Occupational Stress and Turnover Intentions in Employees of the Portuguese Tax and Customs Authority: Mediating Effect of Burnout and Moderating Effect of Motivation
Abstract
1. Introduction
2. Theoretical Framework and Research Hypotheses
2.1. Occupational Stress and Turnover Intentions
2.2. Occupational Stress and Burnout
2.3. Burnout and Turnover Intentions
2.4. Occupational Stress, Burnout, and Turnover Intentions
2.5. Motivation at Work and Turnover Intentions
2.6. The Moderating Effect of Motivation
3. Materials and Methods
3.1. Data Collection Procedure
3.2. Participants
3.3. Data Analysis Procedure
3.4. Instruments
4. Results
4.1. Descriptive Statistics of the Variables under Study
4.2. Association between the Variables under Study
4.3. Hypothesis
5. Discussion
Limitations
6. Conclusions
Author Contributions
Funding
Institutional Review Board Statement
Informed Consent Statement
Data Availability Statement
Conflicts of Interest
Appendix A
| Variables | B | SE | t | p | 95% CI |
|---|---|---|---|---|---|
| Users → turnover intentions (R2 = 0.24; p < 0.001) | |||||
| Constant | 3.53 *** | 0.04 | 86.13 *** | <0.001 | [3.45, 3.61] |
| Users | 0.29 *** | 0.04 | 6.64 *** | <0.001 | [0.20, 0.37] |
| Identified motivation | −0.26 *** | 0.03 | −9.51 *** | <0.001 | [−0.32, −0.21] |
| U*IdM | 0.04 | 0.03 | 1.65 | 0.099 | [−0.08, 0.10] |
| Managers → turnover intentions (R2 = 0.24; p < 0.001) | |||||
| Constant | 3.51 *** | 0.04 | 82.79 *** | <0.001 | [3.43, 3.60] |
| Managers | 0.28 *** | 0.04 | 4.04 *** | <0.001 | [0.20, 0.35] |
| Identified motivation | −0.23 *** | 0.03 | −8.01 *** | <0.001 | [−0.29, −0.17] |
| M*IdM | 0.01 | 0.02 | 0.24 | 0.810 | [−0.04, 0.05] |
| Colleagues → turnover intentions (R2 = 0.23; p < 0.001) | |||||
| Constant | 3.52 *** | 0.04 | 85.47 *** | <0.001 | [3.45, 3.61] |
| Colleagues | 0.23 *** | 0.03 | 5.96 *** | <0.001 | [0.16, 0.31] |
| Identified motivation | −0.27 *** | 0.03 | −9.71 *** | <0.001 | [−0.32, −0.21] |
| C*IdM | 0.04 | 0.02 | 1.65 | 0.100 | [−0.01, 0.09] |
| Overwork → turnover intentions (R2 = 0.26; p < 0.001) | |||||
| Constant | 3.52 *** | 0.04 | 85.31 *** | <0.001 | [3.44, 3.60] |
| Overwork | 0.37 *** | 0.05 | 7.84 *** | <0.001 | [0.28, 0.47] |
| Identified motivation | −0.23 *** | 0.03 | −8.39 *** | <0.001 | [−0.29, −0.18] |
| O*IdM | 0.03 | 0.03 | 0.99 | 0.321 | [−0.03, 0.09] |
| Career and pay → turnover intentions (R2 = 0.21; p < 0.001) | |||||
| Constant | 3.52 *** | 0.05 | 77.23 *** | <0.001 | [3.42, 3.60] |
| Career and pay | 0.22 *** | 0.05 | 4.07 *** | <0.001 | [0.11, 0.32] |
| Identified motivation | −0.25 *** | 0.03 | −7.90 *** | <0.001 | [−0.31, −0.19] |
| CP*IdM | 0.01 | 0.03 | 0.17 | 0.862 | [0.06, 0.07] |
| Family problems → Turnover Intentions (R2 = 0.22; p < 0.001) | |||||
| Constant | 3.52 *** | 0.04 | 83.49 *** | <0.001 | [3.45, 3.61] |
| Family problems | 0.19 *** | 0.03 | 4.85 *** | <0.001 | [0.12, 0.27] |
| Identified motivation | −0.27 *** | 0.03 | −9.43 *** | <0.001 | [−0.32, −0.21] |
| FP*IdM | 0.03 | 0.02 | 1.37 | 0.173 | [−0.01, 0.08] |
| Work conditions→ turnover intentions (R2 = 0.21; p < 0.001) | |||||
| Constant | 3.52 *** | 0.04 | 80.37 *** | <0.001 | [3.44, 3.61] |
| Work conditions | 0.21 *** | 0.05 | 4.53 *** | <0.001 | [0.12, 0.30] |
| Identified motivation | −0.26 *** | 0.03 | −8.60 *** | <0.001 | [−0.31, −0.20] |
| WC*IdM | 0.02 | 0.03 | 0.82 | 0.412 | [−0.03, 0.08] |
References
- Afonso, Jorge, and António Rui Gomes. 2012. Stress ocupacional na função pública: Um estudo comparativo entre colaboradores de uma autarquia local. In Actas do 9º Congresso Nacional de Psicologia da Saúde. Edited by José Luís Pais Ribeiro, Isabel Leal, Anabela Pereira, Ana Torres, Inês Direito and Paula Vagos. Lisboa: Placebo, Editora Lda, pp. 14–21. [Google Scholar]
