The Effect of Monetary Incentives on Individual and Organizational Performance in an Italian Public Institution
Abstract
1. Introduction
2. Literature and Main Research Questions
- Difficulty in identifying objectives measurable and comparable for all task outputs. When criteria able to pick out a different “proactivity” of employees were used, difficulty in sharing and legitimizing the evaluation criteria were found.
- The organizational division of work implies a relationship between the individual and the working group: the individual works in cooperation in any case. We can wonder whether the individual monetary incentive, when promoting ambition, might undermine the solidarity inside groups.
2.1. Measurability and Performance
2.2. Incentives to Individual and Organizational Performance
3. Data
- Set 1: high performance level, in which 25% of the employees is placed, which accounts for 50% of the resources allocated for the optional pay related to individual performance;
- Set 2: intermediate performance level, in which 50% of the employees is placed, which accounts for 50% of the resources allocated for the optional pay related to individual performance;
- Set 3: low performance level, in which the remaining 25% of the employees is placed, which does not collect the assignment of any optional pay related to individual performance.
- Old monetary incentive, which is the part of the bonus (expressed in euros) granted to employees of the organization based on criteria that were used until the current change.
- New monetary incentive, which is the quota of incentives (expressed in euros) which was allocated based on the evaluation of the department managers, according to new criteria of merit.
- Salary level, divided into 12 levels, 8 of which are reserved for employees with a non-executive work position.
- Value index, an indicator of the effort made by each employee.
4. Methodology
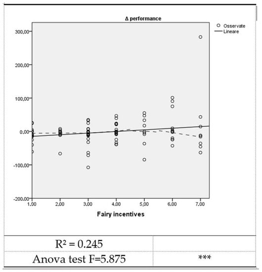
5. Results and Discussions
6. Conclusions
Author Contributions
Funding
Acknowledgments
Conflicts of Interest
References
- Achen, Christopher H. 1982. Interpreting and Using Regression. Sage University Paper series on Quantitative Applications in the Social Sciences; Beverly Hills: Sage. [Google Scholar]
- Adams, J. Stacy. 1963. Towards an understanding of inequity. The Journal of Abnormal and Social Psychology 67: 422. [Google Scholar] [CrossRef] [PubMed]
- Andersen, Lotte Bøgh. 2007. Professional norms, public service motivation and economic incentives: What motivates public employees. In Ikke angivet. Aarhus: Department of Political Science, University of Aarhus. [Google Scholar]
- Andersen, Lotte Bøgh. 2009. What determines the behaviour and performance of health professionals? Public service motivation, professional norms and/or economic incentives. International Review of Administrative Sciences 75: 79–97. [Google Scholar] [CrossRef]
- Ashton, David, Bryn Davies, Alan Felstead, and Francis Green. 1999. Work skills in Britain. SKOPE Monograph 1: 4. [Google Scholar]
- Atkinson, Michael M., Murray Fulton, and Boa Kim. 2014. Why do governments use pay for performance? Contrasting theories and interview evidence. Canadian Public Administration 57: 436–58. [Google Scholar] [CrossRef]
- Baldwin, Timothy T., Michael D. Bedell, and Jonathan L. Johnson. 1997. The social fabric of a team-based MBA program: Network effects on student satisfaction and performance. Academy of Management Journal 40: 1369–97. [Google Scholar]
- Bannò, Mariasole, and Francesca Sgobbi. 2010. Firm participation in financial incentive programmes: The case of subsidies for outward internationalisation. Journal of Policy Modeling 32: 792–803. [Google Scholar] [CrossRef]
