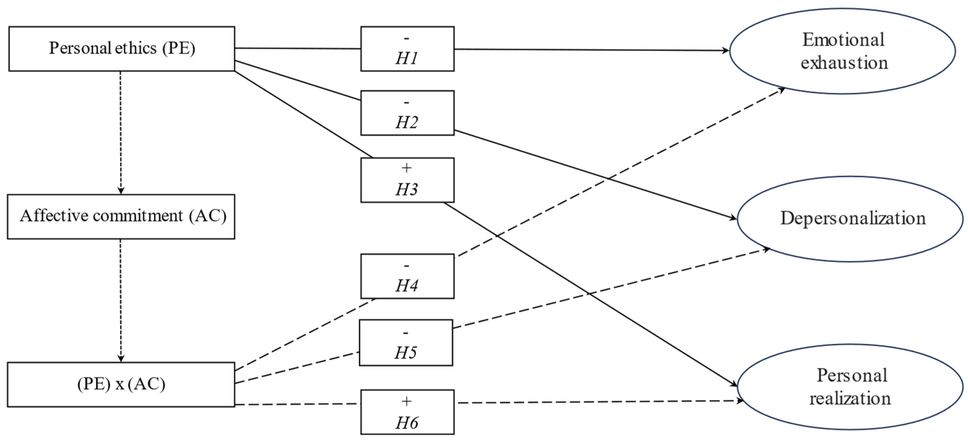
Relationship between Personal Ethics and Burnout: The Unexpected Influence of Affective Commitment
Abstract
1. Introduction
2. Theoretical Framework
2.1. Personal Ethics and Burnout
2.2. Moderating Effect of Affective Commitment on the Relationship between Personal Ethics and Burnout
3. Methodology
3.1. Type of Study and Study Context
3.2. Participants and Procedure
3.3. Measurements
3.4. Data Analysis
4. Results
4.1. Preliminary Analyzes
4.2. Moderation Analysis and Hypothesis Testing
5. Discussion
6. Conclusions
7. Practical Implications
8. Limitations and Future Research
Author Contributions
Funding
Institutional Review Board Statement
Informed Consent Statement
Data Availability Statement
Conflicts of Interest
References
- Alshaabani, Ayman, Farheen Naz, Róbert Magda, and Ildikó Rudnák. 2021. Impact of Perceived Organizational Support on OCB in the Time of COVID-19 Pandemic in Hungary: Employee Engagement and Affective Commitment as Mediators. Sustainability 13: 7800. [Google Scholar] [CrossRef]
- Ayub, Arslan, Ali Junaid Khan, Tanveer Ahmed, and Muhammad Akbar Ali Ansari. 2022. Examining the Relationship between Ethical Climate and Burnout Using Role Stress Theory. Review of Education, Administration & LAW 5: 1–9. [Google Scholar] [CrossRef]
- Barr, Peter. 2020. Moral Distress and Considering Leaving in NICU Nurses: Direct Effects and Indirect Effects Mediated by Burnout and the Hospital Ethical Climate. Neonatology 117: 646–49. [Google Scholar] [CrossRef] [PubMed]
- Bloemer, Josée, Mark Pluymaekers, and Armand Odekerken. 2013. Trust and affective commitment as energizing forces for export performance. International Business Review 22: 363–80. [Google Scholar] [CrossRef]
- Brown, Lori A., and Michael E. Roloff. 2011. Extra-Role Time, Burnout, and Commitment. Business Communication Quarterly 74: 450–74. [Google Scholar] [CrossRef]
- Buckley, Laura, Whitney Berta, Kristin Cleverley, and Kimberley Widger. 2021. The Relationships Amongst Pediatric Nurses’ Work Environments, Work Attitudes, and Experiences of Burnout. Frontiers in Pediatrics 9: 807245. [Google Scholar] [CrossRef] [PubMed]
- Cao, Jiming, Cong Liu, Yubin Zhou, and Kaifeng Duan. 2020. Work-to-Family Conflict, Job Burnout, and Project Success among Construction Professionals: The Moderating Role of Affective Commitment. International Journal of Environmental Research and Public Health 17: 2902. [Google Scholar] [CrossRef]
- Chernyak-Hai, Lily, and Aharon Tziner. 2016. The “I believe” and the “I invest” of Work-Family Balance: The indirect influences of personal values and work engagement via perceived organizational climate and workplace burnout. Revista de Psicología Del Trabajo y de Las Organizaciones 32: 1–10. [Google Scholar] [CrossRef]
- Dzeng, Elizabeth, and J. Randall Curtis. 2018. Understanding ethical climate, moral distress, and burnout: A novel tool and a conceptual framework. BMJ Quality & Safety 27: 766–70. [Google Scholar] [CrossRef] [PubMed]
- Edú-Valsania, Sergio, Ana Laguía, and Juan A. Moriano. 2022. Burnout: A Review of Theory and Measurement. International Journal of Environmental Research and Public Health 19: 1780. [Google Scholar] [CrossRef] [PubMed]