- Ahn, Ji Young, and Chaoyu Wang. 2019. Job stress and turnover intention revisited: Evidence from KoreanFirms. Problems and Perspectives in Management 17: 52–61. [Google Scholar] [CrossRef]
- Ajzen, Icek. 2012. The theory of planned behavior. In The Handbook of Theories of Social Psychology. Edited by Paul Lange, Arie Kruglanski and Tory Higgins. London: Sage Publications, pp. 438–59. [Google Scholar]
- Avey, James B., Fred Luthans, and Susan M. Jensen. 2009. Psychological capital: A positive resource for combating employee stress and turnover. Human Resource Management 48: 677–93. [Google Scholar] [CrossRef]
- Bakker, Arnold B., and Evangelia Demerouti. 2008. Towards a model of work engagement. Career Development International 13: 209–23. [Google Scholar] [CrossRef]
- Baron, Reuben M., and David A. Kenny. 1986. The moderator–mediator variable distinction in social psychological research: Conceptual, strategic, and statistical considerations. Journal of Personality and Social Psychology 51: 1173–82. [Google Scholar] [CrossRef] [PubMed]
- Benson, George S. 2006. Employee development, commitment and intention to turnover: A test of “employability” policies in action. Human Resource Management Journal 16: 173–92. [Google Scholar] [CrossRef]
- Bester, Janie, Marius Wilhelm Stander, and Llewellyn Ellardus Van Zyl. 2015. Leadership empowering behaviour, psychological empowerment, organisational citizenship behaviours and turnover intention in a manufacturing division: Original research. SA Journal of Industrial Psychology 41: 1–14. [Google Scholar] [CrossRef]
- Bicho, Leandro Manuel Dias, and Susete Rodrigues Pereira. 2007. Stress Ocupacional. Coimbra: Instituto Politécnico de Coimbra, Departamento de Engenharia Civil. [Google Scholar]
- Bozeman, Dennis P., and Pamela Perrewé. 2001. The effect of item content overlap on organizational commitment questionnaire—turnover cognitions relationships. Journal of Applied Psychology 86: 161–73. [Google Scholar] [CrossRef]
- Bryman, Alan, and Duncan Cramer. 2003. Análise de Dados em Ciências Sociais. Introdução às Técnicas Utilizando o SPSS para Windows, 3rd ed. Oeiras: Celta. [Google Scholar]
- Carod-Artal, Francisco J., and Carolina Vázquez-Cabrera. 2013. Burnout syndrome in an international setting. In Burnout for Experts: Prevention in the Context of Living and Working. Edited by Sabine Bährer-Kohler. Berlin: Springer Science + Business Media, pp. 15–35. [Google Scholar] [CrossRef]
- CNN Portugal. 2021. Available online: https://cnnportugal.iol.pt/trabalhadores/autoridade-tributaria-e-aduaneira/greve-dos-trabalhores-dos-impostos-e-alfandegas-encerra-70-dos-servicos-diz-sindicato/20271231/61a8eb890cf2cc58e7d5decc (accessed on 22 November 2023).
- Deci, Eduard L., and Richard Ryan. 2008. Self-determination theory: A macrotheory of human motivation, development, and health. Canadian Psychology 49: 182–85. [Google Scholar] [CrossRef]
- Deci, Eduard L., Anja H. Olafsen, and Richard Ryan. 2017. Self-determination theory in work organizations: The state of a science. Annual Review of Organizational Psychology and Organizational Behavior 4: 19–43. [Google Scholar] [CrossRef]
- Demerouti, Evangelia, and Friedhelm Nachreiner. 1998. Zur spezifität von burnout für dienstleistungsberufe: Fakt oder artefakt? [The specificity of burnout in human services: Fact or artifact?]. Zeitschrift fur Arbeitswissenschaft 52: 82–89. [Google Scholar]
- Demerouti, Evangelia, Arnold B. Bakker, Ioanna Vardakou, and Aristotelis Kantas. 2003. The Convergent Validity of Two Burnout Instruments. European Journal of Psychological Assessment 19: 12–23. [Google Scholar] [CrossRef]
- Diário Digital de Castelo Branco. 2023. Available online: https://www.diariodigitalcastelobranco.pt/noticia/62547/distrito-de-castelo-branco-protesta-contra-degradacao-da-autoridade-tributaria-e-aduaneira-- (accessed on 22 November 2023).
