Robust Backstepping Control with Active Damping Strategy for Separating-Metering Electro-Hydraulic System
Abstract
Featured Application
Abstract
1. Introduction
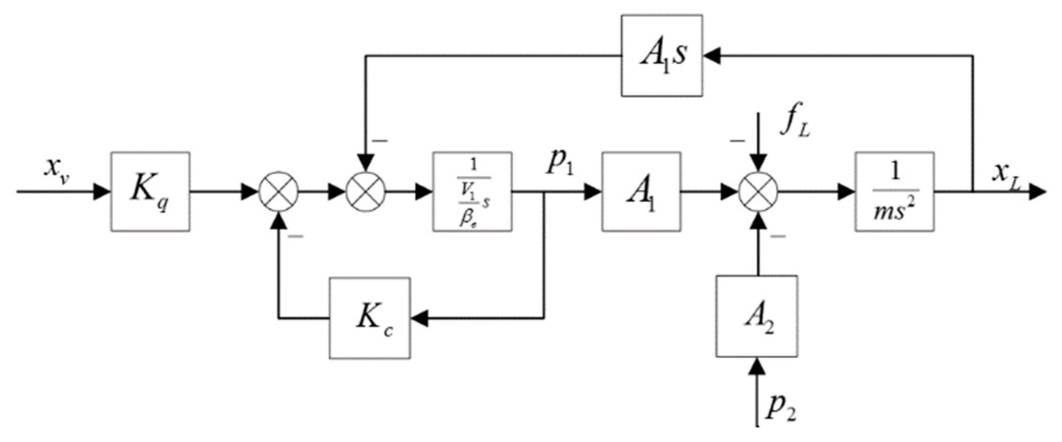
2. Problem Statement and Active Damping Strategy Analysis
- The viscous damping coefficient and the leakages of the cylinder are ignored.
- The friction force of piston in the cylinder is negligible.
- The rod is extending.
3. Modeling of SMEHS
3.1. Position Servo System of SMEHS
3.2. Pressure Servo System of SMEHS
4. Controller Design
4.1. Nonlinear Disturbance Observer
4.2. Tracking Differentiator
4.3. Backstepping Controller Design
4.4. Stability Analysis of Nonlinear Disturbance Observer
4.5. Stability Analysis of BSTDNDO
5. Experiment and Discussion
5.1. Experiment Platform
5.2. Displacement Tracking Experiments
5.3. Active Damping Strategy Experiments
6. Conclusions
Author Contributions
Funding
Conflicts of Interest
Nomenclature
| , | area of piston |
| ADRC | active disturbance rejection control |
| ADS | active damping strategy |
| viscous damping coefficient | |
| BSTDNDO | backstepping controller with TD and NDO |
| , , , , , , | internal variable |
| , , , | internal variable |
| disturbance | |
| , , , , | tracking error |
| viscous damping force | |
| load force | |
| force exerting on the piston of the cylinder in rod chamber | |
| force exerting on the piston of the cylinder in piston chamber | |
| internal variable | |
| , , , , | gain of controller |
| pressure-acceleration coefficient | |
| , | flow-pressure coefficient |
| , | flow coefficient |
| , | servo valve gain |
| , | valve coefficient of the orifice |
| gain of NDO | |
| equivalent mass of piston and attached system | |
| NDO | nonlinear disturbance observer |
| pressure of piston chamber | |
| pressure of rod chamber | |
| pressure of oil tank | |
| supply pressure | |
| PID | proportional–integral–derivative |
| flow rate of piston chamber | |
| flow rate of rod chamber | |
| gain of tracking differentiator | |
| Laplace Operator | |
| signum function | |
| SMC | sliding mode control |
| SMEHS | separating-metering electro-hydraulic system |
| TD | tracking differentiator |
| , , | input signal |
| , | volume of hydraulic chamber |
| , | initial volume of chamber |
| , , , , , | Lyapunov function |
| desired displacement of the piston | |
| input of tracking differentiator | |
| denotes | |
| piston displacement | |
| , | displacement of spool |
| , | state variables |
| internal variable | |
| denote the estimate value of | |
| denote the estimation error of | |
| , | pressure drops across the orifice |
| , , | uncertain item |
| parameter of tracking differentiator | |
| , , , | virtual parameters |
| , , | disturbance |
| , | natural frequency |
| , | damping ratio |
| bulk modulus | |
| internal variable | |
| , , | gain of observer |
| , , | internal variable |
| internal variable |
References
- Lyu, L.; Chen, Z.; Yao, B. Development of Pump and Valves Combined Hydraulic System for Both High Tracking Precision and High Energy Efficiency. IEEE Trans. Ind. Electron. 2019, 66, 7189–7198. [Google Scholar] [CrossRef]
- Liu, K.; Gao, Y.; Tu, Z. Energy saving potential of load sensing system with hydro-mechanical pressure compensation and independent metering. Int. J. Fluid Power 2016, 17, 173–186. [Google Scholar] [CrossRef]
- Liu, B.; Quan, L.; Ge, L. Research on the performance of hydraulic excavator with pump and valve combined separate meter in and meter out circuits. Chin. J. Mech. Eng. 2016, 52, 173–180. [Google Scholar]
- Choi, K.; Seo, J.; Nam, Y.; Kim, K.U. Energy-saving in excavators with application of independent metering valve. J. Mech. Sci. Technol. 2015, 29, 387–395. [Google Scholar] [CrossRef]
- Lu, L.; Yao, B. Energy-Saving Adaptive Robust Control of a Hydraulic Manipulator Using Five Cartridge Valves with an Accumulator. IEEE Trans. Ind. Electron. 2014, 61, 7046–7054. [Google Scholar] [CrossRef]