- Elçi, Meral, Melisa Erdilek Karabay, and Bülent Akyüz. 2015. Investigating the Mediating Effect of Ethical Climate on Organizational Justice and Burnout: A Study on Financial Sector. Procedia—Social and Behavioral Sciences 207: 587–97. [Google Scholar] [CrossRef]
- Fantinelli, Stefania, Teresa Galanti, Gloria Guidetti, Federica Conserva, Veronica Giffi, Michela Cortini, and Teresa Di Fiore. 2023. Psychological contracts and organizational commitment: The positive impact of relational contracts on call center operators. Administrative Sciences 13: 112. [Google Scholar] [CrossRef]
- Fornell, Claes, and David F. Larcker. 1981. Evaluating Structural Equation Models with Unobservable Variables and Measurement Error. Journal of Marketing Research 18: 39–50. [Google Scholar] [CrossRef]
- Freitas, Mariana, Ana Moreira, and Fernando Ramos. 2023. Occupational stress and turnover intentions in employees of the Portuguese tax and customs authority: Mediating effect of burnout and moderating effect of motivation. Administrative Sciences 13: 251. [Google Scholar] [CrossRef]
- Gomes, Gabriela Pedro, Neuza Ribeiro, and Daniel Roque Gomes. 2022. The impact of burnout on police officers’ performance and turnover intention: The moderating role of compassion satisfaction. Administrative Sciences 12: 92. [Google Scholar] [CrossRef]
- Hair, Joe F., Christian M. Ringle, and Marko Sarstedt. 2011. PLS-SEM: Indeed a Silver Bullet. Journal of Marketing Theory and Practice 19: 139–52. [Google Scholar] [CrossRef]
- Hayes, Andrew F. 2018. Partial, conditional, and moderated moderated mediation: Quantification, inference, and interpretation. Communication Monographs 85: 4–40. [Google Scholar] [CrossRef]
- Hemsey, Destiny R., and Jason J. Dahling. 2023. Basic values moderate the effects of emotional display rule demands on emotional exhaustion. Personality and Individual Differences 202: 111982. [Google Scholar] [CrossRef]
- Hobfoll, Stevan E., Jonathon Halbesleben, Jean-Pierre Neveu, and Mina Westman. 2018. Conservation of Resources in the Organizational Context: The Reality of Resources and Their Consequences. Annual Review of Organizational Psychology and Organizational Behavior 5: 103–28. [Google Scholar] [CrossRef]
- Kline, Rex B. 1998. Software Review: Software Programs for Structural Equation Modeling: Amos, EQS, and LISREL. Journal of Psychoeducational Assessment 16: 343–64. [Google Scholar] [CrossRef]
- Kohlberg, Lawrence. 1969. Stage and sequence: The cognitive-developmental approach to socialization. In Handbook of Socialization Theory and Research. Edited by David Goslin. New York: Rand McNally & Company, pp. 347–480. [Google Scholar]
- Lambert, Eric G., Hanif Qureshi, James Frank, Charles Klahm, and Brad Smith. 2018. Job Stress, Job Involvement, Job Satisfaction, and Organizational Commitment and Their Associations with Job Burnout Among Indian Police Officers: A Research Note. Journal of Police and Criminal Psychology 33: 85–99. [Google Scholar] [CrossRef]
- Langbein, Laura, and Pablo Sanabria. 2013. The Shape of Corruption: Colombia as a Case Study. Journal of Development Studies 49: 1500–13. [Google Scholar] [CrossRef]
