputs based on nominal/uncertain model are not so different. The statistical values of simulation results are shown in Table 4.

5. Conclusions

Aiming to satisfy the requirement of comprehensive performance optimization and control input reliability in ship sailings, a H-SFMPC approach is proposed in this paper. The FMRLS strategy based on AR motion is used to predict the roll angles in advance for compensating the delay dynamic, which facilitates the practical applications; the MPC strategy is introduced to the MIMO rudder-fin joint roll/yaw control system, making a convex optimization problem that can be solved online. The H-type cost function is employed for the performance optimization, which considers a prediction model based on the practical system with wave disturbances instead of the nominal one. As a result, the closed-loop stability and anti-interference capability are enhanced. The state feedback control gain for the rudder-fin joint system is obtained by solving the optimization problem subject to matrix inequalities, which can deal with the saturation limitation of the rudder and fin stabilizers explicitly. Simulations yield that the proposed approach renders outstanding control performance for both the system with and without parameter uncertainties. In other words, the method model has a certain level of robustness. Our future work will be improving the control method by shifting some of the computations offline and facilitating practical implementations.

Author Contributions

Conceptualization, Z.J. and S.L.; methodology, Z.J. and W.Y.; software, L.J.; validation, S.L. and W.C.; investigation, Z.J. and W.Y.; resources, writing–original draft preparation, Z.J.; writing–review and editing, Z.J. and L.J.; visualization, Z.J.; supervision, W.C. and W.Y. All authors have read and agreed to the published version of the manuscript

Funding

This work was partially supported by the National Natural Science Foundation of China (61903158, 61973140) and the National Science Foundation of Jiangsu Province of China (BK20180595).

Conflicts of Interest

All authors declare no conflict of interest.

List of Acronyms

AcronymFull Name
H-SFMPCH-type state feedback model predictive control
LQGlinear quadratic gaussian
MIMOMultiple Input Multiple Output
MPCmodel predictive control
RRDrudder reduction damping
LMIlinear matrix inequality
SISOsingle-input single-output
RLSrecursive least square
FMRLSfading memory recursive least squares
ARAuto-Regression
LQRlinear quadratic regulator

Appendix A

There exist some uncertainties in the ship motion model in the form of the parameter (hydrodynamic coefficients) perturbation. It is reasonable and universal to deal with uncertain models with parameter perturbation, which can avoid a large number of model tests with respect to ship hydrodynamic coefficients in the corresponding basin. In practice, there are also parameter perturbations in the practical ship hydrodynamic coefficients. So, we assume that hydrodynamic coefficients are perturbed in the proposed model, while the inertia and mass of ship rigid body are constant. The uncertain coefficient matrices M u , N u and G u are given such that
M u = M + Δ M N u = N + Δ N G u = G + Δ G
where Δ M , Δ N and Δ G are perturbations, and the bounded perturbation value is 30%.
Integrated with Equation (2), the uncertain model is rewritten as
M u ν ˙ + N u ν + G u η = b u + F w + α ( x ) ,
where
M u = [ m Y v ˙ e 1 m z g + Y p ˙ e 2 m x g Y r ˙ e 3 m z g K v ˙ e 4 I x K p ˙ e 5 I x z K r ˙ e 6 m x g + N v ˙ e 7 I x z N p ˙ e 8 I z N r ˙ e 9 ] ,
N u ( u 0 ) = [ Y v e 10 Y p e 11 m u 0 Y r e 12 K v e 13 K p e 14 m z g u 0 K r e 15 N v e 16 N p e 17 m x g u 0 N r e 18 ] ,
G u = [ 0 Y ϕ e 19 0 0 ( W G M ¯ K ϕ ) e 20 0 0 N ϕ e 21 0 ] ,
and the perturbation coefficient i = 1.3 − 0.6δi, δiN (0,1), i = 1, 2,…, 21.