- Fernet, Claude, Sarah-Geneviève Trépanier, Mireille Demers, and Stéphanie Austin. 2017. Motivational pathways of occupational and organizational turnover intention among newly registered nurses in Canada. Nursing Outlook 65: 444–54. [Google Scholar] [CrossRef]
- Fernet, Claude, Sarah-Geneviève Trépanier, Stéphanie Austin, Marylène Gagné, and Jacques Forest. 2015. Transformational leadership and optimal functioning at work: On the mediating role of employees’ perceived job characteristics and motivation. Work & Stress 29: 11–31. [Google Scholar] [CrossRef]
- Fornell, Claes, and David F. Larcker. 1981. Evaluating structural equation models with unobservable variables and measurement error. Journal of Marketing Research 18: 39–50. [Google Scholar] [CrossRef]
- Gagné, Marylène, Jacques Forest, Maarten Vansteenkiste, Laurence Crevier-Braud, Anja van den Broeck, Ann Kristin Aspeli, Jenny Bellerose, Charles Benabou, Emanuela Chemolli, Stefan Tomas Güntert, and et al. 2015. The Multidimensional Work Motivation Scale: Validation evidence in seven languages and nine countries. European Journal of Work and Organizational Psychology 24: 178–96. [Google Scholar] [CrossRef]
- Gagné, Marylène, Jacques Forest, Marie Hélène Gilbert, Caroline Aubé, Estelle Morin, and Angela Malorni. 2010. The Motivation at Work Scale: Validation Evidence in Two Languages. Educational and Psychological Measurement 70: 628–46. [Google Scholar] [CrossRef]
- Galanakis, Michael, Evangelia Alexandri, Kalliopi Kika, Xristofili Lelekanou, Margarita Papantonopoulou, Dimitra Stougiannou, and Melina Tzani. 2020. What Is the Source of Occupational Stress and Burnout? Psychology 11: 647–64. [Google Scholar] [CrossRef]
- Gautam, Dhruba, and Prakash Kumar Gautam. 2022. Occupational stress for employee turnover intention: Mediation effect of service climate and emotion regulation. Asia-Pacific Journal of Business Administration. [Google Scholar] [CrossRef]
- Gok, Ozge Adan, Yilmaz Akgunduz, and Ceylan Alkan. 2017. The effects of job stress and perceived organizationalsupport on turnover intentions of hotel employees. Journal of Tourismology 3: 23–32. [Google Scholar]
- Gomes, Rui A. 2010. Questionário de Stress Ocupacional—Versão Geral. Relatório Técnico. Braga: Universidade do Minho. [Google Scholar]
- Griffeth, Rodger W., Peter W. Hom, and Stefan Gaertner. 2000. A Meta-Analysis of Antecedents and Correlates of Employee Turnover: Update, Moderator Tests, and Research Implications for the Next Millennium. Journal of Management 26: 463–88. [Google Scholar] [CrossRef]
- Grohmann, Márcia Zampieri, Lv da Cunha, and Jaqueline Silinske. 2013. Relações entre motivação, satisfação, comprometimento e desempenho no trabalho: Estudo em um Hospital Público. Paper presented at IV Encontro de Gestão de Pessoas e Relações de Trabalho, Brasília, Brazil, November 3–5. [Google Scholar]
- Hair, Joseph, Christian Ringle, and Marko Sarstedt. 2011. PLS-SEM: Indeed a Silver Bullet. Journal of Marketing Theory and Practice 19: 139–51. [Google Scholar] [CrossRef]
- Halbesleben, Jonathon R. B., and Evangelia Demerouti. 2005. The construct validity of an alternative measure of burnout: Investigating the English translation of the Oldenburg Burnout Inventory. Work & Stress 19: 208–20. [Google Scholar] [CrossRef]
- Han, Su Jin, Mark Bonn, and Meehee Cho. 2016. The relationship between customer incivility, restaurant frontline service employee burnout and turnover intention. International Journal of Hospitality Management 52: 97–106. [Google Scholar] [CrossRef]
- Hayes, Andrew F. 2013. An Introduction to Mediation, Moderation, and Conditional Process Analysis: A Regression-Based Approach. New York: Guilford Press. [Google Scholar]
- Hu, Li-tze, and Peter M. Bentler. 1999. Cutoff criteria for fit indexes in covariance structure analysis: Conventional criteria versus new alternatives. Structural Equation Modeling 6: 1–55. [Google Scholar] [CrossRef]
- Huang, In-Chung, Chih-Hsun Jason Chuang, and Hao-Chieh Lin. 2003. The role of burnout in the relationship between perceptions off organizational politics and turnover intentions. Public Personnel Management 32: 519–31. [Google Scholar] [CrossRef]
- Hussain, Syed Talib, Shen Lei, Tayyaba Akram, M. Jamal Haider, Syed Hadi Hussain, and Muhammad Ali. 2018. Kurt Lewin’s Process Model for Organizational Change: The Role of Leadership and Employee Involvement: A Critical Review. Journal of Innovation and Knowledge 3: 123–27. [Google Scholar] [CrossRef]
- Imeokparia, Patience Osebhakhomen, and Kennedy Ediagbonya. 2013. Stress management: An approach to ensuring high academic performance of business education students. European Journal of Educational Studies 5: 167–76. [Google Scholar]
- Islam, Nazrul, Ekhtear Ahmed Zeesan, Debanik Chakraborty, Md. Nafizur Rahman, Syed Istiak Uddin Ahmed, Nowshin Nower, and Toufiq Nazrul. 2019. Relationship between Job Stress and the Turnover Intention of Private Sector Bank Employees in Bangladesh. International Business Research 12: 133–41. [Google Scholar] [CrossRef]
- Issever, Hallim, Kursat Ozdilli, Oguz Altunkaynak, Levent Onen, and Rian Disci. 2008. Depression in Tax Office Workers in Istanbul and its Affecting Factors. Indoor and Built Environment 17: 414–20. [Google Scholar] [CrossRef]