- Williamson, C.; Lee, S.; Ivantysynova, M. Active Vibration Damping for an Off-Road Vehicle with Displacement Controlled Actuators. Int. J. Fluid Power 2009, 10, 5–16. [Google Scholar] [CrossRef]
- Nevala, K.; Jarviluoma, M. An active vibration damping system of a driver’s seat for off-road vehicles. In Mechatronics and Machine Vision in Practice; IEEE: Queensland, Australia, 1997; p. 38. [Google Scholar]
- Brecher, C.; Schulz, A.; Week, M. Electrohydraulic Active Damping System. Cirp Ann. Manuf. Technol. 2005, 54, 389–392. [Google Scholar] [CrossRef]
- Palmer, M.K.; Simkus, V.A.; Beaudin, C.P.; Vogt, B.A. Ride Control System. U.S. Patent US5733095A, 31 March 1998. [Google Scholar]
- Axin, M.; Krus, P. Design Rules for High Damping in Mobile Hydraulic Systems. In Proceedings of the Scandinavian International Conference on Fluid Power—Sicfp, Linköping, Sweden, 3–5 June 2013. [Google Scholar]
- Rahmfeld, R.; Ivantysynova, M. An Overview about Active Oscillation Damping of Mobile Machine Structure. Int. J. Fluid Power 2004, 5, 5–24. [Google Scholar] [CrossRef]
- Gianoglio, R.; Salvatore, F.; Weber, J. Method and Device for Damping the Displacement of Construction Machines. U.S. Patent 7756622, 13 July 2010. [Google Scholar]
- Alexander, A.; Vacca, A.; Cristofori, D. Active Vibration Damping in Hydraulic Construction Machinery. Procedia Eng. 2017, 176, 514–528. [Google Scholar] [CrossRef]
- Bell, R.; Pennington, A.D. Active Compensation of Lightly Damped Electrohydraulic Cylinder Drives Using Derivative Signals. Proc. Inst. Mech. Eng. 1969, 84, 83–98. [Google Scholar] [CrossRef]
- Tongue, B.H. Principles of Vibration; Oxford University Press: Oxford, UK, 2002. [Google Scholar]
- Guangrong, C.; Junzheng, W.; Shoukun, W.; Jiangbo, Z.; Wei, S. The Separate Meter in Separate Meter Out Control System Using Dual Servo Valves Based on Indirect Adaptive Robust Dynamic Surface Control. J. Syst. Sci. Complex. 2019, 32, 557–576. [Google Scholar]
- Li, C.; Chen, Z.; Yao, B. Identification and adaptive robust precision motion control of systems with nonlinear friction. Nonlinear Dyn. 2019, 95, 995–1007. [Google Scholar] [CrossRef]
- Wu, X.; Jin, P.; Zou, T.; Qi, Z.; Xiao, H.; Lou, P. Backstepping Trajectory Tracking Based on Fuzzy Sliding Mode Control for Differential Mobile Robots. J. Intell. Robot. Syst. 2019, 1–13. [Google Scholar] [CrossRef]
- Cao, Y.; Huang, J.; Wu, D.; Zhang, M.; Xiong, C. Integration of Nonlinear Disturbance Observer within Proxy-based Sliding Mode Control for Pneumatic Muscle Actuators. Appl. Sci. 2019, 9, 1571. [Google Scholar]
- Wang, C.; Quan, L.; Zhang, S.; Meng, H.; Lan, Y. Reduced-order model based active disturbance rejection control of hydraulic servo system with singular value perturbation theory. ISA Trans. 2017, 67, 455–465. [Google Scholar] [CrossRef] [PubMed]
- Choux, M.; Karimi, H.; Hovland, G.; Hansen, M. Robust adaptive backstepping control design for a Nonlinear Hydraulic-Mechanical System. In Proceedings of the 48th IEEE Conference on Decision and Control (CDC), Shanghai, China, 15–18 December 2009; pp. 2460–2467. [Google Scholar]
- Hast, M.; Åström, K.J.; Bernhardsson, B.; Boyd, S. PID design by convex-concave optimization. In Proceedings of the 2013 European Control Conference (ECC), Zurich, Switzerland, 17–19 July 2013; pp. 4460–4465. [Google Scholar]
- Mercader, P.; Åström, K.J.; Banos, A.; Hägglund, T. Robust PID design based on QFT and convex–concave optimization. IEEE Trans. Control. Syst. Technol. 2016, 25, 441–452. [Google Scholar] [CrossRef]
- Karimi, A.; Kammer, C. A data-driven approach to robust control of multivariable systems by convex optimization. Automatica 2017, 85, 227–233. [Google Scholar] [CrossRef]