References

  1. Bu, S.X. Nonlinear time domain prediction of ship wave stability. In Doctoral Dissertation; China Ship Scientific Research Center: Wuxi, China, 2019. [Google Scholar]
  2. Bitmead, R.R.; Gevers, M.; Wertz, V. Adaptive optimal control: The Thinking Man’s GPC; Prentice Hall: New York, NY, USA, 1990. [Google Scholar]
  3. Van Amerongen, J.; van der Klugt, P.G.M.; van Nauta Lemke, H.R. Rudder roll stabilization for ships. Automatica 1990, 26, 679–690. [Google Scholar] [CrossRef]
  4. Perez, T.; Goodwin, G.C. Constrained predictive control of ship fin stabilizers to prevent dynamic stall. Control Eng. Pract. 2008, 16, 482–494. [Google Scholar] [CrossRef]
  5. Baitis, A.E.; Applebee, T.R.; McNamara, T.M. Human factor considerations applied to operations of the FFG-8 and lamps MKIII. Naval Eng. J. 1984, 97, 191–199. [Google Scholar] [CrossRef]
  6. Baitis, A.E.; Cox, G.G.; Woolaver, D. Evaluation of V active fin roll stabilizers. In Proceedings of the 3rd Ship Control System Symposium-SCSS, Bath, UK, 26–28 September 1972. [Google Scholar]
  7. Oda, H.; Ohtsu, K.; Hotta, T. Statistical analysis and design of a rudder roll stabilization system. Control Eng. Pract. 1996, 4, 351–358. [Google Scholar] [CrossRef]
  8. Gaillarde, G. Dynamic behavior and operation limits of stabilizer fins. In Proceedings of the IMAM International Maritime Association of the Mediterranean Creta, Creta, Greece, 13–17 May 2002. [Google Scholar]
  9. Ching-Yaw, T. An internal model control approach to the design of yaw-rate-control ship-steering autopilot. Ocean. Eng. 1999, 24, 507–513. [Google Scholar] [CrossRef]
  10. Yang, Y.; Jiang, B. Variable Structure Robust Fin Control for Ship Roll Stabilization with Actuator System. In Proceedings of the 2004 American Control Conference, Boston, MA, USA, 30 June–2 July 2004. [Google Scholar]
  11. Birminghan, R.; Webster, B.; Roskilly, T.; Jones, E. The Application of Artificial Intelligence to Roll Stabilization for a Range of Loading and Operation Conditions. In Proceedings of the International HISWA Symposium, Amsterdam, The Netherlands, 18–19 November 2002. [Google Scholar]
  12. Kenevissi, F.; Atlar, M.; Mesbahi, E. A New-Generation Motion-Control System for Twin-Hull Vessels Using a Neural Optimal Controller. Mar. Technol. 2003, 40, 168–180. [Google Scholar]
  13. Liut, D.A.; Hughes, O.F.; Mook, D.T. Control of Rolling in Ships by Means of Active Fins Governed by a Fuzzy-Logic Controller. J. Ship Res. 2001, 45, 279–288. [Google Scholar]
  14. Klught, P.G.M.v.d. Rudder Roll Stabilization. Ph.D. Thesis, Delft University, Delft, The Netherlands, 1987. [Google Scholar]
  15. Blanke, M.; Haals, P.; Andreasen, K.K. Rudder roll damping autopilot experience in Denmark. In Proceedings of the IFAC work shop CAMS’89, Lyngby, Denmark, 17–19 August 1989. [Google Scholar]
  16. Baitis, E.; Schmidt, L.V. Ship roll stabilization in the US Navy. Naval Eng. J. 1989, 101, 43–53. [Google Scholar] [CrossRef]
  17. Källström, C.G.; Wessel, P.; Sjölander, S. Roll rudection by rudder control. In Proceedings of the Spring Meeting-STAR Symposim, Pittsburgh, PA, USA, 8–10 June 1988. [Google Scholar]
  18. Katebi, M.R.; Wong, D.D.K.; Grimble, M.J. LQG autopilot and rudder roll stabilization control system design. In Proceedings of the 8th Ship Control Sysmtem Symposium, The Hague, The Netherlands, 6–9 October 1987. [Google Scholar]
  19. Sharif, M.T.; Roberts, G.N.; Sutton, R. Robust fin/rudder roll stabilization. In Proceedings of the IEEE 3rd Conference on Control Applications, Glasgow, UK, 24–26 August 1994. [Google Scholar]
  20. Blanke, M.; Adrian, J.; Larsen, K.; Bentsen, J. Rudder roll damping in coastal region sea conditions. In Proceedings of the 5th IFAC Conference on Manoeuvring and Control of Marine Craft, Aalborg, Denmark, 23–25 August 2000. [Google Scholar]
  21. Qin, S.J.; Badgwell, T.A. A survey of industrial model predictive control technology. Control Eng. Pract. 2003, 11, 733–764. [Google Scholar] [CrossRef]
  22. Wang, W.L.; Rivera, D.E.; Kempf, K.G. Model predictive control strategies for supply chain management in semiconductor manufacturing. Int. J. Prod. Econ. 2007, 107, 56–77. [Google Scholar] [CrossRef]
  23. Mayne, D.Q. Model predictive control: Recent developments and future promise. Automatica 2014, 50, 2967–2986. [Google Scholar] [CrossRef]
  24. Salsbury, T.; Mhaskar, P.; Qin, S.J. Predictive control methods to improve energy efficiency and reduce demand in buildings. Comput. Chem. Eng. 2013, 51, 77–85. [Google Scholar] [CrossRef]
  25. Bryds, M.A.; Grochowski, M.; Gminski, T.; Konarczak, K.; Drewa, M. Hierarchical predictive control of integrated wastewater treatment systems. Control Eng. Pract. 2008, 16, 751–767. [Google Scholar] [CrossRef]
  26. Enrico, S.; Marco, L. Magnetic spacecraft attitude control: A survey and some new results. Control Eng. Pract. 2005, 13, 357–371. [Google Scholar]
  27. Wang, T.; Yan, X.; Wang, Y. A distributed model predictive control using virtual field force for multi-ship collision avoidance under COLREGs. In Proceedings of the 2017 4th International Conference on Transportation Information and Safety (ICTIS), Banff, AB, Canada, 8–10 August 2017. [Google Scholar]
  28. Fossen, I. Handbook of Marine Craft Hydrodynamics and Motion Control, 1st ed.; John Wiley: Hoboken, NJ, USA, 2011. [Google Scholar]