- Jabutay, Felicito, and Parisa Rungruang. 2020. Turnover intent of new workers: Social exchange perspectives. Asia-Pacific Journal of Business Administration 13: 60–79. [Google Scholar] [CrossRef]
- Jesus, Alexandra, Liliana Pitacho, and Ana Moreira. 2023. Burnout and Suicidal Behaviours in Health Professionals in Portugal: The Moderating Effect of Self-Esteem. International Journal of Environmental Research and Public Health 20: 4325. [Google Scholar] [CrossRef] [PubMed]
- Jiang, Nan, Hongling Zhang, Zhen Tan, Yanhong Gong, Mengee Tian, Yafei Wu, Jiali Zhang, Jing Wang, Zhenyuan Chen, Jianxiong Wu, and et al. 2022. The Relationship Between Occupational Stress and Turnover Intention Among Emergency Physicians: A Mediation Analysis. Frontiers in Public Health 10: 901251. [Google Scholar] [CrossRef] [PubMed]
- Jöreskog, Karl. G., and Dag Sörbom. 1993. LISREL8: Structural Equation Modelling with the SIMPLIS Command Language. Chicago: Scientific Software International. [Google Scholar]
- Khalid, Arslan, Fang Pan, Ping Li, Wei Wang, and Abdul Sattar Ghaffari. 2020. The impact of occupational stress on job burnout among bank employees in Pakistan, with psychological capital as a mediator. Frontiers in Public Health 7: 410–19. [Google Scholar] [CrossRef] [PubMed]
- Kartono, Kartono, and Hilmiana Hilmiana. 2018. Job Burnout: A Mediation between Emotional Intelligence and Turnover Intention. Jurnal Bisnis Dan Manajemen 19: 109–21. [Google Scholar] [CrossRef][Green Version]
- Kim, Jungin. 2018. The contrary effects of intrinsic and extrinsic motivations on burnout and turnover intention in the public sector. International Journal of Manpower, Emerald Group Publishing Limited 39: 486–500. [Google Scholar] [CrossRef]
- Kline, Rex B. 2011. Principles and Practice of Structural Equation Modeling, 3rd ed. New York: Guilford Press. [Google Scholar]
- Kusy, Kevin, and Sara O’Leary-Driscoll. 2020. Combat Negativity, Exhaustion, and Burnout. Available online: https://digitalcommons.imsa.edu/cgi/viewcontent.cgi?article=1398&=&context=proflearningday&=&sei (accessed on 22 November 2023).
- Lee, Jung-Hoon, and Yeoungsuk Song. 2020. Mixed method research investigating turnover intention with ICU nurses. Journal of Korean Academy of Fundamentals of Nursing 27: 153–63. [Google Scholar] [CrossRef]
- Lee, Yee Hoon. 2019. Emotional labor, teacher burnout, and turnover intention in high-school physical education teaching. European Physical Education Review 25: 236–53. [Google Scholar] [CrossRef]
- Leiter, Michael P. 1988. Burnout as a Function of Communication Patterns: A Study of a Multidisciplinary Mental Health Team. Group & Organization Management 13: 111–28. [Google Scholar] [CrossRef]
- Leiter, Michael P., and Christina Maslach. 2016. Latent burnout profiles: A new approach to understanding the burnout experience. Burnout Research 3: 89–100. [Google Scholar] [CrossRef]
- Long, Choi Sang, Panniruky Perumal, and Musibau Akintunde Ajagbe. 2012. The impact of human resource management practices on employees’ turnover intention: A conceptual model. Interdisciplinary Journal of Contemporary Research in Business 4: 629–41. [Google Scholar]
- Lopes, Silvia, Ana Sabino, Paulo C. Dias, Anabela Rodrigues, Maria José Chambel, and Francisco Cesário. 2022. Through the Lens of Workers’ Motivation: Does It Relate to Work–Family Relationship Perceptions? Sustainability 14: 16117. [Google Scholar] [CrossRef]
- Marques-Pinto, Alexandra, Maria Luisa Lima, and Lopes da Silva. 2003. Stress Profissional em Professores Portugueses: Incidência, preditores e reação de burnout. Psicologia 33: 181–94. [Google Scholar]
- Maslach, Christina, and Michael P. Leiter. 2016. Understanding the burnout experience: Recent research and its implications for psychiatry. World Psychiatry 15: 103–11. [Google Scholar] [CrossRef] [PubMed]
- Maslach, Christina, Wilmar B. Schaufeli, and Michael P. Leiter. 2001. Job Burnout. Annual Review of Psychology 52: 397–422. [Google Scholar] [CrossRef] [PubMed]
- Maslow, Abraham Harold. 2000. Maslow No Gerenciamento. Rio de Janeiro: Qualitymark Editora. [Google Scholar]
- Meier, Scott T. 1984. The construct validity of burnout. Journal of Occupational Psychology 57: 211–19. [Google Scholar] [CrossRef]
- Moreira, Ana, Maria José Sousa, and Francisco Cesário. 2022. Competencies development: The role of organizational commitment and the perception of employability. Social Sciences 11: 125. [Google Scholar] [CrossRef]
- Nishimura, Adriana Z. F. C., Ana Moreira, Maria José Sousa, and Manuel Au-Yong-Oliveira. 2021. Weaknesses in Motivation and in Establishing a Meritocratic System: A Portrait of the Portuguese Public Administration. Administrative Sciences 11: 87. [Google Scholar] [CrossRef]
- Olivares-Faúndez, Victor E., Pedro R. Gil-Monte, Luís Mena, Carolina Jélvez-Wilke, and Hugo Figueiredo-Ferraz. 2014. Relationships between burnout and role ambiguity, role conflict and employee absenteeism among health workers. Terapia Psicológica 32: 111–20. [Google Scholar] [CrossRef]
- Ordem dos Psicólogos Portugueses. 2023. II Relatório do Custo do Stresse e dos Problemas de Saúde Psicológica no Trabalho, em Portugal. Available online: https://www.ordemdospsicologos.pt/pt/noticia/4466 (accessed on 22 November 2023).