- Barnard, C., and Herbert A. Simon. 1947. Administrative Behavior. A Study of Decision-Making Processes in Administrative Organizaztion. New York: Macmillan. [Google Scholar]
- Beaumont, Phillip B., and Richard ID Harris. 2003. Internal wage structures and organizational performance. British Journal of Industrial Relations 41: 53–70. [Google Scholar] [CrossRef]
- Belle, Nicola. 2015. Performance-Related Pay and the Crowding Out of Motivation in the Public Sector: A Randomized Field Experiment. Public Administration Review 75: 230–41. [Google Scholar] [CrossRef]
- Belle, Nicola, and Paola Cantarelli. 2015. Monetary incentives, motivation, and job effort in the public sector: An experimental study with Italian government executives. Review of Public Personnel Administration 35: 99–123. [Google Scholar] [CrossRef]
- Berumen, Sergio A., Luis P. Pérez-Megino, and Karen Arriaza Ibarra. 2016. Extrinsic motivation index: A new tool for managing labor productivity. International Journal of Business Science & Applied Management (IJBSAM) 11: 1–17. [Google Scholar]
- Bloom, Matt. 1999. The performance effects of pay dispersion on individuals and organizations. Academy of Management Journal 42: 25–40. [Google Scholar]
- Boachie-Mensah, Francis, and Ophelia Delali Dogbe. 2011. Performance-Based pay as a motivational tool for achieving organizational performance: An exploratory case study. International Journal of Business and Management 6: 270. [Google Scholar] [CrossRef]
- Boissevain, Jeremy, and J. Clyde Mitchell, eds. 2018. Network Analysis: Studies in Human Interaction. Berlin: Walter de Gruyter GmbH & Co KG. [Google Scholar]
- Booth, Alison L., and Jeff Frank. 1999. Earnings, productivity, and performance-related pay. Journal of Labor Economics 17: 447–63. [Google Scholar] [CrossRef]
- Borgatti, Stephen P., Martin G. Everett, and Linton C. Freeman. 2002. UCINET for Windows: Software for social network analysis. Harvard, MA: Analytic Technologies 6: 12–15. [Google Scholar]
- Boswell, Wendy R., John B. Bingham, and Alexander JS Colvin. 2006. Aligning employees through line of sight. Business Horizons 49: 499–509. [Google Scholar] [CrossRef][Green Version]
- Chang, Eunmi. 2011. Motivational effects of pay for performance: A multilevel analysis of a Korean case. International Journal of Human Resource Management 22: 3929–48. [Google Scholar] [CrossRef]
- Cook, Karen S., Richard M Emerson, Mary R Gillmore, and Toshio Yamagishi. 1983. The distribution of power in exchange networks: Theory and experimental results. American journal of sociology 89: 275–305. [Google Scholar] [CrossRef]
- Dahlström, Carl, and Victor Lapuente. 2017. Organizing Leviathan: Politicians, Bureaucrats, and The Making of Good Government. Cambridge: Cambridge University Press. [Google Scholar]
- Davidson, Stephen M., Larry M. Manheim, Mina M. Hohlen, Stephen M. Werner, Beth K. Yudkowsky, and Gretchen V. Fleming. 1992. Prepayment with office-based physicians in publicly funded programs: Results from the children’s Medicaid program. Pediatrics 89: 761–67. [Google Scholar]
- Davis, James H., F. David Schoorman, and Lex Donaldson. 1997. Toward a stewardship theory of management. Academy of Management Review 22: 20–47. [Google Scholar] [CrossRef]
- Deaton, Angus. 1997. The Analysis of Household Surveys: A Microeconometric Approach to Development Policy. Washington: World Bank Publications. [Google Scholar]
- Donaldson, David, and John A. Weymark. 1980. A single-parameter generalization of the Gini indices of inequality. Journal of Economic Theory 22: 67–86. [Google Scholar] [CrossRef]