- Lapointe, Émilie, Alexandre Morin, François Courcy, Amélie Boilard, and Daniel Payette. 2011. Workplace Affective Commitment, Emotional Labor and Burnout: A Multiple Mediator Model. International Journal of Business and Management 7: 3. [Google Scholar] [CrossRef]
- Lee, Minkyung, and Boyoung Kim. 2023. Effect of the employees’ mental toughness on organizational commitment and job satisfaction: Mediating psychological well-being. Administrative Sciences 13: 133. [Google Scholar] [CrossRef]
- Lee, Ye Hoon, Boyun Woo, and Yukyoum Kim. 2018. Transformational leadership and organizational citizenship behavior: Mediating role of affective commitment. International Journal of Sports Science & Coaching 13: 373–82. [Google Scholar] [CrossRef]
- Li, Xintian, and Peng Peng. 2022. How Does Inclusive Leadership Curb Workers’ Emotional Exhaustion? The Mediation of Caring Ethical Climate and Psychological Safety. Frontiers in Psychology 13: 877725. [Google Scholar] [CrossRef] [PubMed]
- Liu, Cong, Jiming Cao, Peng Zhang, and Guangdong Wu. 2020. Investigating the Relationship between Work-To-Family Conflict, Job Burnout, Job Outcomes, and Affective Commitment in the Construction Industry. International Journal of Environmental Research and Public Health 17: 5995. [Google Scholar] [CrossRef] [PubMed]
- Liu, Weiwei, Zhiqing E. Zhou, and Xin Xuan Che. 2019. Effect of Workplace Incivility on OCB Through Burnout: The Moderating Role of Affective Commitment. Journal of Business and Psychology 34: 657–69. [Google Scholar] [CrossRef]
- Lu, Haidong, Stephen R. Cole, Chanelle J. Howe, and Daniel Westreich. 2022. Toward a clearer definition of selection bias when estimating causal effects. Epidemiology 33: 699–706. [Google Scholar] [CrossRef]
- Martins, Patrícia, Generosa Nascimento, and Ana Moreira. 2023. Leadership and turnover intentions in a public hospital: The mediating effect of organisational commitment and moderating effect by activity department. Administrative Sciences 13: 18. [Google Scholar] [CrossRef]
- Maslach, Christina. 1982. Burnout: The Cost of Caring. New York: Prentice-Hall Press. [Google Scholar]
- Maslach, Christina, and Susan E. Jackson. 1981. The measurement of experienced burnout. Journal of Organizational Behavior 2: 99–113. [Google Scholar] [CrossRef]
- Maslach, Christina, and Susan E. Jackson. 1986. Maslach Burnout Inventory. Palo Alto: Consulting Psychologists Press. [Google Scholar]
- Meyer, John P., and Natalie J. Allen. 1991. A three-component conceptualization of organizational commitment. Human Resource Management Review 1: 61–89. [Google Scholar] [CrossRef]
- Mulki, Jay P., Jorge F. Jaramillo, and William B. Locander. 2008. Effect of Ethical Climate on Turnover Intention: Linking Attitudinal- and Stress Theory. Journal of Business Ethics 78: 559–74. [Google Scholar] [CrossRef]
- Ochoa Pacheco, Paola, David Coello-Montecel, and Michelle Tello. 2023. Psychological empowerment and job performance: Examining serial mediation effects of self-efficacy and affective commitment. Administrative Sciences 13: 76. [Google Scholar] [CrossRef]