- Özbağ, Gönül Kaya, Gökçe Çicek Ceyhun, and Hülya Gündüz Çekmecelioğlu. 2014. The Moderating Effects of Motivating Job Characteristics on the Relationship between Burnout and Turnover Intention. Procedia-Social and Behavioral Sciences 150: 438–46. [Google Scholar] [CrossRef]
- Padmasundari, S. 2019. A psychological study on burnout among school teachers. Indian Journal of Applied Research 9: 22–23. [Google Scholar] [CrossRef]
- Park, Tae-Youn, and Jason D. Shaw. 2013. Turnover rates and organizational performance: A meta-analysis. Journal of Applied Psychology 98: 268–309. [Google Scholar] [CrossRef] [PubMed]
- Pestana, Maria Helena, and João Nunes Gageiro. 2003. Análise de Dados para Ciências Sociais—A Complementaridade do SPSS, 3rd ed. Lisboa: Edições Sílabo. [Google Scholar]
- Podsakoff, Phillip M., Scott B. MacKenzie, Jeong Y. Lee, and Nathan P. Podsakoff. 2003. Common method biases in behavioral research: A critical review of the literature and recommended remedies. Journal of Applied Psychology 88: 879–903. [Google Scholar] [CrossRef] [PubMed]
- Poghosyan, Lusine, Sean P. Clarke, Mary Finlayson, and Linda H. Aiken. 2010. Nurse burnout and quality of care: Cross-national investigation in six countries. Research in Nursing & Health 33: 288–98. [Google Scholar] [CrossRef]
- Rahim, Afzalur, and Dana M. Cosby. 2016. A model of workplace incivility, job burnout, turnover intentions, and job performance. Journal of Management Development 35: 1255–65. [Google Scholar] [CrossRef]
- Regts, Gerdian, and Eric Molleman. 2013. To leave or not to leave: When receiving interpersonal citizenship behavior influences an employee’s turnover intention. Human Relations 66: 193–218. [Google Scholar] [CrossRef]
- Reiche, B. Sebastian. 2008. The Configuration of Employee retention practices in multinational corporations’ foreign subsidiaries. International Business Review 17: 676–87. [Google Scholar] [CrossRef]
- Salama, Wagid, Ahmed H. Abdou, Shaimaa A. K. Mohamed, and Hossam S. Shehata. 2022. Impact of Work Stress and Job Burnout on Turnover Intentions among Hotel Employees. International Journal of Environmental Research and Public Health 19: 9724. [Google Scholar] [CrossRef]
- Santos, Adriana, Ana Raquel Teixeira, and Cristina Queirós. 2018. Burnout and stress in teachers: A comparative study 2013–2017. Psychology, Education and Culture 22: 250–70. [Google Scholar]
- Sharma, Subhash. 1996. Applied Multivariate Techniques. New York: John Wiley and Sons Inc. [Google Scholar]
- Silva, Maria da Conceição M., and Rui Gomes. 2009. Stress ocupacional em profissionais de saúde: Um estudo com médicos e enfermeiros portugueses. Estudos de Psicologia (Natal) 14: 239–48. [Google Scholar] [CrossRef]
- Singh, Ankit, Ajeya Jha, and Shankar Purbey. 2020. Identification of Measures Affecting Job Satisfaction and Levels of Perceived Stress and Burnout among Home Health Nurses of a Developing Asian Country. Hospital Topics 99: 1–11. [Google Scholar] [CrossRef]
- Sinval, Jorge, Cristina Queirós, Sonia Pasian, and João Marôco. 2019. Transcultural Adaptation of the Oldenburg Burnout Inventory (OLBI) for Brazil and Portugal. Frontiers in Psychology 10: 338. [Google Scholar] [CrossRef]
- Tamayo, Álvaro, and Tatiane Paschoal. 2003. A relação da motivação para o trabalho com as metas do trabalhador. Revista de Administração Contemporânea 7: 33–54. [Google Scholar] [CrossRef]
- Trépanier, Sarah-Geneviève, Jacques Forest, Claude Fernet, and Stéphanie Austin. 2015. On the psychological and motivational processes linking job characteristics to employee functioning: Insights from self-determination theory. Work & Stress 29: 286–305. [Google Scholar] [CrossRef]
- Trochim, William. 2000. The Research Methods Knowledge Base, 2nd ed. Cincinnati: Atomic Dog Publishing. [Google Scholar]
- Tziner, Aharon, Edna Rabenu, Ruth Radomski, and Alexander Belkin. 2015. Work stress and turnover intentions among hospital physicians: The mediating role of burnout and work satisfaction. Journal of Work and Organizational Psychology 31: 207–13. [Google Scholar] [CrossRef]