- Dowling, Bernard, and Ray Richardson. 1997. Evaluating performance-related pay for managers in the National Health Service. International Journal of Human Resource Management 8: 348–66. [Google Scholar] [CrossRef]
- Eisenhardt, Kathleen M. 1989. Agency theory: An assessment and review. Academy of Management Review 14: 57–74. [Google Scholar] [CrossRef]
- Frey, Bruno S., Fabian Homberg, and Margit Osterloh. 2013. Organizational control systems and pay-for-performance in the public service. Organization Studies 34: 949–72. [Google Scholar] [CrossRef]
- Gini, Corrado. 1921. Measurement of Inequality of Incomes. The Economic Journal 31: 124–26. [Google Scholar] [CrossRef]
- Greenberg, Jerald. 1990. Organizational justice: Yesterday, today, and tomorrow. Journal of Management 16: 399–432. [Google Scholar] [CrossRef]
- Hansen, Morten T. 1999. The search-transfer problem: The role of weak ties in sharing knowledge across organization subunits. Administrative Science Quarterly 44: 82–111. [Google Scholar] [CrossRef]
- Heneman, Robert L., David B. Greenberger, and Stephen Strasser. 1988. The relationship between pay-for-performance perceptions and pay satisfaction. Personnel Psychology 41: 745–59. [Google Scholar] [CrossRef]
- Homans, George C. 1974. Social Behavior: Its elementary Forms, rev. ed. Oxford: Harcourt Brace Jovanovich. [Google Scholar]
- Hutchison, Brian, Stephen Birch, Jeremiah Hurley, Jonathan Lomas, and Fawne Stratford-Devai. 1996. Do physician-payment mechanisms affect hospital utilization? A study of Health Service Organizations in Ontario. CMAJ: Canadian Medical Association Journal 154: 653. [Google Scholar] [PubMed]
- Jacoby, William G. 2000. Loess: a nonparametric, graphical tool for depicting relationships between variables. Electoral Studies 19: 577–613. [Google Scholar] [CrossRef]
- Katou, Anastasia. 2011. Test of a causal human resource management-performance linkage model: evidence from the Greek manufacturing sector. International Journal of Business Science & Applied Management (IJBSAM) 6: 16–29. [Google Scholar]
- Knoeber, Charles R., and Walter N. Thurman. 1994. Testing the Theory of Tournaments: An Empirical Analysis of Broiler Production. Journal of Labor Economics 12: 155–79. [Google Scholar] [CrossRef]
- Kouides, Ruth W., Nancy M. Bennett, Bonnie Lewis, Joseph D. Cappuccio, William H. Barker, and F. Marc LaForce. 1998. Performance-based physician reimbursement and influenza immunization rates in the elderly. American Journal of Preventive Medicine 14: 89–95. [Google Scholar] [CrossRef]
- Krasnik, Allan, Peter P. Groenewegen, Poul A. Pedersen, Peter von Scholten, Gavin Mooney, Adam Gottschau, Henk A. Flierman, and Mogens T. Damsgaard. 1990. Changing remuneration systems: effects on activity in general practice. Bmj 300: 1698–701. [Google Scholar] [CrossRef] [PubMed]
- Ladley, Daniel, Ian Wilkinson, and Louise Young. 2015. The impact of individual versus group rewards on work group performance and cooperation: A computational social science approach. Journal of Business Research 68: 2412–25. [Google Scholar] [CrossRef]
- Laffont, Jean-Jacques, and David Martimort. 2001. The Theory of Incentives: The Principal-Agent Model. Princeton and Oxford: Princeton university press. [Google Scholar]
- Lah, T. J., and James L. Perry. 2008. The diffusion of the Civil Service Reform Act of 1978 in OECD countries: A tale of two paths to reform. Review of Public Personnel Administration 28: 282–99. [Google Scholar] [CrossRef]
- Larson, Jr, James R, Caryn Christensen, Timothy M. Franz, and Ann S. Abbott. 1998. Diagnosing groups: the pooling, management, and impact of shared and unshared case information in team-based medical decision making. Journal of Personality and Social Psychology 75: 93. [Google Scholar] [CrossRef] [PubMed]