- Ouedraogo, Noufou, and Mohammed Laid Ouakouak. 2018. Impacts of personal trust, communication, and affective commitment on change success. Journal of Organizational Change Management 31: 676–96. [Google Scholar] [CrossRef]
- Ozdoba, Patrycja, Magdalena Dziurka, Anna Pilewska-Kozak, and Beata Dobrowolska. 2022. Hospital Ethical Climate and Job Satisfaction among Nurses: A Scoping Review. International Journal of Environmental Research and Public Health 19: 4554. [Google Scholar] [CrossRef] [PubMed]
- Páez, Iliana, and Elvira Salgado. 2016. When deeds speak, words are nothing: A study of ethical leadership in Colombia. Business Ethics: A European Review 25: 538–55. [Google Scholar] [CrossRef]
- Petitta, Laura, and Michele Vecchione. 2011. Job Burnout, Absenteeism, and Extra Role Behaviors. Journal of Workplace Behavioral Health 26: 97–121. [Google Scholar] [CrossRef]
- Podsakoff, Philip M., Scott B. MacKenzie, and Nathan P. Podsakoff. 2012. Sources of Method Bias in Social Science Research and Recommendations on How to Control It. Annual Review of Psychology 63: 539–69. [Google Scholar] [CrossRef]
- Podsakoff, Philip M., Scott B. MacKenzie, Jeong-Yeon Lee, and Nathan P. Podsakoff. 2003. Common method biases in behavioral research: A critical review of the literature and recommended remedies. Journal of Applied Psychology 88: 879–903. [Google Scholar] [CrossRef]
- Ramaci, Tiziana, Venerando Rapisarda, Diego Bellini, Nicola Mucci, Andrea De Giorgio, and Massimiliano Barattucc. 2020. Mindfulness as a Protective Factor for Dissatisfaction in HCWs: The Moderating Role of Mindful Attention between Climate Stress and Job Satisfaction. International Journal of Environmental Research and Public Health 17: 3818. [Google Scholar] [CrossRef] [PubMed]
- Rivaz, Mozhgan, Fatemeh Asadi, and Parisa Mansouri. 2020. Assessment of the Relationship between Nurses’ Perception of Ethical Climate and Job Burnout in Intensive Care Units. Investigación y Educación En Enfermería 38: e12. [Google Scholar] [CrossRef] [PubMed]
- Sagiv, Lilach, Sonia Roccas, Jan Cieciuch, and Shalom H. Schwartz. 2017. Personal values in human life. Nature Human Behaviour 1: 630–39. [Google Scholar] [CrossRef] [PubMed]
- Salanova, Marisa, and Wilmar B. Schaufeli. 2000. Exposure to information technology and its relation to burnout. Behaviour & Information Technology 19: 385–92. [Google Scholar] [CrossRef]
- Saleh, Tajneen Affnaan, Abdullah Sarwar, Md. Amirul Islam, Muhammad Mohiuddin, and Zhan Su. 2022. Effects of Leader Conscientiousness and Ethical Leadership on Employee Turnover Intention: The Mediating Role of Individual Ethical Climate and Emotional Exhaustion. International Journal of Environmental Research and Public Health 19: 8959. [Google Scholar] [CrossRef]
- Santiago-Torner, Carlos. 2023a. Curvilinear relationship between ethical leadership and creativity within the Colombian electricity sector. The mediating role of work autonomy, affective commitment, and intrinsic motivation. Revista iberoamericana de estudios de desarrollo = Iberoamerican Journal of Development Studies 12: 74–100. [Google Scholar] [CrossRef]
- Santiago-Torner, Carlos. 2023b. Ethical Climate and Creativity: The Moderating Role of Work Autonomy and the Mediator Role of Intrinsic Motivation. Cuadernos de Gestión 23: 93–105. [Google Scholar] [CrossRef]