- Urbanaviciute, Ieva, Jurjita Lazauskaite-Zabielske, Tine Vander Elst, and Hans De Witte. 2018. Qualitative job insecurity and turnover intention: The mediating role of basic psychological needs in public and private sectors. Career Development International 23: 274–90. [Google Scholar] [CrossRef]
- van Breukelen, Wim, René van der Vlist, and Herman Steensma. 2004. Voluntary employee turnover: Combining variables from the ‘traditional’ turnover literature with the theory of planned behavior. Journal of Organizational Behavior 25: 893–914. [Google Scholar] [CrossRef]
- Wang, Enjian, Hongwei Hu, Shan Mao, and Hongting Liu. 2019. Intrinsic motivation and turnover intention among geriatric nurses employed in nursing homes: The roles of job burnout and pay satisfaction. Contemporary Nurse 55: 195–210. [Google Scholar] [CrossRef]
- Wang, Yau-De, Chyan Yang, and Wang Kuei-Ying. 2012. Comparing public and private employees’ job satisfaction and turnover. Public Personnel Management 41: 557–73. [Google Scholar] [CrossRef]
- Yao, Bo-Chen, Ling-Bing Meng, Meng-Lei Hao, Yuan-Meng Zhang, Tao Gong, and Zhi-Gang Guo. 2019. Chronic stress: A critical risk factor for atherosclerosis. Journal of International Medical Research 47: 1429–40. [Google Scholar] [CrossRef]
- Zheng, Junwei, Xueqin Gou, Hongyang Li, and Hongtao Xie. 2021. Differences in Mechanisms Linking Motivation and Turnover Intention for Public and Private Employees: Evidence From China. SAGE Open 11: 21582440211047567. [Google Scholar] [CrossRef]





| District | Frequency | Percentage |
|---|---|---|
| Faro | 20 | 3.3 |
| Beja | 5 | 0.8 |
| Évora | 2 | 0.3 |
| Setúbal | 41 | 6.8 |
| Portalegre | 9 | 1.5 |
| Santarém | 28 | 4.6 |
| Lisboa | 159 | 26.4 |
| Castelo Branco | 12 | 2.0 |
| Leiria | 55 | 9.1 |
| Coimbra | 39 | 6.5 |
| Guarda | 10 | 1.7 |
| Viseu | 18 | 3.0 |
| Aveiro | 45 | 7.5 |
| Porto | 86 | 14.3 |
| Bragança | 5 | 0.8 |
| Vila Real | 10 | 1.7 |
| Braga | 32 | 5.3 |
| Viana do Castelo | 7 | 1.2 |
| Funchal | 6 | 1.0 |
| Ponta Delgada | 5 | 0.8 |
| Horta | 4 | 0.7 |
| Angra do Heroísmo | 5 | 0.8 |
| Scale | Dimension | t | p | Mean | SD |
|---|---|---|---|---|---|
| Occupational stress | Users | 11.88 | <0.001 | 2.46 | 0.96 |
| Managers | 7.17 | <0.001 | 2.32 | 1.10 | |
| Colleagues | −3.84 | <0.001 | 1.83 | 1.08 | |
| Overwork | 21.42 | <0.001 | 2.77 | 0.88 | |
| Career and pay | 22.85 | <0.001 | 2.83 | 0.90 | |
| Family problems | 9.87 | <0.001 | 2.43 | 1.07 | |
| Working conditions | 18.83 | <0.001 | 2.74 | 0.97 | |
| Turnover intentions | 11.32 | <0.001 | 3.51 | 1.11 | |
| Burnout | Disengagement | 15.38 | <0.001 | 3.46 | 0.73 |
| Exhaustion | 21.75 | <0.001 | 3.64 | 0.72 | |
| Motivation | Intrinsic | −8.49 | <0.001 | 2.69 | 0.89 |
| Identified | 10.91 | <0.001 | 3.67 | 1.51 | |
| Introjected | −15.72 | <0.001 | 2.44 | 0.88 |
| 1 | 2 | 3 | 4 | 5 | 6 | 7 | 8 | 9 | 10 | 11 | 12 | 13 | 14 | |
|---|---|---|---|---|---|---|---|---|---|---|---|---|---|---|
| 1. Intrinsic | - | |||||||||||||
| 2. Identified | 0.38 ** | - | ||||||||||||
| 3. Introjected | 0.29 ** | 0.12 ** | - | |||||||||||
| 4. Turnover int. | −0.60 ** | −0.43 ** | −0.17 ** | - | ||||||||||
| 5. Disengagement | −0.74 ** | −0.44 ** | −0.27 ** | 0.65 ** | - | |||||||||
| 6. Exhaustion | −0.58 ** | −0.41 ** | −0.09 * | 0.54 ** | 0.63 ** | - | ||||||||
| 7. Users | −0.32 ** | −0.30 ** | −0.02 | 0.36 ** | 0.41 ** | 0.50 ** | - | |||||||
| 8. Managers | −0.37 ** | −0.42 ** | −0.01 | 0.41 ** | 0.48 ** | 0.50 ** | 0.48 ** | - | ||||||
| 9. Colleagues | −0.28 ** | −0.30 ** | 0.00 | 0.33 ** | 0.33 ** | 0.39 ** | 0.41 ** | 0.63 ** | - | |||||
| 10. Overwork | −0.34 ** | −0.37 ** | 0.03 | 0.42 ** | 0.40 ** | 0.65 ** | 0.60 ** | 0.52 ** | 0.44 ** | - | ||||
| 11. Career and pay | −0.22 ** | −0.51 ** | 0.06 | 0.35 ** | 0.33 ** | 0.35 ** | 0.39 ** | 0.40 ** | 0.29 ** | 0.43 ** | - | |||
| 12. Family probl. | −0.22 ** | −0.35 ** | 0.10 * | 0.32 ** | 0.29 ** | 0.56 ** | 0.47 ** | 0.46 ** | 0.41 ** | 0.68 ** | 0.42 ** | - | ||