- Lazear, Edward P. 1989. Pay equality and industrial politics. Journal of Political Economy 97: 561–80. [Google Scholar] [CrossRef]
- Lazear, Edward P., and Sherwin Rosen. 1979. Rank-order tournaments as optimum labor contracts. Journal of Political Economy 89: 841–64. [Google Scholar] [CrossRef]
- Luthans, Fr. 1973. The contingency theory of management: A path out of the jungle. Business Horizons 16: 67–72. [Google Scholar] [CrossRef]
- Marsden, David, and Stephen French. 2002. Performance pay in the United Kingdom. New York: ME Sharpe. [Google Scholar]
- Mavor, Anne S., and Renae F. Broderick. 1991. Pay for Performance: Evaluating Performance Appraisal and Merit Pay. Washington: National Academies Press. [Google Scholar]
- Milgrom, Paul, and John Roberts. 1992. Economics, Organization, and Management. Englewood Cliffs, NJ: Prentice Hall. [Google Scholar]
- Miller, Gary J., and Andrew B. Whitford. 2007. The principal’s moral hazard: Constraints on the use of incentives in hierarchy. Journal of Public Administration Research and Theory 17: 213–33. [Google Scholar] [CrossRef]
- Molm, Linda D. 1994. Dependence and risk: Transforming the structure of social exchange. Social Psychology Quarterly, 163–76. [Google Scholar] [CrossRef]
- Ouchi, William. G. 1977. The relationship between organizational structure and organizational control. Administrative Science Quarterly 22: 95–113. [Google Scholar] [CrossRef]
- Ouchi, William. G. 1979. A conceptual framework for the design of organizational control. Management Science 25: 833–48. [Google Scholar] [CrossRef]
- Perry, James L., Trent A. Engbers, and So Yun Jun. 2009. Back to the Future? Performance-Related Pay, Empirical Research, and the Perils of Persistence. Public Administration Review 69: 39–51. [Google Scholar] [CrossRef]
- Rosen, Sherwin. 1985. Prizes and incentives in elimination tournaments. No. w1668. National Bureau of Economic Research. [Google Scholar] [CrossRef]
- Salzman, James. 1999. Labor Rights, Globalization and Institutions: The Role and Influence of the Organization and Development. Michigan Journal of International Law 21: 769. [Google Scholar]
- Shaw, Jason D. 2014. Pay dispersion. Annual Review of Organizational Psychology and Organizational Behavior 1: 521–44. [Google Scholar] [CrossRef]
- Shaw, Jason D., Nina Gupta, and John E. Delery. 2002. Pay dispersion and workforce performance: Moderating effects of incentives and interdependence. Strategic Management Journal 23: 491–512. [Google Scholar] [CrossRef]
- Skinner, B. F. 1984. Theoretical contingencies. Behavioral and Brain Sciences 7: 541–46. [Google Scholar] [CrossRef]
- Spano, Alessandro, and Patrizio Monfardini. 2018. Performance-Related Payments in Local Governments: Do They Improve Performance or Only Increase Salary? International Journal of Public Administration 41: 321–34. [Google Scholar] [CrossRef]
- Stajkovic, Alexander D., and Fred Luthans. 1997. A meta-analysis of the effects of organizational behavior modification on task performance, 1975–95. Academy of Management journal 40: 1122–49. [Google Scholar]
- Van Eerde, Wendelien, and Henk Thierry. 1996. Vroom’s expectancy models and work-related criteria: A meta-analysis. Journal of applied psychology 81: 575. [Google Scholar] [CrossRef]
- Weibel, Antoinette, Katja Rost, and Margit Osterloh. 2009. Pay for performance in the public sector? Benefits and (hidden) costs. Journal of Public Administration Research and Theory 20: 387–412. [Google Scholar] [CrossRef]
- Whitford, Andrew B. 2006. Incentives and tournaments in public organizations. Available online: https://papers.ssrn.com/sol3/papers.cfm?abstract_id=873488 (accessed on 14 September 2019).