  29. Fossen, T.I.; Lauvdal, T. Nonlinear stability analysis of ship autopilots in sway, roll and yaw. In Proceedings of the 3rd IFAC Conference on Maneuvering and Control of Marine Craft, Southampton, UK, 7–9 September 1994. [Google Scholar]
  30. Magni, L.; Scattolini, R. Robustness and robust design of MPC for nonlinear discrete-time systems. In Assessment and Future Directions of Nonlinear Model Predictive Control; Springer: Berlin/Heidelberg, Germany, 2007. [Google Scholar]
  31. Yang, W.; Feng, G.; Zhang, T. Robust model predictive control for discrete-time takagi-sugeno fuzzy systems with structured uncertainties and persistent disturbances. IEEE Trans. Fuzzy Syst. 2014, 22, 1213–1228. [Google Scholar] [CrossRef]
  32. Jiang, Z.-P.; Wang, Y. Input-to-state stability for discrete-time nonlinear systems. Automatica 2001, 37, 857–869. [Google Scholar] [CrossRef]
  33. Yang, W.; Jin, L.C.; Xu, D.Z.; Yan, W.X. Event-triggered H-type robust model predictive control of linear systems with disturbances. IEEE Access 2019, 7, 53859–53867. [Google Scholar] [CrossRef]
  34. Kothare, M.V.; Balakrishnan, V.; Morari, M. Robust constrained model predictive control using linear matrix inequalities. Automatica 1996, 32, 1361–1379. [Google Scholar] [CrossRef]
  35. Akaike, H. Fitting autoregressive models for prediction. Ann. Inst. Stat. Math. 1969, 21, 243–247. [Google Scholar] [CrossRef]
  36. Yumori, I. Real Time Prediction of Ship Response to Ocean Waves Using Time Series Analysis. In Proceedings of the OCEANS 81, Boston, MA, USA, 16–18 September 1981. [Google Scholar]
  37. Liu, S. Reasearch of Weak Model Disturbance Compensation Control and its Application in Stabilization Control of High Performance Ships. Ph.D. Thesis, Shanghai Jiaotong University, Shanghai, China, 2011. [Google Scholar]
Figure 1. Schematic diagram of the H-type state feedback model predictive control (H-SFMPC) system.
Figure 1. Schematic diagram of the H-type state feedback model predictive control (H-SFMPC) system.
Applsci 10 03377 g001
Figure 2. Time history curve of the harmonic amplitude.
Figure 2. Time history curve of the harmonic amplitude.
Applsci 10 03377 g002
Figure 3. Time history curve of the ship rolling disturbance moment.
Figure 3. Time history curve of the ship rolling disturbance moment.
Applsci 10 03377 g003
Figure 4. Simulation curves of the ship roll/yaw motions using H-SFMPC in different sea states at the encounter angle of 90°.
Figure 4. Simulation curves of the ship roll/yaw motions using H-SFMPC in different sea states at the encounter angle of 90°.
Applsci 10 03377 g004aApplsci 10 03377 g004b
Figure 5. Simulation curves of the ship roll-yaw motions using LQR/H-SFMPC control law.
Figure 5. Simulation curves of the ship roll-yaw motions using LQR/H-SFMPC control law.
Applsci 10 03377 g005aApplsci 10 03377 g005b
Figure 6. Control performance and the actuator inputs under different design parameters Q and R.
Figure 6. Control performance and the actuator inputs under different design parameters Q and R.
Applsci 10 03377 g006aApplsci 10 03377 g006b
Figure 7. Simulation curves of the ship roll-yaw motions using H-SFMPC control law based on nominal/uncertain model.
Figure 7. Simulation curves of the ship roll-yaw motions using H-SFMPC control law based on nominal/uncertain model.
Applsci 10 03377 g007
Table 1. Relevant parameters of the term vessel.
Table 1. Relevant parameters of the term vessel.
Parameter NameValueParameter NameValue
length of the ship/m175Aspect ratio of the fin stabilizer1.6
Velocity/ms−111.39Aspect ratio of the rudder1.8219
Area of the rudder/m233.0376Metacentric height of the ship/m1
Displacement/m321480Breadth of ship /m25
Table 2. Simulation results of the ship roll/yaw motions in different sea states at the encounter angle of 90°.
Table 2. Simulation results of the ship roll/yaw motions in different sea states at the encounter angle of 90°.
S E ( ψ ) S T D ( ψ ) E 1 / 3 ( ψ ) S T D ( δ ) E ( ϕ ) S T D ( ϕ ) E 1 / 3 ( ϕ ) S T D ( α f )
42.0 × 1040.02270.04180.67250.00180.20810.38333.6836
51.6 × 1040.04310.07690.91930.00470.42500.75986.9192
6−0.00130.04980.08380.9720−0.02130.54030.92387.7924
The notation S denotes sea codes; the notation E denotes average value; the notation STD denotes standard deviation; the notation E1/3 denotes significant value, i.e., the mean value of one-third largest samples.
Table 3. Statistical simulation results of the ship roll/yaw motions using different control law at the encounter angle of 90°.
Table 3. Statistical simulation results of the ship roll/yaw motions using different control law at the encounter angle of 90°.
Method E ( ψ ) S T D ( ψ ) E 1 / 3 ( ψ ) S T D ( δ ) E ( ϕ ) S T D ( ϕ ) E 1 / 3 ( ϕ ) S T D ( α f )
M1 13.62 × 1040.05540.10441.4264−0.01460.73951.38147.7924
M2 2−0.00130.04980.08380.9720−0.02130.54030.92386.7853
1 The notation M1 denotes LQR control law; 2 the notation M2 denotes H-SFMPC control law.
Table 4. Statistical simulation results of the ship roll/yaw motions based on nominal/uncertain model at the encounter angle of 90°.
Table 4. Statistical simulation results of the ship roll/yaw motions based on nominal/uncertain model at the encounter angle of 90°.
Model E ( ψ ) S T D ( ψ ) E 1 / 3 ( ψ ) S T D ( δ ) E ( ϕ ) S T D ( ϕ ) E 1 / 3 ( ϕ ) S T D ( α f )
NM 1−3.64× 10−40.05110.09091.0462−0.00360.51580.92868.3001
UM 2−1.43× 10−40.02960.05301.2136−0.00250.52990.95739.6664
1 The notation NM denotes nominal model; 2 the notation UM denotes uncertain model.