| 13. Working cond. | −0.22 ** | −0.43 ** | −0.01 | 0.34 ** | 0.36 ** | 0.43 ** | 0.51 ** | 0.50 ** | 0.41 ** | 0.59 ** | 0.50 ** | 0.50 ** | - | |
| 14. Age | −0.10 * | 0.03 | 0.15 ** | 0.02 | 0.04 | 0.06 | −0.03 | 0.02 | 0.04 | 0.02 | −0.16 ** | 0.01 | −0.03 | - |
| Independent Variable | Dependent Variable | F | p | R2a | β | p |
|---|---|---|---|---|---|---|
| Users | Turnover intentions | 28.30 *** | <0.001 | 0.24 | 0.08 | 0.099 |
| Managers | 0.17 ** | 0.001 | ||||
| Colleagues | 0.06 | 0.184 | ||||
| Overwork | 0.21 *** | <0.001 | ||||
| Career and pay | 0.15 *** | <0.001 | ||||
| Family problems | −0.04 | 0.481 | ||||
| Working conditions | 0.01 | 0.861 |
| Independent Variable | Dependent Variable | F | p | R2a | β | p |
|---|---|---|---|---|---|---|
| Users | Disengagement | 35.40 *** | <0.001 | 0.29 | 0.16 *** | <0.001 |
| Managers | 0.32 *** | <0.001 | ||||
| Colleagues | 0.01 | 0.970 | ||||
| Overwork | 0.14 * | 0.012 | ||||
| Career and pay | 0.10 * | 0.012 | ||||
| Family problems | −0.08 | 0.091 | ||||
| Working conditions | 0.03 | 0.568 | ||||
| Users | Exhaustion | 79.76 *** | <0.001 | 0.48 | 0.11 ** | 0.004 |
| Managers | 0.17 *** | <0.001 | ||||
| Colleagues | 0.00 | 0.966 | ||||
| Overwork | 0.38 *** | <0.001 | ||||
| Career and pay | 0.02 | 0.669 | ||||
| Family problems | 0.19 *** | <0.001 | ||||
| Working conditions | −0.04 | 0.273 |
| Independent Variable | Dependent Variable | F | p | R2a | β | p |
|---|---|---|---|---|---|---|
| Disengagement | Turnover intentions | 249.87 *** | <0.001 | 0.45 | 0.52 *** | <0.001 |
| Exhaustion | 0.21 *** | <0.001 |
| Independent Variable | Step 1 β | Step 2 β |
|---|---|---|
| Managers | 0.22 *** | 0.02 |
| Overwork | 0.24 *** | 0.14 *** |
| Career and pay | 0.16 *** | 0.10 ** |
| Disengagement | 0.55 *** | |
| F | 64.07 *** | 129.79 *** |
| R2a | 0.24 | 0.46 |
| ΔR2a | 0.22 *** |
| Independent Variable | Step 1 β | Step 2 β |
|---|---|---|
| Managers | 0.26 *** | 0.16 *** |
| Overwork | 0.29 *** | 0.06 |
| Exhaustion | 0.42 *** | |
| F | 86.07 *** | 93.40 *** |
| R2a | 0.22 | 0.32 |
| ΔR2a | 0.10 *** |
| Independent Variable | Dependent Variable | F | p | R2a | β | p |
|---|---|---|---|---|---|---|
| Intrinsic motivation | Turnover intentions | 133.76 *** | <0.001 | 0.40 | −0.51 *** | <0.001 |
| Identified motivation | −0.24 *** | <0.001 | ||||
| Introjected motivation | 0.01 | 0.886 |
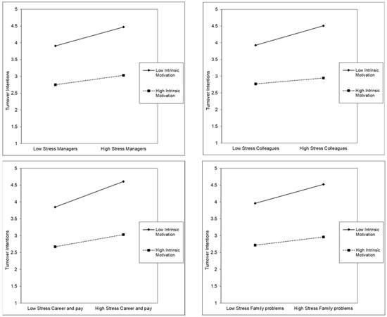
| Variables | B | SE | t | p | 95% CI |
|---|---|---|---|---|---|
| Users → turnover intentions (R2 = 0.39; p < 0.001) | |||||
| Constant | 3.53 *** | 0.04 | 95.50 *** | <0.001 | [3.46, 3.60] |
| Users | 0.21 *** | 0.04 | 5.39 *** | <0.001 | [0.13, 0.29] |
| Intrinsic motivation | −0.67 *** | 0.04 | −15.93 *** | <0.001 | [−0.76, −0.59] |
| U*IntM | −0.06 | 0.04 | −1.64 | 0.101 | [−0.13, 0.14] |
| Managers → turnover intentions (R2 = 0.40; p < 0.001) | |||||
| Constant | 3.54 *** | 0.04 | 94.73 *** | <0.001 | [3.46, 3.60] |
| Managers | 0.21 *** | 0.03 | 6.09 *** | <0.001 | [0.14, 0.27] |
| Intrinsic motivation | −0.65 *** | 0.04 | −15.22 *** | <0.001 | [−0.74, −0.57] |
| M*IntM | −0.07 * | 0.04 | −2.05 * | 0.041 | [−0.01, −0.14] |
| Colleagues → turnover intentions (R2 = 0.39; p < 0.001) | |||||
| Constant | 3.54 *** | 0.04 | 96.64 *** | <0.001 | [3.46, 3.61] |
| Colleagues | 0.19 *** | 0.03 | 5.53 *** | <0.001 | [0.12, 0.25] |
| Intrinsic motivation | −0.68 *** | 0.04 | −16.52 *** | <0.001 | [−0.77, −0.60] |
| C*IntM | −0.10 ** | 0.04 | −2.64 ** | 0.009 | [−0.02, −0.17] |
| Overwork → turnover intentions (R2 = 0.41; p < 0.001) | |||||
| Constant | 3.52 *** | 0.04 | 96.11 *** | <0.001 | [3.45, 3.58] |
| Overwork | 0.31 *** | 0.04 | 7.22 *** | <0.001 | [0.22, 0.39] |
| Intrinsic motivation | −0.64 *** | 0.04 | −15.30 *** | <0.001 | [−0.72, −0.56] |
| O*IntM | −0.03 | 0.04 | −0.67 | 0.503 | [−0.06, 0.12] |
| Career and pay → turnover intentions (R2 = 0.41; p < 0.001) | |||||
| Constant | 3.53 *** | 0.04 | 99.16 *** | <0.001 | [3.46, 3.60] |
| Career and pay | 0.28 *** | 0.04 | 6.92 *** | <0.001 | [0.20, 0.35] |