- Santiago-Torner, Carlos. 2023c. Teleworking and emotional exhaustion in the Colombian electricity sector: The mediating role of affective commitment and the moderating role of creativity. Intangible Capital 19: 207–58. [Google Scholar] [CrossRef]
- Santiago-Torner, Carlos, Elisenda Tarrats-Pons, and José-Antonio Corral-Marfil. 2023a. Effects of Intensity of Teleworking and Creative Demands on the Cynicism Dimension of Job Burnout. Employee Responsibilities and Rights Journal. [Google Scholar] [CrossRef]
- Santiago-Torner, Carlos, Elisenda Tarrats-Pons, and José Antonio Corral-Marfil. 2023b. Teleworking and Emotional Exhaustion. The Curvilinear Role of Work Intensity. International and Multidisciplinary Journal of Social Sciences 12: 123–56. [Google Scholar] [CrossRef]
- Schaufeli, Wilmar B., Michael P. Leiter, Christina Maslach, and Susan E. Jackson. 1996. Maslach Burnout Inventory—General Survey. In The Maslach Burnout Inven—Tory-Test Manual, 3rd ed. Edited by Christina Maslach, Susan E. Jackson and Michael P. Leiter. Palo Alto: Consulting Psychologists Press. [Google Scholar]
- Schaufeli, Wilmar B., Steffie Desart, and Hans De Witte. 2020. Burnout Assessment Tool (BAT)—Development, Validity, and Reliability. International Journal of Environmental Research and Public Health 17: 9495. [Google Scholar] [CrossRef] [PubMed]
- Schwartz, Shalom H. 2012. An Overview of the Schwartz Theory of Basic Values. Online Readings in Psychology and Culture 2: 11. [Google Scholar] [CrossRef]
- Semlali, Yahdih, and Musaddag Elrayah. 2022. The organizational commitment of public administrative leaders and their subjective career success: Case of the saudi irrigation organization. Administrative Sciences 12: 125. [Google Scholar] [CrossRef]
- Sert, Arzu, Meral Elçi, Tanyeri Uslu, and İrge Şener. 2014. The Effects of Organizational Justice and Ethical Climate on Perceived Work Related Stress. Procedia—Social and Behavioral Sciences 150: 1187–98. [Google Scholar] [CrossRef]
- Setti, Ilaria, Marcel Lourel, and Piergiorgio Argentero. 2016. The role of affective commitment and perceived social support in protecting emergency workers against burnout and vicarious traumatization. Traumatology 22: 261–70. [Google Scholar] [CrossRef]
- Sortheix, Florencia M., and Jan-Erik Lönnqvist. 2014. Personal Value Priorities and Life Satisfaction in Europe. Journal of Cross-Cultural Psychology 45: 282–99. [Google Scholar] [CrossRef]
- Sousa, Marlene, Eulália Santos, Tânia Santos, and Márcio Oliveira. 2023. The Influence of Empowerment on the Motivation of Portuguese Employees—A Study Based on a Structural Equation Model. Administrative Sciences 13: 230. [Google Scholar] [CrossRef]
- Starbird, S. Andrew, Jill M. Martin, Yacanex Posadas, and Alma Gutiérrez. 2022. The impact of formality, integration, and commitment on the performance of Latino-owned small businesses. Administrative Sciences 12: 105. [Google Scholar] [CrossRef]
- Tartakovsky, Eugene. 2016. Personal value preferences and burnout of social workers. Journal of Social Work 16: 657–73. [Google Scholar] [CrossRef]