Share and Cite

MDPI and ACS Style

Jin, Z.; Liu, S.; Jin, L.; Chen, W.; Yang, W. Model Based Robust Predictive Control of Ship Roll/Yaw Motions with Input Constraints. Appl. Sci. 2020, 10, 3377. https://doi.org/10.3390/app10103377

AMA Style

Jin Z, Liu S, Jin L, Chen W, Yang W. Model Based Robust Predictive Control of Ship Roll/Yaw Motions with Input Constraints. Applied Sciences. 2020; 10(10):3377. https://doi.org/10.3390/app10103377

Chicago/Turabian Style

Jin, Zhongjia, Sheng Liu, Lincheng Jin, Wei Chen, and Weilin Yang. 2020. "Model Based Robust Predictive Control of Ship Roll/Yaw Motions with Input Constraints" Applied Sciences 10, no. 10: 3377. https://doi.org/10.3390/app10103377

APA Style

Jin, Z., Liu, S., Jin, L., Chen, W., & Yang, W. (2020). Model Based Robust Predictive Control of Ship Roll/Yaw Motions with Input Constraints. Applied Sciences, 10(10), 3377. https://doi.org/10.3390/app10103377

Note that from the first issue of 2016, this journal uses article numbers instead of page numbers. See further details here.

Article Metrics

Back to TopTop