- Levitats, Zehavit, and Eran Vigoda-Gadot. 2019. Emotionally Engaged Civil Servants: Toward a Multilevel Theory and Multisource Analysis in Public Administration. Review of Public Personnel Administration. [Google Scholar] [CrossRef]


| Set | Performance Level | % of Employees | % of Optional Pay |
|---|---|---|---|
| 1 | High | 25 | 50 |
| 2 | Medium | 50 | 50 |
| 3 | Low | 25 | 0 |
| Symbol | Activity | Description |
|---|---|---|
| Area 1 | Support, Staff & Personnel | Presidential services, secretariat, Human Resource services |
| Area 2 | Promotional Activities | Back office work. Personalized services to companies with high added value. Business support, promotion of economic development and monitoring, studying and analysis of local economic data |
| Area 3 | Registry services | Front-office service in open space. Help citizens to compile files, updating of registers and lists with the main events that characterize the life of every enterprise. |
| Area 4 | Market regulation | Back office work. Regulator of the market, less contact with the public except for the settlement of disputes arising from economic relations between businesses. |
| Area 5 | Internal Services | Acquisition of goods and services necessary for the operation of internal offices. Maintenance of the property of the institution. |
| (1) | (2) | (3) | (4) | (5) | (6) | (7) | (8) | (9) | (10) | |
|---|---|---|---|---|---|---|---|---|---|---|
| Old monetary incentive (1) | 1 | |||||||||
| New monetary incentive (2) | 0.514 ** | 1 | ||||||||
| Problem solving (3) | 0.104 | 0.149 | 1 | |||||||
| Team working (4) | −0.027 | 0.093 | 0.364 ** | 1 | ||||||
| Self-organizing (5) | 0.049 | 0.217 * | 0.454 ** | 0.338 ** | 1 | |||||
| Technical knowledge (6) | 0.146 | 0.162 | 0.389 ** | 0.318 ** | 0.314 ** | 1 | ||||
| Customer oriented (7) | 0.038 | 0.066 | 0.430 ** | 0.427 ** | 0.367 ** | 0.331 ** | 1 | |||
| Value index (8) | 0.495 ** | 0.625 ** | 0.126 | 0.108 | 0.145 | 0.198 * | 0.017 | 1 | ||
| Salary level (9) | 0.171 | 0.308 ** | 0.099 | −0.054 | 0.082 | 0.051 | 0.141 | 0.376 ** | 1 | |
| Tenure (10) | −0.082 | −0.072 | −0.160 | −0.004 | −0.179 | −0.139 | 0.098 | 0.071 | 0.000 | 1 |
| Dependent Variable: Task Advice Centrality | ||||
|---|---|---|---|---|
| Predictors | Coefficient | SE | p | Sign. |
| (Constant) | 32.55 | 0.631 | ||
| Old monetary incentive | −0.19 | 0.01 | 0.069 | * |
| New monetary incentive | 0.31 | 0.00 | 0.006 | *** |
| Problem solving | 0.01 | 3.02 | 0.905 | |
| Team working | 0.19 | 2.57 | 0.067 | * |
| Self-organizing | −0.14 | 2.60 | 0.200 | |
| Technical knowledge | 0.12 | 2.40 | 0.216 | |
| Customer oriented | −0.15 | 2.87 | 0.189 | |
| Value index | 0.23 | 0.00 | 0.046 | ** |
| Salary level | 0.05 | 4.87 | 0.638 | |
| Tenure | 0.14 | 0.34 | 0.119 | |
| Area 1 | 0.07 | 9.65 | 0.506 | |
| Area 2 | −0.15 | 10.07 | 0.216 | |
| Area 3 | 0.05 | 8.21 | 0.702 | |
| Area 4 | −0.24 | 10.38 | 0.043 | ** |
| R2 adjusted | 0.245 | |||
| ANOVA Test F | 3.499 | <0.000 | ||
| (1) | (2) | (3) | (4) | (5) | (6) | (7) | (8) | (9) | (10) | |
|---|---|---|---|---|---|---|---|---|---|---|
| Old monetary incentive (1) | 1 | |||||||||