- Tartakovsky, Eugene, and Eti Cohen. 2014. Values in the bank: Value preferences of bank frontline workers and branch managers. European Journal of Work and Organizational Psychology 23: 769–82. [Google Scholar] [CrossRef]
- Teresi, Manuel, Davide Dante Pietroni, Massimiliano Barattucci, Valeria Amata Giannella, and Stefano Pagliaro. 2019. Ethical Climate(s), Organizational Identification, and Employees’ Behavior. Frontiers in Psychology 10: 1356. [Google Scholar] [CrossRef] [PubMed]
- Turnipseed, David L. 2002. Are good soldiers good? Journal of Business Research 55: 1–15. [Google Scholar] [CrossRef]
- Victor, Bart, and John B. Cullen. 1988. The Organizational Bases of Ethical Work Climates. Administrative Science Quarterly 33: 101. [Google Scholar] [CrossRef]
- Vigoda-Gadot, Eran. 2006. Compulsory Citizenship Behavior: Theorizing Some Dark Sides of the Good Soldier Syndrome in Organizations. Journal for the Theory of Social Behaviour 36: 77–93. [Google Scholar] [CrossRef]
- Wang, Liz C., and Lisa Calvano. 2015. Is Business Ethics Education Effective? An Analysis of Gender, Personal Ethical Perspectives, and Moral Judgment. Journal of Business Ethics 126: 591–602. [Google Scholar] [CrossRef]
- Wang, Lyu, Xiaoyu Dong, Yan An, Cancan Chen, Marion Eckert, Greg Sharplin, Jennifer Fish, and Xiuzhen Fan. 2022. Relationships between job burnout, ethical climate and organizational citizenship behaviour among registered nurses: A cross-sectional study. International Journal of Nursing Practice 29: e13115. [Google Scholar] [CrossRef]






| ALPHA 1 | CR 2 | CFC 3 | AVE 4 | DV 5 | |
|---|---|---|---|---|---|
| Personal Ethics | 0.72 | >1.96 | 0.740 | 0.560 | 0.740 |
| Affective Commitment | 0.86 | >1.96 | 0.830 | 0.690 | 0.830 |
| Emotional Exhaustion | 0.90 | >1.96 | 0.860 | 0.680 | 0.820 |
| Depersonalization | 0.90 | >1.96 | 0.850 | 0.670 | 0.810 |
| Personal Realization | 0.89 | >1.96 | 0.880 | 0.660 | 0.810 |
| Constructs | N | M | SD | S | A | PE | AC | EE | D | PF |
|---|---|---|---|---|---|---|---|---|---|---|
| Gender (S) | 1 | 1.4 | 0.49 | x | ||||||
| Seniority (A) | 1 | 3.6 | 1.8 | 0.037 | x | |||||
| Personal Ethics (PE) | 3 | 2.0 | 0.67 | −0.099 * | −0.041 | (0.740) | ||||
| Affective Commitment (AC) | 6 | 29.8 | 3.8 | 0.082 | 0.073 | −0.187 * | (0.830) | |||
| Emotional Exhaustion (EE) | 5 | 23.1 | 5.6 | 0.028 | 0.129 * | −0.239 * | 0.445 * | (0.820) | ||
| Depersonalization (D) | 4 | 23.3 | 5.1 | 0.039 | 0.069 | −0.261 * | 0.571 * | 0.646 * | (0.810) | |
| Personal Realization (PF) | 6 | 29.6 | 3.9 | 0.001 | 0.087 | −0.060 | 0.430 * | 0.349 * | 0.390 * | (0.810) |
| Effect | Route | β | p | t | SE | LLCI | ULCI | |
|---|---|---|---|---|---|---|---|---|
| R: 0.493. R2: 0.243. SE: 23.657. F: 28.309. p: 0.001 | ||||||||
| Effect PE 1—EE 2 | b1 | −1.714 | 0.003 | −3.008 | 0.570 | −2.834 | −0.594 | |
| Effect AC 3—EE | b2 | −0.021 | 0.920 | −0.100 | 0.212 | −0.438 | 0.396 | |
| Effect PE × AC—EE | b3 | 0.045 | 0.017 | 2.395 | 0.019 | 0.008 | 0.082 | |
| Effect control variable Gender | −0.365 | 0.443 | −0.768 | 0.476 | −1.301 | 0.570 | ||
| Effect control variable Seniority | 0.292 | 0.021 | 2.323 | 0.126 | 0.045 | 0.539 | ||