| Intrinsic motivation | −0.69 *** | 0.04 | −17.05 *** | <0.001 | [−0.77, −0.61] |
| CP*IntM | −0.10 * | 0.04 | −2.31 * | 0.022 | [−0.02, −0.19] |
| Family problems → turnover intentions (R2 = 0.39; p < 0.001) | |||||
| Constant | 3.53 *** | 0.04 | 97.88 *** | <0.001 | [3.46, 3.60] |
| Family problems | 0.20 *** | 0.03 | 5.83 *** | <0.001 | [0.13, 0.26] |
| Intrinsic motivation | −0.70 *** | 0.04 | −17.04 *** | <0.001 | [−0.78, −0.62] |
| FP*IntM | −0.08 * | 0.04 | −2.10 * | 0.036 | [−0.01, −0.15] |
| Work conditions→ turnover intentions (R2 = 0.40; p < 0.001) | |||||
| Constant | 3.52 *** | 0.04 | 98.23 *** | <0.001 | [3.45, 3.59] |
| Work conditions | 0.24 *** | 0.03 | 6.50 *** | <0.001 | [0.17, 0.32] |
| Intrinsic motivation | −0.69 *** | 0.04 | −16.86 *** | <0.001 | [−0.77, −0.61] |
| WC*IntM | −0.05 | 0.04 | −1.25 | 0.213 | [−0.03, 0.13] |
| H1 | Occupational stress (users, management, colleagues, overwork, career and pay, family problems, and working conditions) has a positive and significant effect on turnover intentions. | Partially supported |
| H2 | Occupational stress (users, management, colleagues, overwork, career and pay, family problems, and working conditions) has a significant and positive effect on burnout levels (disengagement and exhaustion). | Partially supported |
| H3 | Burnout (disengagement and exhaustion) has a positive and significant effect on turnover intentions. | Supported |
| H4 | Burnout (disengagement and exhaustion) has a mediating effect on the relationship be-tween occupational stress (users, management, colleagues, overwork, career and pay, family problems, and working conditions) and turnover intentions. | Partially supported |
| H5 | Motivation (intrinsic, identified, introjected, and extrinsic) has a negative and significant effect on turnover intentions. | Partially supported |
| H6 | Motivation (intrinsic, identified, introjected, and extrinsic) moderates the relationship between occupational stress (users, management, colleagues, overwork, career and pay, family problems, and working conditions) and turnover intentions, with the relationship expected to be weaker for employees with high levels of motivation than for employees with low levels of motivation. | Partially supported |
Disclaimer/Publisher’s Note: The statements, opinions and data contained in all publications are solely those of the individual author(s) and contributor(s) and not of MDPI and/or the editor(s). MDPI and/or the editor(s) disclaim responsibility for any injury to people or property resulting from any ideas, methods, instructions or products referred to in the content. |
© 2023 by the authors. Licensee MDPI, Basel, Switzerland. This article is an open access article distributed under the terms and conditions of the Creative Commons Attribution (CC BY) license (https://creativecommons.org/licenses/by/4.0/).
Share and Cite
Freitas, M.; Moreira, A.; Ramos, F. Occupational Stress and Turnover Intentions in Employees of the Portuguese Tax and Customs Authority: Mediating Effect of Burnout and Moderating Effect of Motivation. Adm. Sci. 2023, 13, 251. https://doi.org/10.3390/admsci13120251
Freitas M, Moreira A, Ramos F. Occupational Stress and Turnover Intentions in Employees of the Portuguese Tax and Customs Authority: Mediating Effect of Burnout and Moderating Effect of Motivation. Administrative Sciences. 2023; 13(12):251. https://doi.org/10.3390/admsci13120251
Chicago/Turabian StyleFreitas, Mariana, Ana Moreira, and Fernando Ramos. 2023. "Occupational Stress and Turnover Intentions in Employees of the Portuguese Tax and Customs Authority: Mediating Effect of Burnout and Moderating Effect of Motivation" Administrative Sciences 13, no. 12: 251. https://doi.org/10.3390/admsci13120251
APA StyleFreitas, M., Moreira, A., & Ramos, F. (2023). Occupational Stress and Turnover Intentions in Employees of the Portuguese Tax and Customs Authority: Mediating Effect of Burnout and Moderating Effect of Motivation. Administrative Sciences, 13(12), 251. https://doi.org/10.3390/admsci13120251