| New monetary incentive (2) | 0.633 ** | 1 | ||||||||
| Problem solving (3) | 0.060 | 0.156 | 1 | |||||||
| Team working (4) | −0.040 | −0.020 | 0.461 ** | 1 | ||||||
| Self-organizing (5) | 0.184 | 0.158 | 0.547 ** | 0.362 ** | 1 | |||||
| Technical knowledge (6) | 0.046 | 0.093 | 0.496 ** | 0.415 ** | 0.466 ** | 1 | ||||
| Customer oriented (7) | −0.019 | 0.023 | 0.464 ** | 0.456 ** | 0.551 ** | 0.500 ** | 1 | |||
| Value index (8) | 0.604 ** | 0.645 ** | 0.047 | −0.016 | 0.027 | 0.031 | −0.031 | 1 | ||
| Salary level (9) | 0.246 * | 0.368 ** | 0.093 | −0.009 | 0.152 | −0.062 | 0.061 | 0.309 ** | 1 | |
| Tenure (10) | −0.021 | 0.021 | −0.018 | 0.016 | 0.058 | −0.134 | 0.076 | 0.023 | −0.023 | 1 |
| Dependent Variable: Task Advice Centrality | ||||
|---|---|---|---|---|
| Predictors | Coefficient | SE | p | Sign. |
| (Constant) | 28.32 | 0.029 | ||
| Old monetary incentive | -0.40 | 0.01 | 0.001 | *** |
| New monetary incentive | 0.30 | 0.00 | 0.020 | ** |
| Problem solving | -0.07 | 2.06 | 0.554 | |
| Team working | -0.06 | 2.16 | 0.564 | |
| Self-organizing | -0.08 | 2.25 | 0.499 | |
| Technical knowledge | -0.19 | 2.47 | 0.120 | |
| Customer oriented | 0.21 | 2.58 | 0.082 | * |
| Value index | 0.25 | 0.00 | 0.050 | ** |
| Salary level | 0.07 | 3.85 | 0.543 | |
| Tenure | 0.09 | 0.26 | 0.333 | |
| Area 1 | 0.01 | 7.46 | 0.934 | |
| Area 2 | -0.21 | 8.60 | 0.095 | * |
| Area 3 | -0.43 | 6.73 | 0.001 | *** |
| Area 4 | -0.21 | 9.06 | 0.076 | * |
| R2 adjusted | 0.264 | |||
| ANOVA Test F | 3.612 | <0.000 | ||
| Employees’ Status | Δ Centrality (2013 Compared to 2011) | |
|---|---|---|
| Mean (% total) | Variance (% total) | |
| who gained a level of incentive | −7.3 (114) | 5.8 (46) |
| who remained stable (above the general mean) | −10.8 (169) | 17.1 (134) |
| who remained stable (under the general mean) | −4.7 (73) | 10.6 (83) |
| who lost a level of incentive | −5.6 (87) | 13.8 (108) |
| Total | −6.4 (100) | 12.8 (100) |
© 2019 by the authors. Licensee MDPI, Basel, Switzerland. This article is an open access article distributed under the terms and conditions of the Creative Commons Attribution (CC BY) license (http://creativecommons.org/licenses/by/4.0/).
Share and Cite
Cainarca, G.C.; Delfino, F.; Ponta, L. The Effect of Monetary Incentives on Individual and Organizational Performance in an Italian Public Institution. Adm. Sci. 2019, 9, 72. https://doi.org/10.3390/admsci9030072
Cainarca GC, Delfino F, Ponta L. The Effect of Monetary Incentives on Individual and Organizational Performance in an Italian Public Institution. Administrative Sciences. 2019; 9(3):72. https://doi.org/10.3390/admsci9030072
Chicago/Turabian StyleCainarca, Gian Carlo, Francesco Delfino, and Linda Ponta. 2019. "The Effect of Monetary Incentives on Individual and Organizational Performance in an Italian Public Institution" Administrative Sciences 9, no. 3: 72. https://doi.org/10.3390/admsci9030072
APA StyleCainarca, G. C., Delfino, F., & Ponta, L. (2019). The Effect of Monetary Incentives on Individual and Organizational Performance in an Italian Public Institution. Administrative Sciences, 9(3), 72. https://doi.org/10.3390/admsci9030072