| Conditional eff. AC (PE-EE) | Low (25) | −0.587 | 0.001 | −4.415 | 0.133 | −0.849 | −0.326 | |
| Medium (30) | −0.362 | 0.001 | −3.735 | 0.097 | −0.552 | −0.172 | ||
| High (35) | −0.137 | 0.319 | −0.997 | 0.137 | −0.406 | 0.133 | ||
| Effect | Route | β | p | t | SE | LLCI | ULCI | |
|---|---|---|---|---|---|---|---|---|
| R: 0.611. R2: 0.373. SE: 8.244. F: 52.598. p: 0.001 | ||||||||
| Effect PE 1—DEP 2 | b1 | −1.522 | 0.001 | −4.523 | 0.336 | −2.183 | −0.860 | |
| Effect AC 3—DEP | b2 | −0.067 | 0.595 | −0.532 | 0.125 | −0.313 | 0.180 | |
| Effect PE × AC—DEP | b3 | 0.043 | 0.001 | 3.867 | 0.011 | 0.021 | 0.065 | |
| Effect control variable Gender | −0.242 | 0.390 | −0.861 | 0.281 | −0.794 | 0.310 | ||
| Effect control variable Seniority | 0.056 | 0.452 | 0.752 | 0.074 | −0.090 | 0.202 | ||
| Conditional eff. AC (PE-DEP) | Low (25) | −0.448 | 0.001 | −5.704 | 0.079 | −0.602 | −0.294 | |
| Medium (30) | −0.233 | 0.001 | −4.076 | 0.057 | −0.346 | −0.121 | ||
| High (35) | −0.018 | 0.820 | −0.228 | 0.081 | −0.178 | 0.141 | ||
| Effect | Route | β | p | t | SE | LLCI | ULCI | |
|---|---|---|---|---|---|---|---|---|
| R: 0.436. R2: 0.190. SE: 8.336. F: 20.722. p: 0.001 | ||||||||
| Effect PE 1—SR 2 | b1 | 0.187 | 0.580 | 0.553 | 0.338 | −0.478 | 0.852 | |
| Effect AC 3—SR | b2 | 0.345 | 0.006 | 2.741 | 0.126 | 0.098 | 0.593 | |
| Effect PE × AC—SR | b3 | −0.005 | 0.629 | −0.483 | 0.019 | −0.027 | 0.017 | |
| Effect control variable Gender | −0.214 | 0.448 | −0.759 | 0.282 | −0.769 | 0.341 | ||
| Effect control variable Seniority | 0.099 | 0.187 | 1.323 | 0.075 | −0.048 | 0.245 | ||
Disclaimer/Publisher’s Note: The statements, opinions and data contained in all publications are solely those of the individual author(s) and contributor(s) and not of MDPI and/or the editor(s). MDPI and/or the editor(s) disclaim responsibility for any injury to people or property resulting from any ideas, methods, instructions or products referred to in the content. |
© 2024 by the authors. Licensee MDPI, Basel, Switzerland. This article is an open access article distributed under the terms and conditions of the Creative Commons Attribution (CC BY) license (https://creativecommons.org/licenses/by/4.0/).
Share and Cite
Santiago-Torner, C.; Corral-Marfil, J.-A.; Tarrats-Pons, E. Relationship between Personal Ethics and Burnout: The Unexpected Influence of Affective Commitment. Adm. Sci. 2024, 14, 123. https://doi.org/10.3390/admsci14060123
Santiago-Torner C, Corral-Marfil J-A, Tarrats-Pons E. Relationship between Personal Ethics and Burnout: The Unexpected Influence of Affective Commitment. Administrative Sciences. 2024; 14(6):123. https://doi.org/10.3390/admsci14060123
Chicago/Turabian StyleSantiago-Torner, Carlos, José-Antonio Corral-Marfil, and Elisenda Tarrats-Pons. 2024. "Relationship between Personal Ethics and Burnout: The Unexpected Influence of Affective Commitment" Administrative Sciences 14, no. 6: 123. https://doi.org/10.3390/admsci14060123
APA StyleSantiago-Torner, C., Corral-Marfil, J.-A., & Tarrats-Pons, E. (2024). Relationship between Personal Ethics and Burnout: The Unexpected Influence of Affective Commitment. Administrative Sciences, 14(6), 123. https://doi.org/10.3390/admsci14060123