- Niksefat, N.; Sepehri, N. Design and experimental evaluation of a robust force controller for an electro-hydraulic actuator via quantitative feedback theory. Control Eng. Pract. 2000, 8, 1335–1345. [Google Scholar] [CrossRef]
- Truong, D.Q.; Ahn, K.K. Force control for hydraulic load simulator using self-tuning grey predictor—Fuzzy PID. Mechatronics 2009, 19, 233–246. [Google Scholar] [CrossRef]
- Na, J.; Li, Y.; Huang, Y.; Gao, G.; Chen, Q. Output feedback control of uncertain hydraulic servo systems. IEEE Trans. Ind. Electron. 2019, 67, 490–500. [Google Scholar] [CrossRef]
- Wang, Y.; Wu, H. Adaptive robust backstepping control for a class of uncertain dynamical systems using neural networks. Nonlinear Dyn. 2015, 81, 1597–1610. [Google Scholar] [CrossRef]
- Jing, C.; Xu, H.; Jiang, J. Dynamic surface disturbance rejection control for electro-hydraulic load simulator. Mech. Syst. Signal. Process. 2019, 134, 106293. [Google Scholar] [CrossRef]
- Yang, S.; Yin, Q.; Yang, L. Co-simulation of Dynamic Surface Sliding Mode Control for Elevation Equilibrator Electro-Hydraulic System of Truck-Mounted Howitzer. In Proceedings of the 2019 4th International Conference on Automation, Control and Robotics Engineering, Shenzhen, China, 19–21 July 2019; p. 44. [Google Scholar]
- Guo, Q.; Shi, G.; Wang, D. Adaptive Composite Fuzzy Dynamic Surface Control for Electro-Hydraulic-System, with Variable-Supply-Pressure. Asian J. Control 2019. [Google Scholar] [CrossRef]
- Wen-Hua, C.; Ballance, D.J.; Gawthrop, P.J.; Reilly, J.O. A nonlinear disturbance observer for robotic manipulators. IEEE Trans. Ind. Electron. 2000, 47, 932–938. [Google Scholar] [CrossRef]
- Han, J. Active Disturbance Rejection Control. Technique-The Technique for Estimating and Compensating the Uncertainties; National Defense Industry Press: Beijing, China, 2008. [Google Scholar]
- Shen, W.; Wang, J.; Huang, H.; He, J. Fuzzy sliding mode control with state estimation for velocity control system of hydraulic cylinder using a new hydraulic transformer. Eur. J. Control. 2019, 48, 104–114. [Google Scholar] [CrossRef]
- Xingxu, W.; Guang, H.; Rui, G. PID Sliding Mode Control for Electro-hydraulic Servo System. J. Phys. Conf. Ser. 2019, 1168, 022085. [Google Scholar] [CrossRef]
- Kim, J.; Jin, M.; Choi, W.; Lee, J. Discrete time delay control for hydraulic excavator motion control with terminal sliding mode control. Mechatronics 2019, 60, 15–25. [Google Scholar] [CrossRef]

















| Item | Value | Unit |
|---|---|---|
| Pump displacement (1.1 and 1.2) | 40 | mL/r |
| Motor speed | 1500 | rpm |
| Servo valve rated flow (3.1) | 63 | L/min |
| Servo valve rated flow (3.2) | 38 | L/min |
| Piston diameter (5 and 8) | 63 | mm |
| Rod diameter (5 and 8) | 36 | mm |
| Weight of moving part | 100 | Kg |
| Stroke (5 and 8) | 280 | mm |
© 2019 by the authors. Licensee MDPI, Basel, Switzerland. This article is an open access article distributed under the terms and conditions of the Creative Commons Attribution (CC BY) license (http://creativecommons.org/licenses/by/4.0/).
Share and Cite
Lin, S.; An, G.; Huang, J.; Guo, Y. Robust Backstepping Control with Active Damping Strategy for Separating-Metering Electro-Hydraulic System. Appl. Sci. 2020, 10, 277. https://doi.org/10.3390/app10010277
Lin S, An G, Huang J, Guo Y. Robust Backstepping Control with Active Damping Strategy for Separating-Metering Electro-Hydraulic System. Applied Sciences. 2020; 10(1):277. https://doi.org/10.3390/app10010277
Chicago/Turabian StyleLin, Suhong, Gaocheng An, Jiahai Huang, and Yuhang Guo. 2020. "Robust Backstepping Control with Active Damping Strategy for Separating-Metering Electro-Hydraulic System" Applied Sciences 10, no. 1: 277. https://doi.org/10.3390/app10010277
APA StyleLin, S., An, G., Huang, J., & Guo, Y. (2020). Robust Backstepping Control with Active Damping Strategy for Separating-Metering Electro-Hydraulic System. Applied Sciences, 10(1), 277. https://doi.org/10.3390/app10010277
